高中数学人教B版 (2019)必修 第一册第三章 函数3.2 函数与方程、不等式之间的关系习题ppt课件
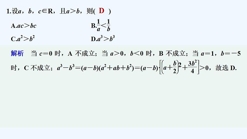
展开1.设a,b,c∈R,且a>b,则( )
②当c<0时,a③当a=1,b=-2,k=2时,命题不成立,③是假命题;
【最新版】高中数学(新人教B版)习题+同步课件限时小练26 椭圆的标准方程及几何性质的应用: 这是一份【最新版】高中数学(新人教B版)习题+同步课件限时小练26 椭圆的标准方程及几何性质的应用,文件包含限时小练26椭圆的标准方程及几何性质的应用pptx、限时小练26椭圆的标准方程及几何性质的应用DOCX等2份课件配套教学资源,其中PPT共7页, 欢迎下载使用。
【最新版】高中数学(新人教B版)习题+同步课件限时小练25 椭圆的几何性质: 这是一份【最新版】高中数学(新人教B版)习题+同步课件限时小练25 椭圆的几何性质,文件包含限时小练25椭圆的几何性质pptx、限时小练25椭圆的几何性质DOCX等2份课件配套教学资源,其中PPT共6页, 欢迎下载使用。
数学必修 第一册2.2.4 均值不等式及其应用习题ppt课件: 这是一份数学必修 第一册2.2.4 均值不等式及其应用习题ppt课件,文件包含限时小练26函数的实际应用pptx、限时小练26函数的实际应用doc等2份课件配套教学资源,其中PPT共5页, 欢迎下载使用。

