搜索
      上传资料 赚现金

      (人教A版)必修一高一数学上册同步重点通关练习卷26 三角函数的运算(2份,原卷版+解析版)

      • 980.51 KB
      • 2025-08-28 18:40:10
      • 32
      • 0
      • 夏天MOSS
      加入资料篮
      立即下载
      压缩包含2份文件 展开
      文件列表(2份) 收起
      原卷
      (人教A版)必修一高一数学上册同步重点通关练习卷26 三角函数的运算(原卷版).docx
      预览
      解析
      (人教A版)必修一高一数学上册同步重点通关练习卷26 三角函数的运算(解析版).docx
      预览
      正在预览:(人教A版)必修一高一数学上册同步重点通关练习卷26 三角函数的运算(原卷版).docx
      (人教A版)必修一高一数学上册同步重点通关练习卷26 三角函数的运算(原卷版)第1页
      1/5
      (人教A版)必修一高一数学上册同步重点通关练习卷26 三角函数的运算(原卷版)第2页
      2/5
      (人教A版)必修一高一数学上册同步重点通关练习卷26 三角函数的运算(解析版)第1页
      1/15
      (人教A版)必修一高一数学上册同步重点通关练习卷26 三角函数的运算(解析版)第2页
      2/15
      (人教A版)必修一高一数学上册同步重点通关练习卷26 三角函数的运算(解析版)第3页
      3/15
      还剩3页未读, 继续阅读

      数学必修 第一册诱导公式当堂检测题

      展开

      这是一份数学必修 第一册诱导公式当堂检测题,文件包含人教A版必修一高一数学上册同步重点通关练习卷26三角函数的运算原卷版docx、人教A版必修一高一数学上册同步重点通关练习卷26三角函数的运算解析版docx等2份试卷配套教学资源,其中试卷共20页, 欢迎下载使用。
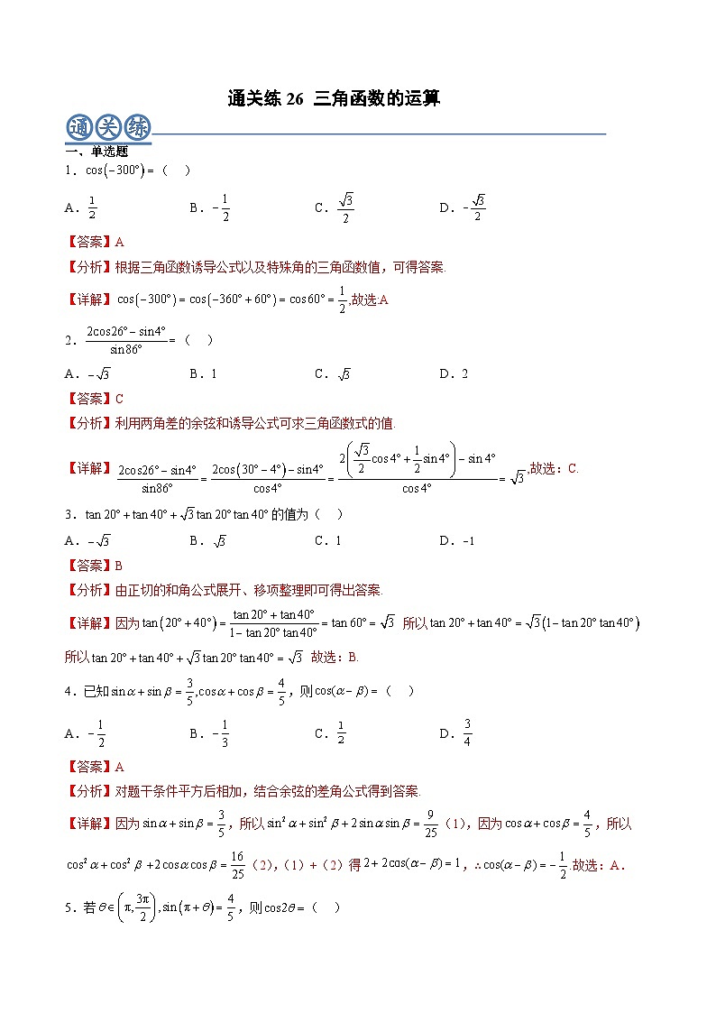
      一、单选题
      1.( )
      A.B.C.D.
      【答案】A
      【分析】根据三角函数诱导公式以及特殊角的三角函数值,可得答案.
      【详解】,故选:A
      2.( )
      A.B.1C.D.2
      【答案】C
      【分析】利用两角差的余弦和诱导公式可求三角函数式的值.
      【详解】,故选:C.
      3.的值为( )
      A.B.C.1D.
      【答案】B
      【分析】由正切的和角公式展开、移项整理即可得出答案.
      【详解】因为 所以
      所以 故选:B.
      4.已知,则( )
      A.B.C.D.
      【答案】A
      【分析】对题干条件平方后相加,结合余弦的差角公式得到答案.
      【详解】因为,所以(1),因为,所以(2),(1)+(2)得,∴.故选:A.
      5.若,则( )
      A.B.C.D.
      【答案】B
      【分析】先利用诱导公式求出,再根据二倍角得余弦公式即可得解.
      【详解】解:因为,所以,所以.故选:B.
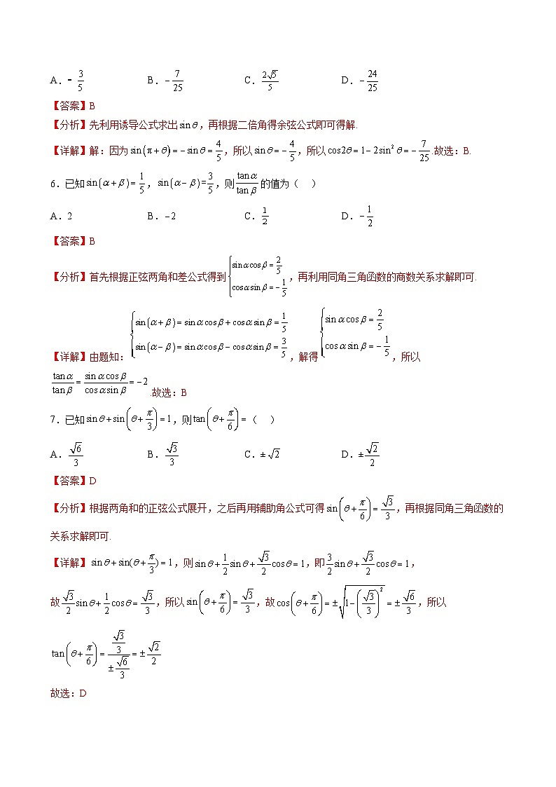
      6.已知,,则的值为( )
      A.2B.C.D.
      【答案】B
      【分析】首先根据正弦两角和差公式得到,再利用同角三角函数的商数关系求解即可.
      【详解】由题知:,解得,所以.故选:B
      7.已知,则( )
      A.B.C.±D.±
      【答案】D
      【分析】根据两角和的正弦公式展开,之后再用辅助角公式可得,再根据同角三角函数的关系求解即可.
      【详解】,则,即,
      故,所以,故,所以
      故选:D
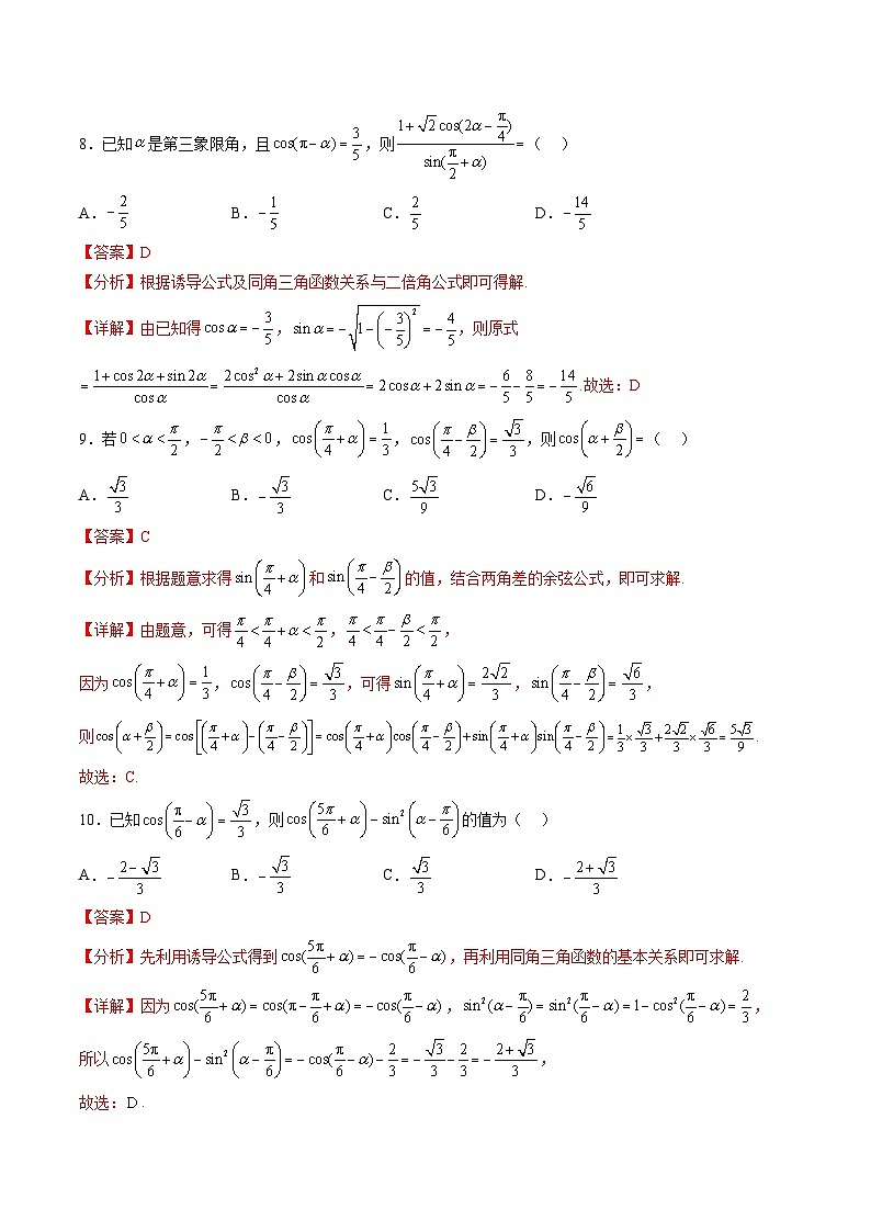
      8.已知是第三象限角,且,则( )
      A.B.C.D.
      【答案】D
      【分析】根据诱导公式及同角三角函数关系与二倍角公式即可得解.
      【详解】由已知得,,则原式
      .故选:D
      9.若,,,,则( )
      A.B.C.D.
      【答案】C
      【分析】根据题意求得和的值,结合两角差的余弦公式,即可求解.
      【详解】由题意,可得,,
      因为,,可得,,
      则.
      故选:C.
      10.已知,则的值为( )
      A.B.C.D.
      【答案】D
      【分析】先利用诱导公式得到,再利用同角三角函数的基本关系即可求解.
      【详解】因为,,
      所以,
      故选:.
      11.已知为第四象限角,,则( )
      A.B.C.D.
      【答案】D
      【分析】由可求得;利用,结合的范围可确定,由此可求得;利用二倍角余弦公式和平方差公式可得,代入对应的值即可求得结果.
      【详解】由得:,解得:,

      为第四象限角,,,,
      .故选:D.
      12.已知,,则( )
      A.B.C.D.
      【答案】A
      【分析】由三角恒等变换将等式化简为,即可求出,进一步求出,,即可求出.
      【详解】因为,则,则,因为,所以,所以,所以
      ,因为,所以.故选:A.
      13.已知,,,则( )
      A.B.C.D.
      【答案】D
      【分析】结合式子中角的特点以及范围,分别求,
      ,再根据正切值缩小的范围,从而得到的范围,即可得到角的大小.
      【详解】因为 ,
      ,而,,所以,,,,所以.故选:D.
      14.函数的最大值是( )
      A.B.C.7D.8
      【答案】C
      【分析】化简函数解析式,结合正弦函数性质求其最大值.
      【详解】可化为,
      所以,

      设,则,所以当即时,函数取最大值,最大值为7,所以函数的最大值为7,故选:C.
      15.已知,则的值为( )
      A.B.C.0D.
      【答案】B
      【分析】利用诱导公式及同角三角函数的基本关系求出,再由二倍角公式及同角三角函数的基本关系将弦化切,最后代入计算可得.
      【详解】解:因为,所以,所以,
      所以
      .故选:B
      二、多选题
      16.设的终边在第二象限,则的值可能为( )
      A.1B.-1C.-2D.2
      【答案】AB
      【分析】先求得的范围,由此进行分类讨论,结合二倍角公式、同角三角函数的基本关系式,化简求得所求表达式的值.
      【详解】∵的终边在第二象限,∴,,∴,,

      故当,时,,
      当,时,,.故选:AB
      17.下列各式的值等于1的有( )
      A. B.
      C.D.
      【答案】AD
      【分析】根据同角平方关系可判断A,根据诱导公式可判断BCD.
      【详解】,选项A正确;,选项B错误;,选项C错误:,选项D正确,
      故选:AD
      18.下列各式与tan α相等的是( )
      A.B.
      C.()D.
      【答案】CD
      【分析】根据二倍角的余弦、正弦公式化简,再结合同角三角函数的基本关系即可逐项判断.
      【详解】因为,故A错误;因为,故B错误;因为,所以原式=,故C正确;
      因为,故D正确.故选:CD
      19.已知,则( )
      A.B.
      C.D.
      【答案】BCD
      【分析】结合三角恒等变换化简已知条件,然后对选项进行分析,从而确定正确选项.
      【详解】依题意,,
      ,,
      ,所以或,
      ,或,(舍去),或,所以,
      ,.所以A选项错误,BCD选项正确.故选:BCD
      三、填空题
      20.____.
      【答案】
      【分析】利用两角差的正弦公式即可得到化简结果
      【详解】
      又故答案为:或
      21.已知函数的最小正周期为.则的值为______.
      【答案】1
      【分析】由二倍角正弦、辅助角公式可得,根据正弦函数的最小正周期求的值.
      【详解】,由题设,,则.故答案为:1
      22.化简:__________.
      【答案】1
      【分析】使用二倍角公式及同角三角函数平方关系化简求值.
      【详解】因为,,,
      所以.故答案为:1
      23.已知角的终边过点,则______;______.
      【答案】
      【分析】由三角函数定义求正切,弦化切求解即可.
      【详解】因为角的终边过点,所以,故
      故答案为:,
      24.已知,均为锐角,若,则值为____________.
      【答案】
      【分析】由两角和的余弦公式求得的值,再由特殊角的三角函数值得结果.
      【详解】由已知,又,均为锐角,所以,所以.故答案为:.
      25.已知,,且,,则的值是___________.
      【答案】
      【分析】由平方关系求得,,再求出即可得解.
      【详解】解:因为,,且,,所以,,且,则,所以.故答案为:.
      26.已知、均为锐角,且,,则___________.
      【答案】
      【分析】首先利用同角三角函数的基本关系求出,,再由利用两角差的余弦公式计算可得;
      【详解】解:、均为锐角,且,故,,
      ,.故答案为:
      27.已知sin=,则________.
      【答案】
      【分析】结合诱导公式、降次公式求得正确答案.
      【详解】,.
      故答案为:
      28.已知角是第二象限角,,则___________.
      【答案】
      【分析】利用平方关系结合已知求出,再结合二倍角的正弦公式即可得解.
      【详解】解:因为角是第二象限角,所以,又,则,则,解得,所以,所以.故答案为:.
      29.已知,则___________.
      【答案】
      【分析】根据给定条件,利用诱导公式及二倍角的余弦公式计算作答.
      【详解】因,所以.
      故答案为:
      30.若,则__.
      【答案】
      【分析】根据二倍角的正弦公式先化简,再利用同角三角函数间的基本关系求解即可.
      【详解】解:若,则
      ,故答案为:.
      31.设是第二象限角,为其终边上一点,且,则______.
      【答案】
      【分析】根据三角函数定义,求得,以及,再结合正切的倍角公式,即可求得结果.
      【详解】根据题意,,解得或或,又是第二象限角,故;
      则,则.故答案为:.
      32.已知则___________.
      【答案】
      【分析】根据二倍角正切公式,计算,再根据两角和的正切公式,计算,由题意可知,求解即可.
      【详解】,即
      ,即则
      故答案为:
      33.已知,均为锐角,,则=______.
      【答案】
      【分析】由,都是锐角,得出的范围,由和的值,利用同角三角函数间的基本关系分别求出和的值,然后把所求式子的角变为,利用两角和与差的正弦函数公式化简,把各自的值代入即可求出值.
      【详解】,都是锐角,,又,,所以,,
      则.故答案为:.
      34.公元前6世纪,古希腊的毕达哥拉斯学派通过研究正五边形和正十边形的作图,发现了黄金分割值约为0.618,这一数值也可以表示为.若,则______.
      【答案】
      【分析】根据,,求得,代入即可求解.
      【详解】解:因为,,所以,,
      所以,故答案为:.
      35.数学可以刻画现实世界中的和谐美,人体结构、建筑物、国旗、绘画、优选法等美的共性与黄金分割相关.黄金分割常数也可以表示成,则_________.
      【答案】2
      【分析】利用同角三角函数平方关系,诱导公式,二倍角公式进行求解即得.
      【详解】.故答案为:2.
      36.已知,则______.
      【答案】
      【分析】先利用正切的和差公式求得,再结合二倍角公式与同角三角函数的基本关系式即可得解.
      【详解】因为,所以,
      所以.故答案为:.
      37.若是第一象限角,且,则______.
      【答案】
      【分析】由条件结合诱导公式求,再由同角关系求.
      【详解】因为,所以,所以,又是第一象限角,所以,所以,又,故在第一象限,
      所以,故答案为:
      四、解答题
      38.已知,,,求的值.
      【答案】或
      【分析】首先根据同角三角函数的基本关系求出、,再根据两角差的余弦公式计算可得.
      【详解】解:,,,
      又,,
      当时,;
      当时,.
      39.已知,为锐角,,.
      (1)求的值;
      (2)求的值.
      【答案】(1);(2).
      【分析】(1)由条件结合同角关系求,再由二倍角正弦公式求;
      (2)利用同角关系求,再利用两角差余弦公式求.
      【详解】(1)因为,,所以,
      所以;
      (2)因为,所以,又,
      所以,又,
      所以.
      40.已知.
      (1)化简;
      (2)若是第三象限角,且,求的值.
      【答案】(1)(2)
      【分析】(1)利用诱导公式直接化简;(2)利用诱导公式化简,利用同角三角函数的关系求值.
      【详解】(1).
      (2)∵,∴,又是第三象限角,∴,
      故.
      41.已知
      (1)化简
      (2)若,求的值.
      【答案】(1)(2)
      【分析】(1)利用诱导公式进行化简即可;
      (2)根据已知求得,利用同角三角函数关系,齐次化,弦化切,化简即可求得原式的值.
      【详解】(1)由已知,
      所以.
      (2)由(1)知,所以,
      所以.
      42.已知.
      (1)若是第三象限角,且,求的值;
      (2)若,求的值.
      【答案】(1)(2)3
      【分析】(1)利用诱导公式化简得到,根据是第三象限角,且求出,代入即可;
      (2)根据得到,再利用同角三角函数关系变形得到.
      【详解】(1),因为是第三象限角,且,
      所以,

      (2),故,
      由于位于分母的位置,故,故,
      故.
      43.已知.
      (1)若,求的值;
      (2)若,且,求的值.
      【答案】(1);(2).
      【分析】(1)利用诱导公式化简,再利用倍角公式可求三角函数式的值;
      (2)利用两角和的正弦可求的值.
      【详解】(1),
      因为,故,所以.
      (2)因为,所以,而,所以,故,
      所以.

      相关试卷

      数学必修 第一册诱导公式当堂检测题:

      这是一份数学必修 第一册诱导公式当堂检测题,文件包含人教A版必修一高一数学上册同步重点通关练习卷26三角函数的运算原卷版docx、人教A版必修一高一数学上册同步重点通关练习卷26三角函数的运算解析版docx等2份试卷配套教学资源,其中试卷共20页, 欢迎下载使用。

      人教A版 (2019)必修 第一册正弦函数、余弦函数的性质课堂检测:

      这是一份人教A版 (2019)必修 第一册正弦函数、余弦函数的性质课堂检测,文件包含人教A版必修一高一数学上册同步重点通关练习卷27三角函数的图像和性质原卷版docx、人教A版必修一高一数学上册同步重点通关练习卷27三角函数的图像和性质解析版docx等2份试卷配套教学资源,其中试卷共35页, 欢迎下载使用。

      高中数学人教A版 (2019)必修 第一册正弦函数、余弦函数的性质课后练习题:

      这是一份高中数学人教A版 (2019)必修 第一册正弦函数、余弦函数的性质课后练习题,文件包含人教A版必修第一册高一数学上册同步讲与练第27讲三角函数的综合运用原卷版docx、人教A版必修第一册高一数学上册同步讲与练第27讲三角函数的综合运用解析版docx等2份试卷配套教学资源,其中试卷共42页, 欢迎下载使用。

      资料下载及使用帮助
      版权申诉
      • 1.电子资料成功下载后不支持退换,如发现资料有内容错误问题请联系客服,如若属实,我们会补偿您的损失
      • 2.压缩包下载后请先用软件解压,再使用对应软件打开;软件版本较低时请及时更新
      • 3.资料下载成功后可在60天以内免费重复下载
      版权申诉
      若您为此资料的原创作者,认为该资料内容侵犯了您的知识产权,请扫码添加我们的相关工作人员,我们尽可能的保护您的合法权益。
      入驻教习网,可获得资源免费推广曝光,还可获得多重现金奖励,申请 精品资源制作, 工作室入驻。
      版权申诉二维码
      高中数学人教A版 (2019)必修 第一册电子课本

      5.3 诱导公式

      版本: 人教A版 (2019)

      年级: 必修 第一册

      切换课文
      • 同课精品
      • 所属专辑27份
      • 课件
      • 教案
      • 试卷
      • 学案
      • 更多
      欢迎来到教习网
      • 900万优选资源,让备课更轻松
      • 600万优选试题,支持自由组卷
      • 高质量可编辑,日均更新2000+
      • 百万教师选择,专业更值得信赖
      微信扫码注册
      手机号注册
      手机号码

      手机号格式错误

      手机验证码 获取验证码 获取验证码

      手机验证码已经成功发送,5分钟内有效

      设置密码

      6-20个字符,数字、字母或符号

      注册即视为同意教习网「注册协议」「隐私条款」
      QQ注册
      手机号注册
      微信注册

      注册成功

      返回
      顶部
      学业水平 高考一轮 高考二轮 高考真题 精选专题 初中月考 教师福利
      添加客服微信 获取1对1服务
      微信扫描添加客服
      Baidu
      map