





高中数学人教A版 (2019)必修 第一册简单的三角恒等变换课时训练
展开 这是一份高中数学人教A版 (2019)必修 第一册简单的三角恒等变换课时训练,文件包含552简单的三角恒等变换分层作业原卷版高一数学同步培优备课系列人教A版2019必修第一册2025-2026docx、552简单的三角恒等变换分层作业解析版高一数学同步培优备课系列人教A版2019必修第一册2025-2026docx等2份试卷配套教学资源,其中试卷共23页, 欢迎下载使用。
知识点1 半角公式与万能公式
1.(24-25高一下·湖北咸宁·期末)已知,,则( )
A.B.C.D.
2.(2025·浙江宁波·模拟预测)已知为锐角,且,则( )
A.B.C.D.
3.(24-25高一下·甘肃定西·期中)已知 ,若 ,则 ( )
A.B.C.D.
4.(24-25高三上·安徽·月考)已知,则的值为( )
A.B.C.D.
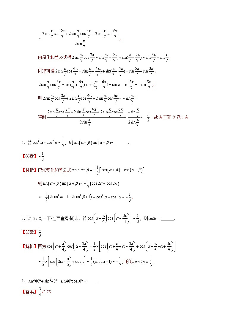
知识点2 积化和差与和差化积
1.(24-25高三下·安徽安庆·月考)的值为( )
A.B.C.D.
2.若,则 .
3.24-25高一下·江西宜春·期末)若,则 .
4. .
知识点3 辅助角公式的应用
1.(24-25高一下·四川资阳·期末)函数的最小正周期为( )
A.B.C.D.
2.(24-25高一下·云南保山·期末)当时,函数取得最小值,则( )
A.B.C.D.
3.(24-25高一下·上海·月考)函数,的值域是
4.(24-25高一下·北京房山·期中)函数的单调递减区间 .
知识点4 三角恒等变换综合应用
1.(24-25高一上·浙江杭州·期末)若,则实数( )
A.B.2C.1D.
2.(24-25高一下·江苏盐城·月考)( )
A.1B.C.D.2
3.(24-25高一下·江苏盐城·期中) 的值 .
4.(23-24高一下·广东河源·月考)化简: .
知识点5 三角形中的三角恒等变换
1.(24-25高一下·上海徐汇·开学考试)在中,若,则一定是( )
A.等腰三角形B.直角三角形C.锐角三角形D.钝角三角形
2.(24-25高一下·浙江湖州·月考)若中,,则此三角形的形状是( )
A.直角三角形B.等腰三角形C.等边三角形D.等腰直角三角形
3.(24-25高一下·安徽安庆·月考)在中,已知,则的形状为( )
A.锐角三角形B.钝角三角形
C.等腰三角形D.没有符合条件的三角形
4.(24-25高一下·江西南昌·期末)在△ABC中,若,则△ABC是( )
A.等边三角形B.等腰直角三角形
C.等腰三角形D.直角三角形
知识点6 三角恒等变换与三角函数结合
1.(24-25高一下·山东烟台·月考)已知函数.
(1)求函数的最小正周期及单调递增区间;
(2)当时,求的最大值及取得最大值时的集合.
2.(24-25高一下·辽宁·月考)已知函数.
(1)求图象的对称中心和在上的单调区间;
(2)已知,求的值.
3.(24-25高一下·贵州六盘水·期末)已知函数.
(1)求函数的最小正周期;
(2)当时,求函数的最大值和最小值;
(3)若函数为奇函数,求的最小值.
4.(25-26高二上·湖南长沙·月考)已知.
(1)将改写为的形式;
(2)求的最小正周期,并写出单调递增区间;
(3)若,求的值.
1.(24-25高一下·江苏盐城·期中)设,,,则有( )
A.B.C.D.
2.(24-25高一下·云南曲靖·期末)由正弦二倍角公式,我们发现一个有趣事实. 同理,由此请计算( )
A.B.C.D.
3.(24-25高一下·四川德阳·月考)(多选)下列关于三角恒等变换正确的有( )
A.B.
C.D.
4.(24-25高一下·江苏南京·月考)已知函数.
(1)求的图象的对称轴、单调递增区间;
(2)当时,求的最值,以及取得最值时的取值;
(3)当时,关于的不等式有解,求实数的取值范围.
1.(25-26高三上·河北保定·期中)已知 ,则( )
A.B.C.D.
2.(24-25高一下·江苏南通·期中)在斜三角形中,角的对边分别为.若,则的取值范围为( )
A.B.C.D.
3.(24-25高一下·江苏南通·期中)已知函数,若存在实数,使得对于定义域内的任意实数,均有成立,则称函数为“平衡函数”,有序数对称为函数的“平衡点对”.
(1)若为函数的“平衡点对”,求的值;
(2)若,当且成立时,求的最大值.
4.(24-25高三上·山东·月考)世纪法国的数学家韦达在其三角学著作《应用于三角形的数学定律》中给出了积化和差与和差化积恒等式.
积化和差:
,
.
和差化积:
,
.
运用上面的公式解决下列问题:
(1)证明:;
(2)若,证明:;
(3)若函数,判断的零点个数,并说明理由.
相关试卷
这是一份高中数学人教A版 (2019)必修 第一册简单的三角恒等变换课时训练,文件包含552简单的三角恒等变换分层作业原卷版高一数学同步培优备课系列人教A版2019必修第一册2025-2026docx、552简单的三角恒等变换分层作业解析版高一数学同步培优备课系列人教A版2019必修第一册2025-2026docx等2份试卷配套教学资源,其中试卷共23页, 欢迎下载使用。
这是一份人教A版 (2019)必修 第一册5.5 三角恒等变换优秀练习,共10页。试卷主要包含了单选题,多选题,填空题,解答题等内容,欢迎下载使用。
这是一份人教A版 (2019)必修 第一册简单的三角恒等变换课堂检测,共6页。试卷主要包含了必备知识基础练,关键能力提升练等内容,欢迎下载使用。
相关试卷 更多
- 1.电子资料成功下载后不支持退换,如发现资料有内容错误问题请联系客服,如若属实,我们会补偿您的损失
- 2.压缩包下载后请先用软件解压,再使用对应软件打开;软件版本较低时请及时更新
- 3.资料下载成功后可在60天以内免费重复下载
免费领取教师福利 





.png)





