搜索
      上传资料 赚现金

      (人教A版)必修第一册高一数学上册同步分层练习5.5.1 第1课时 两角差的余弦公式(含答案解析)

      • 136.21 KB
      • 2025-12-02 22:24:51
      • 43
      • 0
      • 夏天MOSS
      加入资料篮
      立即下载
      (人教A版)必修第一册高一数学上册同步分层练习5.5.1 第1课时 两角差的余弦公式(含答案解析)第1页
      高清全屏预览
      1/6
      (人教A版)必修第一册高一数学上册同步分层练习5.5.1 第1课时 两角差的余弦公式(含答案解析)第2页
      高清全屏预览
      2/6
      (人教A版)必修第一册高一数学上册同步分层练习5.5.1 第1课时 两角差的余弦公式(含答案解析)第3页
      高清全屏预览
      3/6
      还剩3页未读, 继续阅读

      数学人教A版 (2019)两角和与差的正弦、余弦和正切第1课时课堂检测

      展开

      这是一份数学人教A版 (2019)两角和与差的正弦、余弦和正切第1课时课堂检测,共6页。试卷主要包含了已知,,则,已知,,则的值为______.等内容,欢迎下载使用。
      巩固新知 夯实基础
      1.( )
      A.B. C.D.
      2.若α∈[0,π],sinα3sin4α3+csα3cs4α3=0,则α的值是( )
      A.π6 B.π4 C.π3 D.π2
      3.已知,,则( )
      A.B.
      C.D.
      4.已知点P(1,eq \r(2))是角α终边上一点,则cs(30°-α)=( )
      A.eq \f(3+\r(6),6) B.eq \f(3-\r(6),6)
      C.-eq \f(3+\r(6),6) D.eq \f(\r(6)-3,6)
      5.cs(30°+α)csα+sin(30°+α)sinα的值是________.
      6.已知α,β均为锐角,且sinα=eq \f(2\r(5),5),sinβ=eq \f(\r(10),10),则α-β=________.
      7.已知,,则的值为______.
      8.已知α,β∈eq \b\lc\(\rc\)(\a\vs4\al\c1(\f(3,4)π,π)),sin(α+β)=-eq \f(3,5),sineq \b\lc\(\rc\)(\a\vs4\al\c1(β-\f(π,4)))=eq \f(12,13),求cseq \b\lc\(\rc\)(\a\vs4\al\c1(α+\f(π,4)))的值
      能 力 练
      综合应用 核心素养
      9.已知cseq \b\lc\(\rc\)(\a\vs4\al\c1(x-\f(π,6)))=-eq \f(\r(3),3),则csx+cseq \b\lc\(\rc\)(\a\vs4\al\c1(x-\f(π,3)))等于( )
      A.-eq \f(2\r(3),3) B.±eq \f(2\r(3),3)
      C.-1 D.±1
      10.若cs(α-β)=55,cs 2α=1010,α为锐角,β为钝角,则α+β的值为( )
      A.π6 B.π4 C.3π4 D.5π6
      11.已知sinα+sinβ+sinγ=0和csα+csβ+csγ=0,则cs(α-β)的值是( )
      A.eq \f(1,2) B.eq \f(\r(3),2) C.-eq \f(1,2) D.-eq \f(\r(3),2)
      12.若cs(α+β)=eq \f(3,5),sineq \b\lc\(\rc\)(\a\vs4\al\c1(β-\f(π,4)))=eq \f(5,13),α,β∈eq \b\lc\(\rc\)(\a\vs4\al\c1(0,\f(π,2))),那么cseq \b\lc\(\rc\)(\a\vs4\al\c1(α+\f(π,4)))的值为( )
      A.eq \f(\r(2),2) B.eq \f(3,2) C.eq \f(56,65) D.eq \f(36,65)
      13.(多选)已知,,则的值可能为( )
      A.B.C.D.
      14.已知cseq \b\lc\(\rc\)(\a\vs4\al\c1(α-\f(π,3)))=csα,则tanα=________.
      15.满足eq \f(1,2)sinx+eq \f(\r(3),2)csx=eq \f(1,2)的角x的集合是__________.
      16.已知tan α=43,cs(α+β)=-1114,α,β均为锐角,求β的值.
      【参考答案】
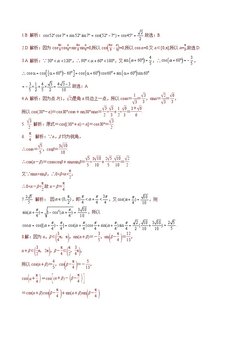
      1.B 解析:.故选:B.
      2.D 解析:因为cs4α3csα3+sin4α3sinα3=0,所以cs4α3-α3=0,所以cs α=0.又α∈[0,π],所以α=π2,故选D.
      3.A 解析:∵,∴,又,∴,

      .故选:A
      4.A 解析:因为点P(1,eq \r(2))是角α终边上一点,所以csα=eq \f(1,\r(3))=eq \f(\r(3),3),sinα=eq \f(\r(2),\r(3))=eq \f(\r(6),3),
      所以cs(30°-α)=cs30°csα+sin30°sinα=eq \f(\r(3),2)×eq \f(\r(3),3)+eq \f(1,2)×eq \f(\r(6),3)=eq \f(3+\r(6),6).
      5. eq \f(\r(3),2) 解析:原式=cs[(30°+α)-α]=cs30°=eq \f(\r(3),2).
      6. eq \f(π,4) 解析:∵α,β均为锐角,
      ∴csα=eq \f(\r(5),5),csβ=eq \f(3\r(10),10).
      ∴cs(α-β)=csαcsβ+sinαsinβ=eq \f(\r(5),5)×eq \f(3\r(10),10)+eq \f(2\r(5),5)×eq \f(\r(10),10)=eq \f(\r(2),2).
      又∵sinα>sinβ,∴0

      相关试卷

      数学人教A版 (2019)两角和与差的正弦、余弦和正切第1课时课堂检测:

      这是一份数学人教A版 (2019)两角和与差的正弦、余弦和正切第1课时课堂检测,共6页。试卷主要包含了已知,,则,已知,,则的值为______.等内容,欢迎下载使用。

      必修 第一册5.5 三角恒等变换第1课时当堂检测题:

      这是一份必修 第一册5.5 三角恒等变换第1课时当堂检测题,共6页。

      必修 第一册两角和与差的正弦、余弦和正切第2课时复习练习题:

      这是一份必修 第一册两角和与差的正弦、余弦和正切第2课时复习练习题,共6页。试卷主要包含了cs 5π12的值为,已知,都是锐角,,,则,若α+β=eq \f,则的值为,已知,.等内容,欢迎下载使用。

      资料下载及使用帮助
      版权申诉
      • 1.电子资料成功下载后不支持退换,如发现资料有内容错误问题请联系客服,如若属实,我们会补偿您的损失
      • 2.压缩包下载后请先用软件解压,再使用对应软件打开;软件版本较低时请及时更新
      • 3.资料下载成功后可在60天以内免费重复下载
      版权申诉
      若您为此资料的原创作者,认为该资料内容侵犯了您的知识产权,请扫码添加我们的相关工作人员,我们尽可能的保护您的合法权益。
      入驻教习网,可获得资源免费推广曝光,还可获得多重现金奖励,申请 精品资源制作, 工作室入驻。
      版权申诉二维码
      高中数学人教A版 (2019)必修 第一册电子课本

      5.5.1 两角和与差的正弦、余弦和正切公式

      版本: 人教A版 (2019)

      年级: 必修 第一册

      切换课文
      • 同课精品
      • 所属专辑41份
      • 课件
      • 教案
      • 试卷
      • 学案
      • 更多
      欢迎来到教习网
      • 900万优选资源,让备课更轻松
      • 600万优选试题,支持自由组卷
      • 高质量可编辑,日均更新2000+
      • 百万教师选择,专业更值得信赖
      微信扫码注册
      手机号注册
      手机号码

      手机号格式错误

      手机验证码 获取验证码 获取验证码

      手机验证码已经成功发送,5分钟内有效

      设置密码

      6-20个字符,数字、字母或符号

      注册即视为同意教习网「注册协议」「隐私条款」
      QQ注册
      手机号注册
      微信注册

      注册成功

      返回
      顶部
      学业水平 高考一轮 高考二轮 高考真题 精选专题 初中月考 教师福利
      添加客服微信 获取1对1服务
      微信扫描添加客服
      Baidu
      map