2020-2021学年2.6 有理数的乘法与除法当堂达标检测题
展开苏科版初一上册 第二章 2.6 有理数的乘除法 同步测试
一、单选题
1. 的倒数是( )
A. B. C. D.
2.计算 的结果是( )
A. B. C. D.
3.计算 ,最合适的简便方法是( )
A. B.
C. D.
4.下列说法中,正确的是( ).
A. 若两个有理数的差是正数,则这两个数都是正数 B. 两数相乘,积一定大于每一个乘数
C. 0减去任何有理数,都等于此数的相反数 D. 倒数等于本身的为1,0,-1
5.如图, 两点表示的有理数分别是 ,则下列式子正确的是( )
A. B. C. D.
6. , , ,则有( )
A. , , 绝对值较大 B. , , 绝对值较大
C. , , 绝对值较大 D. , , 绝对值较大
7.|a|=1,|b|=4,且ab<0,则a+b的值为( )
A. 3 B. -3 C. ±3 D. ±5
8.有理数a、b在数轴上的位置如图所示,且|a|<|b|,下列各式中正确的个数是( )
①a+b<0;②b﹣a>0;③ ;④3a﹣b>0;⑤﹣a﹣b>0.
A. 2个 B. 3个 C. 4个 D. 5个
二、填空题
9.-2.5的相反数、倒数、绝对值分别为 ________、________、________。
10.倒数等于它本身的数是________,平方等于它本身的数是________,立方等于它本身的数是________,绝对值等于它本身的数是________,相反数等于它本身的数是________.
11.在数-5,1,-3,5,-2中任两个数相乘,其中最大的积是________,最小的积是________。
12.若a,b互为倒数,c,d互为相反数,则 -2ab=________
13.某地气象资料表明,高度每增加1000米,气温就下降大约6℃,现在6000米高空的气温是-14℃,则地面气温约是________℃.
14.定义新运算“※”,a※b= a-4b,如:9※4= ×9-4×4=3-16=-13,则12※(-1)=________.
15.已知a , b互为相反数,c , d互为倒数, ,则 的值是________.
16.若a,b互为相反数,则a+2a+…+100a+100b+99b+…+b=________;
三、综合题
17.计算下列各题:
(1)(+3 )×(3 -7 )× × .
(2)(-20)× ×(-6).
18.若定义一种新的运算“*”,规定有理数a*b=4ab,如2*3=4×2×3=24.
(1)求3*(-4)的值;
(2)求(-2)*(6*3)的值.
19.阅读下列材料:
计算:50÷( ﹣ + ).
解法一:原式=50÷ ﹣50÷ +50÷ =50×3﹣50×4+50×12=550.
解法二:原式=50÷( ﹣ + )=50÷ =50×6=300.
解法三:原式的倒数为( ﹣ + )÷50=( ﹣ + )× = × ﹣ × + × =
故原式=300.
(1)上述得出的结果不同,肯定有错误的解法,你认为解法________是错误的.在正确的解法中,你认为解法________最简捷.然后,请你解答下列问题:
(2)计算:(﹣ )÷( ).
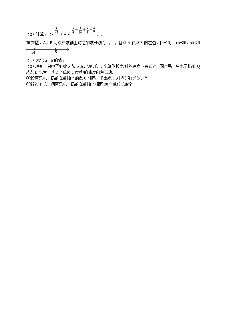
20.如图,A,B两点在数轴上对应的数分别为a,b,且点A在点B的左边,|a|=10,a+b=80,ab<0.
(1)求出a,b的值;
(2)现有一只电子蚂蚁P从点A出发,以3个单位长度/秒的速度向右运动,同时另一只电子蚂蚁Q从点B出发,以2个单位长度/秒的速度向左运动.
①设两只电子蚂蚁在数轴上的点C相遇,求出点C对应的数是多少?
②经过多长时间两只电子蚂蚁在数轴上相距20个单位长度?
答案解析部分
一、单选题
1.【答案】 A
【考点】有理数的倒数
解:因为 ,所以 的倒数是 ,
故答案为:A.
【分析】根据倒数的意义:乘积是1的两个数互为倒数,根据定义直接得到答案;
2.【答案】 C
【考点】有理数的除法
解:(-6)÷(- )=(-6)×(-3)=18.
故答案为:C.
【分析】根据有理数的除法法则计算即可,除以应该数,等于乘以这个数的倒数.
3.【答案】 D
【考点】有理数的乘法运算律
解:计算 ,最合适的简便方法是
故答案为:D.
【分析】将数转化为两数的-20+ , 然后利用乘法分配律进行计算即可.
4.【答案】 C
【考点】相反数及有理数的相反数,有理数的倒数,有理数的减法
解:A. 若两个有理数的差是正数,则这两个数不一定都是正数,例如3−0=3,不符合题意;
B. 两数相乘,积不一定大于每一个乘数,例如(−3)×2=−6,不符合题意;
C. 0减去任何有理数,都等于此数的相反数,符合题意;
D. 倒数等于本身的为1,−1,不符合题意,
故答案为:C
【分析】利用有理数的减法法则,相反数、倒数的定义判断即可.
5.【答案】 A
【考点】数轴及有理数在数轴上的表示,有理数的减法,有理数的乘法
解:根据题意得a>-1,b>1,
则a+1>0,b-1>0,
则(a+1)(b-1)>0.
故答案为:A.
【分析】根据数轴即可确定a和b的范围,则a-1和b+1的符号即可确定,进而确定(a-1)(b+1)的符号.
6.【答案】 B
【考点】有理数的加法,有理数的乘法
解:∵xy<0,
∴x、y异号,
∵x>y,
∴x>0,y<0,
∵x+y<0,
∴负数的绝对值大,即y绝对值较大.
故答案为:B.
【分析】根据有理数的加法运算法则和乘法运算法则进行判断即可.
7.【答案】 C
【考点】绝对值及有理数的绝对值,有理数的加法,有理数的乘法
【解析】
【分析】根据题意,因为ab<0,确定a、b的取值,再求得a+b的值.
【解答】∵|a|=1,|b|=4,
∴a=±1,b=±4,
∵ab<0,
∴a+b=1-4=-3或a+b=-1+4=3,
故选C.
【点评】本题主要考查了绝对值的运算,先根据题意确定绝对值符号中数的正负再计算结果,比较简单
8.【答案】 C
【考点】数轴及有理数在数轴上的表示,有理数大小比较,有理数的加法,有理数的减法,有理数的乘法
解:根据数轴上a,b两点的位置可知,b<0<a,|b|>|a|,
①根据有理数的加法法则,可知a+b<0,故正确;
②∵b<a,∴b-a<0,故错误;
③∵|a|<|b|,
∴
∵ <0, , ,
根据两个负数比较大小,绝对值大的反而小
∴ ,故正确;
④3a﹣b=3a+(- b)
∵3a>0,-b>0
∴3a﹣b>0,故正确;
⑤∵﹣a>b
∴- a﹣b>0.
故①③④⑤正确,选C.
【分析】根据数轴上所表示的数的特点可知:b<0<a,|b|>|a|,进而根据有理数的加法法则、减法法则、有理数比大小的方法、相反数的定义一一判断得出答案.
二、填空题
9.【答案】 2.5;;2.5
【考点】相反数及有理数的相反数,绝对值及有理数的绝对值,有理数的倒数
解:∵互为相反数的两个数和为0,
∴-2.5的相反数为2.5;
∵互为倒数的两个数积为1,
∴-2.5的倒数为 ;
∵一个负数的绝对值是它的相反数,
∴-2.5的绝对值为2.5;
故答案为:2.5; ;2.5;
【分析】根据相反数的性质,互为相反数的两个数和为0;倒数的性质,互为倒数的两个数积为1;绝对值的定义,一个正数的绝对值是它本身,一个负数的绝对值是它的相反数,0的绝对值是0,求解即可;
10.【答案】 1;0或1;0或1或﹣1;非负数;0
【考点】相反数及有理数的相反数,绝对值及有理数的绝对值,有理数的倒数,有理数的乘方
解:倒数等于它本身的数是 1,平方等于它本身的数是0或1,立方等于它本身的数是0或1或﹣1,绝对值等于它本身的数是非负数,相反数等于它本身的数是0,
故答案为1,0或1,0或1或﹣1,非负数,0.
【分析】根据倒数、绝对值、相反数、平方数、立方数的性质即可解决问题;
11.【答案】 15
;-25
【考点】有理数的乘法
解:最大的积是:(-5)×(-3)=15, 最小的积是:(-5)×5=-25.
故答案为:15,-25.
【分析】最大的积应是两个正数或两个负数相乘,取最大的积即可;最小的积应是符号相反的两个数相乘,取最小的积即可.
12.【答案】 -2
【考点】相反数及有理数的相反数,有理数的倒数
解:根据倒数、相反数的性质可得 , ,再整体代入计算即可.
由题意得 , ,则 -2ab=0-2=-2.
【分析】根据互为相反数的两个数和为0可得c+d=0,由乘积为1的两个数互为倒数可得ab=1,代入所求代数式计算即可求解.
13.【答案】 22
【考点】有理数的加法,有理数的乘法,有理数的除法
解:6000÷1000=6, 6×6=36,
则地面气温=-14+36=22°C,
故答案为:22°C.
【分析】先根据题意计算高空地面增加了几个1000米,再根据每增加1000米,气温就下降大约6℃,算出气温的变化量,再结合高空的气温即可求出地面的气温.
14.【答案】 8
【考点】有理数的减法,有理数的乘法,定义新运算
解:根据题中的新定义得:原式= ×12-4×(-1)=4+4=8.
【分析】根据新定义运算,列出算式,按有理数混合运算顺序计算,即可.
15.【答案】 0或8
【考点】相反数及有理数的相反数,绝对值及有理数的绝对值,有理数的倒数
解:∵a,b互为相反数,c,d互为倒数,
∴a+b=0,cd=1,m=±2
原式=2m-(0-1)+3×1=2m+4
当m=2时,原式=2×2+4=8;
当m=-2时,原式=2×(-2)+4=0。
综合得:原式的值为0或8.
【分析】先根据互为相反数的两数的和为0,互为倒数的两数的积为1以及绝对值的意义确定出a+b、cd以及m的值,然后将原式化简后代入求值即可。
16.【答案】 0
【考点】相反数及有理数的相反数,有理数的乘法运算律,代数式求值
解:a+2a+…+100a+100b+99b+…+b,
=(a+b)+2(a+b)+3(a+b)+…+100(a+b),
=0.
故答案为:0.
【分析】利用加法的交换律和结合律及乘法分配律的逆用,将代数式变形为(a+b)+2(a+b)+3(a+b)+…+100(a+b),然后根据互为相反数的两个数的和为0得出a+b=0,然后整体代入即可算出答案.
三、综合题
17.【答案】 (1)解:原式= × ×( - )× =3-7=-4
(2)解:原式=(-20)×(-6)×
=120×
=120× +120× +120×
=-70-100+90=-80
【考点】有理数的乘法运算律,含括号的有理数混合运算
【解析】【分析】(1)先将带分数变形为假分数形式,然后先后利用乘法交换律与乘法分配律进行简便运算;(2)利用乘法分配律进行简便运算即可.
18.【答案】 (1)解:∵a*b=4ab,
∴3*(﹣4)=4×3×(﹣4)=-48
(2)解:∵a*b=4ab,
∴(﹣2)*(6*3)
=(﹣2)*(4×6×3)
=(﹣2)*72
=4×(﹣2)×72
=-576
【考点】有理数的乘法,定义新运算
【解析】【分析】(1)根据a*b=4ab,把3*(﹣4)转化为常规运算计算即可;(2)根据a*b=4ab,先算6*3,再算(﹣2)*(6*3)即可.
19.【答案】 (1)一;三
(2)解:略
【考点】有理数的除法
解:上述得出的结果不同,肯定有错误的解法,我认为解法一是错误的.在正确的解法中,你认为解法三最简捷;
原式的倒数为( )÷(﹣ )=( )×(﹣42)=﹣7+9﹣28+12=﹣14,
则原式=﹣ .
故答案为:一;三
【分析】(1)解法(一)中错用了运算律,只有乘法对加法的分配律,没有除法分配律,所以解法错误;先求出原数的倒数,再求倒数的倒数简便;
(2)可用方法(三),先求出原数的倒数,再求倒数的倒数即可求解。
20.【答案】 (1)解:∵A,B两点在数轴上对应的数分别为a,b,且点A在点B的左边,|a|=10,a+b=80,ab<0,
∴a=-10,b=90,
即a的值是-10,b的值是90
(2)解:①由题意可得,
点C对应的数是:90-[90-(-10)]÷(3+2)×2=90-100÷5×2=90-40=50,
即点C对应的数为:50;
②设相遇前,经过m秒时间两只电子蚂蚁在数轴上相距20个单位长度,
[90-(-10)-20]÷(3+2)
=80÷5
=16(秒),
设相遇后,经过n秒时间两只电子蚂蚁在数轴上相距20个单位长度,
[90-(-10)+20]÷(3+2)
=120÷5
=24(秒),
由上可得,经过16秒或24秒的时间两只电子蚂蚁在数轴上相距20个单位长度.
【考点】数轴及有理数在数轴上的表示,绝对值及有理数的绝对值,有理数的加法,有理数的乘法
【解析】【分析】(1)根据有理数的乘法法则及数轴上所表示的数的特点可以得出a、b的符号相反、进而根据绝对值的意义可得a=−10,再根据有理数的加减法法则由a+b=80可得b的值;
(2)①根据题意可以求得两只电子蚂蚁在数轴上的点C相遇是点C对应的数值;
②分 设相遇前,经过m秒时间两只电子蚂蚁在数轴上相距20个单位长度, 设相遇后,经过n秒时间两只电子蚂蚁在数轴上相距20个单位长度, 根据行程问题的等量关系列出,由路程除以速度等于时间即可算出答案.
数学苏科版第1章 我们与数学同行1.2 活动 思考课时作业: 这是一份数学苏科版第1章 我们与数学同行1.2 活动 思考课时作业,共7页。试卷主要包含了单选题,填空题,解答题等内容,欢迎下载使用。
苏科版七年级上册1.1 生活 数学习题: 这是一份苏科版七年级上册1.1 生活 数学习题,共8页。试卷主要包含了单选题,填空题,解答题等内容,欢迎下载使用。
苏科版七年级上册3.6 整式的加减随堂练习题: 这是一份苏科版七年级上册3.6 整式的加减随堂练习题,共8页。试卷主要包含了单选题,填空题,解答题等内容,欢迎下载使用。

