所属成套资源:人教A版高中数学(选择性必修一)同步讲义 (2份打包,原卷版+教师版)
- 人教A版高中数学(选择性必修一)同步讲义第16讲 2.2.1直线的点斜式方程和斜截式方程(2份打包,原卷版+教师版) 试卷 1 次下载
- 人教A版高中数学(选择性必修一)同步讲义第32讲 拓展一:中点弦问题(2份打包,原卷版+教师版) 试卷 0 次下载
- 人教A版高中数学(选择性必修一)同步讲义第33讲 拓展二:圆锥曲线的方程(轨迹方程问题)(2份打包,原卷版+教师版) 试卷 0 次下载
- 人教A版高中数学(选择性必修一)同步讲义第35讲 拓展四:圆锥曲线的方程(面积问题)(2份打包,原卷版+教师版) 试卷 0 次下载
- 人教A版高中数学(选择性必修一)同步讲义第36讲 拓展五:圆锥曲线的方程(定值问题)(2份打包,原卷版+教师版) 试卷 0 次下载
人教A版高中数学(选择性必修一)同步讲义第34讲 拓展三:圆锥曲线的方程(弦长问题)(2份打包,原卷版+教师版)
展开这是一份人教A版高中数学(选择性必修一)同步讲义第34讲 拓展三:圆锥曲线的方程(弦长问题)(2份打包,原卷版+教师版),文件包含人教A版高中数学选择性必修一同步讲义第34讲拓展三圆锥曲线的方程弦长问题原卷版doc、人教A版高中数学选择性必修一同步讲义第34讲拓展三圆锥曲线的方程弦长问题教师版doc等2份试卷配套教学资源,其中试卷共55页, 欢迎下载使用。
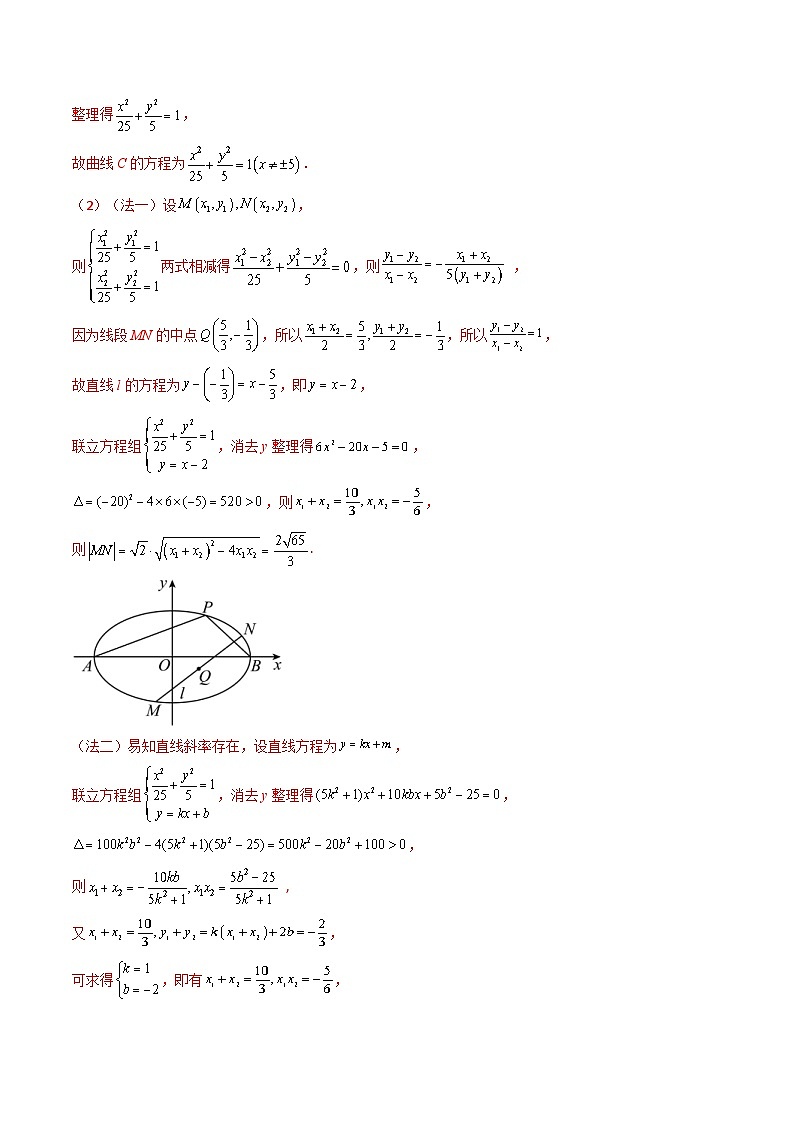
第09讲 圆锥曲线的方程(弦长问题)一、知识点归纳知识点一:弦长公式 SKIPIF 1 < 0 SKIPIF 1 < 0 SKIPIF 1 < 0 (最常用公式,使用频率最高) SKIPIF 1 < 0 知识点二:基本不等式 SKIPIF 1 < 0 (当且仅当 SKIPIF 1 < 0 时等号成立)二、题型精讲题型01求椭圆的弦长【典例1】(2023春·四川成都·高二校联考期末)已知椭圆 SKIPIF 1 < 0 : SKIPIF 1 < 0 的离心率为 SKIPIF 1 < 0 ,且其中一个焦点与抛物线 SKIPIF 1 < 0 的焦点重合.(1)求椭圆 SKIPIF 1 < 0 的方程;(2)若直线 SKIPIF 1 < 0 : SKIPIF 1 < 0 与椭圆 SKIPIF 1 < 0 交于不同的A,B两点,且满足 SKIPIF 1 < 0 ( SKIPIF 1 < 0 为坐标原点),求弦长 SKIPIF 1 < 0 的值. 【典例2】(2023春·广西·高二校联考阶段练习)在直角坐标系xOy中已知 SKIPIF 1 < 0 ,P是平面内一动点,且直线PA和直线PB的斜率之积为 SKIPIF 1 < 0 .记点P的运动轨迹为曲线C.(1)求曲线C的方程;(2)若直线l与曲线C相交于M,N两点.且线段MN的中点为 SKIPIF 1 < 0 ,求 SKIPIF 1 < 0 . 【变式1】(2023春·黑龙江哈尔滨·高二哈尔滨三中校考阶段练习)已知平面内动点 SKIPIF 1 < 0 与定点 SKIPIF 1 < 0 的距离和 SKIPIF 1 < 0 到定直线 SKIPIF 1 < 0 的距离的比是常数 SKIPIF 1 < 0 .(1)求动点 SKIPIF 1 < 0 的轨迹方程;(2)设动点 SKIPIF 1 < 0 的轨迹为曲线 SKIPIF 1 < 0 ,过定点 SKIPIF 1 < 0 的直线 SKIPIF 1 < 0 和曲线 SKIPIF 1 < 0 交于不同两点 SKIPIF 1 < 0 、 SKIPIF 1 < 0 满足 SKIPIF 1 < 0 ,求线段 SKIPIF 1 < 0 的长.【变式2】(2023秋·新疆巴音郭楞·高二校联考期末)已知椭圆C的焦点为F1(0,-2)和F2(0,2),长轴长为2 SKIPIF 1 < 0 ,设直线y=x+2交椭圆C于A,B两点.(1)求椭圆C的标准方程;(2)求弦AB的中点坐标及|AB|.题型02求椭圆的弦长的最值(范围)【典例1】(2023秋·浙江宁波·高二校联考期末)过点 SKIPIF 1 < 0 的直线 SKIPIF 1 < 0 与椭圆 SKIPIF 1 < 0 交于 SKIPIF 1 < 0 两点,则 SKIPIF 1 < 0 的最大值是 .【典例2】(2023春·福建莆田·高二莆田第十中学校考阶段练习)已知椭圆 SKIPIF 1 < 0 的离心率为 SKIPIF 1 < 0 ,C上的点到其焦点的最大距离为 SKIPIF 1 < 0 .(1)求C的方程;(2)若圆 SKIPIF 1 < 0 的切线l与C交于点A,B,求 SKIPIF 1 < 0 的最大值.【典例3】(2023·全国·高三专题练习)已知椭圆 SKIPIF 1 < 0 的离心率为 SKIPIF 1 < 0 ,左顶点为 SKIPIF 1 < 0 ,直线 SKIPIF 1 < 0 与椭圆 SKIPIF 1 < 0 交于 SKIPIF 1 < 0 , SKIPIF 1 < 0 两点.(1)求椭圆的 SKIPIF 1 < 0 的标准方程;(2)若直线 SKIPIF 1 < 0 , SKIPIF 1 < 0 的斜率分别为 SKIPIF 1 < 0 , SKIPIF 1 < 0 ,且 SKIPIF 1 < 0 ,求 SKIPIF 1 < 0 的最小值.【典例4】(2023秋·湖南岳阳·高二湖南省汨罗市第一中学校联考期末)设椭圆 SKIPIF 1 < 0 的左右焦点 SKIPIF 1 < 0 , SKIPIF 1 < 0 分别是双曲线 SKIPIF 1 < 0 的左右顶点,且椭圆的右顶点到双曲线的渐近线的距离为 SKIPIF 1 < 0 .(1)求椭圆 SKIPIF 1 < 0 的方程;(2)是否存在圆心在原点的圆,使得该圆的任意一条切线与椭圆 SKIPIF 1 < 0 恒有两个交点 SKIPIF 1 < 0 ,且 SKIPIF 1 < 0 ?若存在,写出该圆的方程,并求 SKIPIF 1 < 0 的取值范围,若不存在,说明理由.【变式1】(2023·全国·高三专题练习)已知椭圆 SKIPIF 1 < 0 的离心率为 SKIPIF 1 < 0 ,它的四个顶点构成的四边形的面积为 SKIPIF 1 < 0 .(1)求椭圆 SKIPIF 1 < 0 的方程;(2)设过点 SKIPIF 1 < 0 的直线 SKIPIF 1 < 0 与圆 SKIPIF 1 < 0 相切且与椭圆 SKIPIF 1 < 0 交于 SKIPIF 1 < 0 、 SKIPIF 1 < 0 两点,求 SKIPIF 1 < 0 的最大值.【变式2】(2023春·福建泉州·高二福建省永春第一中学校考阶段练习)已知椭圆 SKIPIF 1 < 0 : SKIPIF 1 < 0 ( SKIPIF 1 < 0 )的短轴长为4,离心率为 SKIPIF 1 < 0 .点 SKIPIF 1 < 0 为圆 SKIPIF 1 < 0 : SKIPIF 1 < 0 上任意一点, SKIPIF 1 < 0 为坐标原点.(1)求椭圆 SKIPIF 1 < 0 的标准方程;(2)记线段 SKIPIF 1 < 0 与椭圆 SKIPIF 1 < 0 交点为 SKIPIF 1 < 0 ,求 SKIPIF 1 < 0 的取值范围.【变式3】(2023·全国·高三专题练习)已知椭圆 SKIPIF 1 < 0 的两个焦点 SKIPIF 1 < 0 , SKIPIF 1 < 0 ,动点 SKIPIF 1 < 0 在椭圆上,且使得 SKIPIF 1 < 0 的点 SKIPIF 1 < 0 恰有两个,动点 SKIPIF 1 < 0 到焦点 SKIPIF 1 < 0 的距离的最大值为 SKIPIF 1 < 0 .(1)求椭圆 SKIPIF 1 < 0 的方程;(2)如图,以椭圆 SKIPIF 1 < 0 的长轴为直径作圆 SKIPIF 1 < 0 ,过直线 SKIPIF 1 < 0 上的动点 SKIPIF 1 < 0 作圆 SKIPIF 1 < 0 的两条切线,设切点分别为 SKIPIF 1 < 0 , SKIPIF 1 < 0 ,若直线 SKIPIF 1 < 0 与椭圆 SKIPIF 1 < 0 交于不同的两点 SKIPIF 1 < 0 , SKIPIF 1 < 0 ,求弦 SKIPIF 1 < 0 长的取值范围.题型03根据椭圆的弦长求参数【典例1】(2023春·上海静安·高二统考期末)在平面直角坐标系 SKIPIF 1 < 0 中,设 SKIPIF 1 < 0 ,动点 SKIPIF 1 < 0 满足: SKIPIF 1 < 0 ,其中 SKIPIF 1 < 0 是非零常数, SKIPIF 1 < 0 分别为直线 SKIPIF 1 < 0 的斜率.(1)求动点 SKIPIF 1 < 0 的轨迹 SKIPIF 1 < 0 的方程,并讨论 SKIPIF 1 < 0 的形状与 SKIPIF 1 < 0 值的关系;(2)当 SKIPIF 1 < 0 时,直线 SKIPIF 1 < 0 交曲线 SKIPIF 1 < 0 于 SKIPIF 1 < 0 两点, SKIPIF 1 < 0 为坐标原点.若线段 SKIPIF 1 < 0 的长度 SKIPIF 1 < 0 , SKIPIF 1 < 0 的面积 SKIPIF 1 < 0 ,求直线 SKIPIF 1 < 0 的方程.【典例2】(2023春·四川成都·高二四川省成都市新都一中校联考期末)已知在平面直角坐标系 SKIPIF 1 < 0 中,椭圆 SKIPIF 1 < 0 的右顶点为 SKIPIF 1 < 0 ,上顶点为 SKIPIF 1 < 0 , SKIPIF 1 < 0 的面积为 SKIPIF 1 < 0 ,离心率 SKIPIF 1 < 0 .(1)求椭圆 SKIPIF 1 < 0 的方程;(2)若斜率为 SKIPIF 1 < 0 的直线 SKIPIF 1 < 0 与圆 SKIPIF 1 < 0 相切,且 SKIPIF 1 < 0 与椭圆 SKIPIF 1 < 0 相交于 SKIPIF 1 < 0 、 SKIPIF 1 < 0 两点,若弦长 SKIPIF 1 < 0 的取值范围为 SKIPIF 1 < 0 ,求斜率 SKIPIF 1 < 0 的取值范围.【典例3】(2023春·四川成都·高二四川省成都市新都一中校联考期末)已知在平面直角坐标系 SKIPIF 1 < 0 中,椭圆 SKIPIF 1 < 0 的右顶点为A,上顶点为B, SKIPIF 1 < 0 的面积为 SKIPIF 1 < 0 ,离心率 SKIPIF 1 < 0 .(1)求椭圆C的方程;(2)若斜率为k的直线 SKIPIF 1 < 0 与圆 SKIPIF 1 < 0 相切,且l与椭圆C相交于 SKIPIF 1 < 0 两点,若弦长 SKIPIF 1 < 0 的取值范围为 SKIPIF 1 < 0 ,求 SKIPIF 1 < 0 的取值范围.【变式1】(2023春·上海浦东新·高二统考期末)椭圆C: SKIPIF 1 < 0 .(1)求椭圆C的离心率;(2)若 SKIPIF 1 < 0 、 SKIPIF 1 < 0 分别是椭圆C的两个焦点,P是C上的一点,且 SKIPIF 1 < 0 ,求点P的坐标;(3)如果l: SKIPIF 1 < 0 被椭圆C截得的弦长 SKIPIF 1 < 0 ,求该直线的方程.【变式2】(2023·黑龙江齐齐哈尔·齐齐哈尔市实验中学校考三模)在平面直角坐标系 SKIPIF 1 < 0 中,已知椭圆 SKIPIF 1 < 0 : SKIPIF 1 < 0 与椭圆 SKIPIF 1 < 0 : SKIPIF 1 < 0 ,且椭圆 SKIPIF 1 < 0 过椭圆 SKIPIF 1 < 0 的焦点.过点 SKIPIF 1 < 0 且不与坐标轴平行或重合的直线 SKIPIF 1 < 0 与椭圆 SKIPIF 1 < 0 交于 SKIPIF 1 < 0 , SKIPIF 1 < 0 两点,与椭圆 SKIPIF 1 < 0 交于 SKIPIF 1 < 0 , SKIPIF 1 < 0 两点.(1)求椭圆 SKIPIF 1 < 0 的标准方程;(2)若存在直线 SKIPIF 1 < 0 ,使得 SKIPIF 1 < 0 ,求实数 SKIPIF 1 < 0 的取值范围.【变式3】(2023春·四川内江·高二四川省内江市第六中学校考阶段练习)椭圆E的方程为 SKIPIF 1 < 0 ,短轴长为2,若斜率为 SKIPIF 1 < 0 的直线与椭圆E交于 SKIPIF 1 < 0 两点,且线段 SKIPIF 1 < 0 的中点为 SKIPIF 1 < 0 .(1)求椭圆E的方程;(2)若直线l: SKIPIF 1 < 0 与圆 SKIPIF 1 < 0 相切,且与椭圆E交于M,N两点,且 SKIPIF 1 < 0 ,求直线l的方程.题型04求双曲线的弦长【典例1】(2023·新疆喀什·校考模拟预测)已知双曲线C两条准线之间的距离为1,离心率为2,直线l经过C的右焦点,且与C相交于A、B两点.(1)求C的标准方程;(2)若直线l与该双曲线的渐近线垂直,求AB的长度.【典例2】(2023春·甘肃金昌·高二永昌县第一高级中学校考阶段练习)已知双曲线C的渐近线为 SKIPIF 1 < 0 ,且过点 SKIPIF 1 < 0 .(1)求双曲线C的方程;(2)若直线 SKIPIF 1 < 0 与双曲线C相交于A,B两点,O为坐标原点,若OA与OB垂直,求a的值以及弦长 SKIPIF 1 < 0 .【变式1】(2023秋·广东湛江·高二统考期末)设第一象限的点 SKIPIF 1 < 0 是双曲线 SKIPIF 1 < 0 上的一点,已知C的一条渐近线的方程是 SKIPIF 1 < 0 .(1)求b的值,并证明: SKIPIF 1 < 0 ;(2)若直线 SKIPIF 1 < 0 和曲线C相交于E,F两点,求 SKIPIF 1 < 0 .【变式2】(2023·江苏·高二专题练习)双曲线的焦点 SKIPIF 1 < 0 的坐标分别为 SKIPIF 1 < 0 和 SKIPIF 1 < 0 ,离心率为 SKIPIF 1 < 0 ,求:(1)双曲线的方程及其渐近线方程;(2)已知直线 SKIPIF 1 < 0 与该双曲线交于交于 SKIPIF 1 < 0 两点,且 SKIPIF 1 < 0 中点 SKIPIF 1 < 0 ,求直线AB的弦长.题型05根据双曲线的弦长求参数【典例1】(2023春·上海浦东新·高二上海南汇中学校考期中)已知点 SKIPIF 1 < 0 , SKIPIF 1 < 0 依次为双曲线 SKIPIF 1 < 0 的左、右焦点,且 SKIPIF 1 < 0 ,令 SKIPIF 1 < 0 .(1)设此双曲线经过第一、三象限的渐近线为 SKIPIF 1 < 0 ,若直线 SKIPIF 1 < 0 与直线 SKIPIF 1 < 0 垂直,求双曲线的离心率;(2)若 SKIPIF 1 < 0 ,以此双曲线的焦点为顶点,以此双曲线的顶点为焦点得到椭圆C,法向量为 SKIPIF 1 < 0 的直线 SKIPIF 1 < 0 与椭圆C交于两点M,N,且 SKIPIF 1 < 0 ,求直线 SKIPIF 1 < 0 的一般式方程.【典例2】(2023秋·重庆渝中·高二重庆巴蜀中学校考期末)已知双曲线 SKIPIF 1 < 0 的渐近线方程是 SKIPIF 1 < 0 ,右顶点是 SKIPIF 1 < 0 .(1)求双曲线 SKIPIF 1 < 0 的离心率;(2)过点 SKIPIF 1 < 0 倾斜角为 SKIPIF 1 < 0 的直线 SKIPIF 1 < 0 与双曲线的另一交点是 SKIPIF 1 < 0 ,若 SKIPIF 1 < 0 ,求双曲线 SKIPIF 1 < 0 的方程.【变式1】(2023秋·浙江宁波·高二期末)已知焦点在x轴上的双曲线C的渐近线方程为 SKIPIF 1 < 0 ,(1)求双曲线C的离心率e(2)若直线 SKIPIF 1 < 0 与C相交于不同的两点A,B,且 SKIPIF 1 < 0 ,求双曲线C的方程.【变式2】(2023秋·安徽合肥·高三校考期末)双曲线 SKIPIF 1 < 0 的中心在原点,右焦点为 SKIPIF 1 < 0 ,渐近线方程为 SKIPIF 1 < 0 .(1)求双曲线 SKIPIF 1 < 0 的方程;(2)过点 SKIPIF 1 < 0 且斜率为 SKIPIF 1 < 0 的直线 SKIPIF 1 < 0 ,与双曲线 SKIPIF 1 < 0 交于不同的 SKIPIF 1 < 0 , SKIPIF 1 < 0 两点,若 SKIPIF 1 < 0 ,求直线 SKIPIF 1 < 0 的方程.【变式3】(2023春·上海浦东新·高二上海市洋泾中学校考阶段练习)已知双曲线C: SKIPIF 1 < 0 的离心率为 SKIPIF 1 < 0 ,实轴长为2.(1)求双曲线的标准方程;(2)若直线 SKIPIF 1 < 0 被双曲线C截得的弦长为 SKIPIF 1 < 0 ,求m的值.题型06求抛物线焦点弦【典例1】(2023春·甘肃武威·高二统考开学考试)已知抛物线 SKIPIF 1 < 0 过点 SKIPIF 1 < 0 .(1)求抛物线的标准方程;(2)过抛物线焦点 SKIPIF 1 < 0 作直线 SKIPIF 1 < 0 与抛物线交于 SKIPIF 1 < 0 两点,已知线段 SKIPIF 1 < 0 的中点 SKIPIF 1 < 0 横坐标为4,求弦 SKIPIF 1 < 0 的长度.【典例2】(2023·全国·高三专题练习)已知抛物线 SKIPIF 1 < 0 的焦点为 SKIPIF 1 < 0 .(1)求 SKIPIF 1 < 0 ;(2)斜率为 SKIPIF 1 < 0 的直线过点 SKIPIF 1 < 0 ,且与抛物线 SKIPIF 1 < 0 交于 SKIPIF 1 < 0 两点,求线段 SKIPIF 1 < 0 的长.【典例3】(2023春·新疆塔城·高二统考开学考试)已知抛物线 SKIPIF 1 < 0 过点 SKIPIF 1 < 0 .(1)求抛物线 SKIPIF 1 < 0 的方程,并求其准线方程;(2)过该抛物线的焦点,作倾斜角为 SKIPIF 1 < 0 的直线,交抛物线于 SKIPIF 1 < 0 两点,求线段 SKIPIF 1 < 0 的长度.【变式1】(2023春·四川雅安·高二雅安中学校考阶段练习)已知抛物线 SKIPIF 1 < 0 的准线的方程为 SKIPIF 1 < 0 ,过点 SKIPIF 1 < 0 作倾斜角为 SKIPIF 1 < 0 的直线 SKIPIF 1 < 0 交该抛物线于两点 SKIPIF 1 < 0 , SKIPIF 1 < 0 .求:(1) SKIPIF 1 < 0 的值;(2)弦长 SKIPIF 1 < 0 【变式2】(2023秋·湖南怀化·高二统考期末)已知抛物线 SKIPIF 1 < 0 的准线方程是 SKIPIF 1 < 0 是抛物线焦点.(1)求抛物线焦点坐标及其抛物线方程:(2)已知直线 SKIPIF 1 < 0 过点 SKIPIF 1 < 0 ,斜率为2,且与抛物线相交于 SKIPIF 1 < 0 两点,求 SKIPIF 1 < 0 .【变式3】(2023秋·四川宜宾·高二四川省宜宾市南溪第一中学校校考期末)已知抛物线 SKIPIF 1 < 0 的顶点在原点,焦点坐标为 SKIPIF 1 < 0 .(1)求 SKIPIF 1 < 0 的标准方程;(2)若直线 SKIPIF 1 < 0 与 SKIPIF 1 < 0 交于 SKIPIF 1 < 0 、 SKIPIF 1 < 0 两点,求线段 SKIPIF 1 < 0 的长.题型07求抛物线中非焦点弦【典例1】(2023·四川成都·成都七中校考模拟预测)已知椭圆 SKIPIF 1 < 0 与抛物线 SKIPIF 1 < 0 的图象在第一象限交于点P.若椭圆的右顶点为B,且 SKIPIF 1 < 0 .(1)求椭圆 SKIPIF 1 < 0 的离心率.(2)若椭圆 SKIPIF 1 < 0 的焦距长为2,直线l过点B.设l与抛物线 SKIPIF 1 < 0 相交于不同的两点M、N,且 SKIPIF 1 < 0 的面积为24,求线段 SKIPIF 1 < 0 的长度.【典例2】(2023·广西·统考模拟预测)已知抛物线 SKIPIF 1 < 0 的焦点 SKIPIF 1 < 0 到准线的距离为2.(1)求 SKIPIF 1 < 0 的方程;(2)若 SKIPIF 1 < 0 为直线 SKIPIF 1 < 0 上的一动点,过 SKIPIF 1 < 0 作抛物线 SKIPIF 1 < 0 的切线 SKIPIF 1 < 0 为切点,直线 SKIPIF 1 < 0 与 SKIPIF 1 < 0 交于点 SKIPIF 1 < 0 ,过 SKIPIF 1 < 0 作 SKIPIF 1 < 0 的垂线交 SKIPIF 1 < 0 于点 SKIPIF 1 < 0 ,当 SKIPIF 1 < 0 最小时.求 SKIPIF 1 < 0 .【变式1】(2023春·内蒙古兴安盟·高二乌兰浩特市第四中学校考阶段练习)已知抛物线C的顶点在原点,对称轴是坐标轴,它的准线过双曲线 SKIPIF 1 < 0 的左焦点.(1)求抛物线C的方程;(2)若过点 SKIPIF 1 < 0 且斜率为1的直线与抛物线C交于M,N两点,求 SKIPIF 1 < 0 .【变式2】(2023秋·湖北·高二统考期末)已知抛物线C: SKIPIF 1 < 0 上第一象限的一点 SKIPIF 1 < 0 到其焦点的距离为2.(1)求抛物线C的方程和P点坐标;(2)过点 SKIPIF 1 < 0 的直线l交抛物线C于A,B两点,若∠APB的角平分线过抛物线的焦点,求弦AB的长.题型08根据抛物线弦长求参数【典例1】(2023秋·湖南邵阳·高二统考期末)在平面直角坐标系中,动点 SKIPIF 1 < 0 到定点 SKIPIF 1 < 0 的距离比到 SKIPIF 1 < 0 轴的距离大1.(1)求动点 SKIPIF 1 < 0 的轨迹 SKIPIF 1 < 0 的方程;(2)过点 SKIPIF 1 < 0 的直线 SKIPIF 1 < 0 交曲线 SKIPIF 1 < 0 于 SKIPIF 1 < 0 两点,若 SKIPIF 1 < 0 ,求直线 SKIPIF 1 < 0 的方程.【典例2】(2023秋·河北石家庄·高二石家庄二十三中校考期末)已知O为坐标原点,点 SKIPIF 1 < 0 和点 SKIPIF 1 < 0 ,动点P满足 SKIPIF 1 < 0 .(1)求动点P的轨迹曲线W的方程并说明W是何种曲线;(2)若抛物线 SKIPIF 1 < 0 ( SKIPIF 1 < 0 )的焦点F恰为曲线W的顶点,过点F的直线l与抛物线Z交于M,N两点, SKIPIF 1 < 0 ,求直线l的方程.【变式1】(2022春·陕西西安·高二西北工业大学附属中学校考阶段练习)已知抛物线 SKIPIF 1 < 0 的焦点为F,点 SKIPIF 1 < 0 在抛物线C上,且 SKIPIF 1 < 0 .(1)求抛物线C的标准方程;(2)若直线l过抛物线C的焦点F,l与抛物线C相交于A,B两点,且 SKIPIF 1 < 0 ,求直线l的方程.【变式2】(2022·全国·高三专题练习)如图,设抛物线方程为 SKIPIF 1 < 0 , SKIPIF 1 < 0 为直线 SKIPIF 1 < 0 上任意一点,过 SKIPIF 1 < 0 引抛物线的切线,切点分别为 SKIPIF 1 < 0 , SKIPIF 1 < 0 .(1)求证: SKIPIF 1 < 0 , SKIPIF 1 < 0 , SKIPIF 1 < 0 三点的横坐标成等差数列;(2)已知当 SKIPIF 1 < 0 点的坐标为 SKIPIF 1 < 0 时, SKIPIF 1 < 0 ,求此时抛物线的方程.

