搜索
      上传资料 赚现金

      (人教A版)必修第一册高一数学上册同步分层练习5.5.2 简单的三角恒等变换(含答案解析)

      • 248.77 KB
      • 2025-12-02 22:18:44
      • 21
      • 0
      • 夏天MOSS
      加入资料篮
      立即下载
      (人教A版)必修第一册高一数学上册同步分层练习5.5.2 简单的三角恒等变换(含答案解析)第1页
      1/7
      (人教A版)必修第一册高一数学上册同步分层练习5.5.2 简单的三角恒等变换(含答案解析)第2页
      2/7
      (人教A版)必修第一册高一数学上册同步分层练习5.5.2 简单的三角恒等变换(含答案解析)第3页
      3/7
      还剩4页未读, 继续阅读

      人教A版 (2019)必修 第一册简单的三角恒等变换课堂检测

      展开

      这是一份人教A版 (2019)必修 第一册简单的三角恒等变换课堂检测,共7页。试卷主要包含了下列各式与tan α相等的是,已知,则的可能取值为,关于函数,下列说法中正确的是,已知.等内容,欢迎下载使用。
      巩固新知 夯实基础
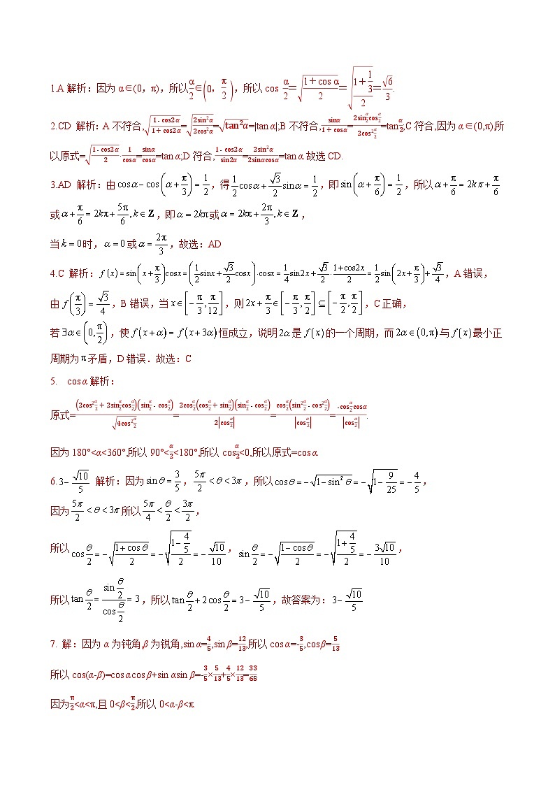
      1.若cs α= eq \f(1,3) ,且α∈(0,π),则cs eq \f(α,2) 的值为( )
      A. eq \f(\r(6),3) B.- eq \f(\r(6),3) C.± eq \f(\r(6),3) D. eq \f(\r(3),3)
      2.(多选)下列各式与tan α相等的是( )
      A.1-cs2α1+cs2α B.sinα1+csα
      C.1+cs(π+2α)2·1csα(α∈(0,π)) D.1-cs2αsin2α
      3.(多选)已知,则的可能取值为( )
      A.0 B. C. D.
      4.关于函数,下列说法中正确的是( )
      A.其表达式可写成 B.曲线关于直线对称
      C.在区间上单调递增 D.,使得恒成立
      5.化简(1+sinα+csα)sinα2-csα22+2csα= (其中180°

      相关试卷

      人教A版 (2019)必修 第一册简单的三角恒等变换课堂检测:

      这是一份人教A版 (2019)必修 第一册简单的三角恒等变换课堂检测,共7页。试卷主要包含了下列各式与tan α相等的是,已知,则的可能取值为,关于函数,下列说法中正确的是,已知.等内容,欢迎下载使用。

      高中数学人教A版 (2019)必修 第一册简单的三角恒等变换巩固练习:

      这是一份高中数学人教A版 (2019)必修 第一册简单的三角恒等变换巩固练习,文件包含人教A版必修一数学高一上册同步讲与练552简单的三角恒等变换原卷版docx、人教A版必修一数学高一上册同步讲与练552简单的三角恒等变换解析版docx等2份试卷配套教学资源,其中试卷共36页, 欢迎下载使用。

      数学必修 第一册5.5 三角恒等变换练习:

      这是一份数学必修 第一册5.5 三角恒等变换练习,共5页。试卷主要包含了故选C等内容,欢迎下载使用。

      资料下载及使用帮助
      版权申诉
      • 1.电子资料成功下载后不支持退换,如发现资料有内容错误问题请联系客服,如若属实,我们会补偿您的损失
      • 2.压缩包下载后请先用软件解压,再使用对应软件打开;软件版本较低时请及时更新
      • 3.资料下载成功后可在60天以内免费重复下载
      版权申诉
      若您为此资料的原创作者,认为该资料内容侵犯了您的知识产权,请扫码添加我们的相关工作人员,我们尽可能的保护您的合法权益。
      入驻教习网,可获得资源免费推广曝光,还可获得多重现金奖励,申请 精品资源制作, 工作室入驻。
      版权申诉二维码
      高中数学人教A版 (2019)必修 第一册电子课本

      5.5.2 简单的三角恒等变换

      版本: 人教A版 (2019)

      年级: 必修 第一册

      切换课文
      • 同课精品
      • 所属专辑41份
      • 课件
      • 教案
      • 试卷
      • 学案
      • 更多
      欢迎来到教习网
      • 900万优选资源,让备课更轻松
      • 600万优选试题,支持自由组卷
      • 高质量可编辑,日均更新2000+
      • 百万教师选择,专业更值得信赖
      微信扫码注册
      手机号注册
      手机号码

      手机号格式错误

      手机验证码 获取验证码 获取验证码

      手机验证码已经成功发送,5分钟内有效

      设置密码

      6-20个字符,数字、字母或符号

      注册即视为同意教习网「注册协议」「隐私条款」
      QQ注册
      手机号注册
      微信注册

      注册成功

      返回
      顶部
      学业水平 高考一轮 高考二轮 高考真题 精选专题 初中月考 教师福利
      添加客服微信 获取1对1服务
      微信扫描添加客服
      Baidu
      map