人教B版 (2019)必修 第三册7.3.2 正弦型函数的性质与图像课时训练
展开课时跟踪检测(十) 正弦型函数的性质与图像
A级——学考水平达标练
1.函数f(x)=sin的最小正周期为,其中ω>0,则ω等于( )
A.5 B.10
C.15 D.20
解析:选B 由已知得=,又ω>0,所以=,ω=10.
2.(多选题)关于x的函数f(x)=sin(x+φ)的以下说法,不正确的是( )
A.对任意的φ,f(x)都是非奇非偶函数
B.存在φ,使f(x)是偶函数
C.存在φ,使f(x)是奇函数
D.对任意的φ,f(x)都不是偶函数
解析:选AD 当φ=0时,f(x)=sin x,是奇函数;当φ=时,f(x)=cos x,是偶函数.故选A、D.
3.函数f(x)=2sin,x∈[-π,0]的单调递增区间是( )
A. B.
C. D.
解析:选D 令2kπ-≤x-≤2kπ+,k∈Z,解得2kπ-≤x≤2kπ+,k∈Z,又-π≤x≤0,∴-≤x≤0,故选D.
4.若函数f(x)=3sin(ωx+φ)对任意的x都有f=f,则f等于( )
A.3或0 B.-3或0
C.0 D.-3或3
解析:选D ∵f=f,∴f(x)关于直线x=对称.∴f应取得最大值或最小值.
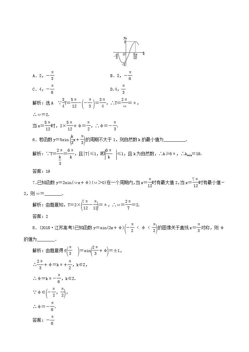
5.函数f(x)=2sin(ωx+φ)的部分图像如图所示,则ω,φ的值分别是( )
A.2,- B.2,-
C.4,- D.4,
解析:选A ∵T=-=,∴T==π,
∴ω=2.
当x=时,2×+φ=,∴φ=-.
6.若函数y=5sin的周期不大于1,则自然数k的最小值为__________.
解析:∵T==,且|T|≤1,即≤1,且k为自然数,∴k≥6π,∴kmin=19.
答案:19
7.已知函数y=2sin(ωx+φ)(ω>0)在一个周期内,当x=时有最大值2,当x=时有最小值-2,则ω=________.
解析:由题意知,T=2×=π,∴ω==2.
答案:2
8.(2018·江苏高考)已知函数y=sin(2x+φ)的图像关于直线x=对称,则φ的值为________.
解析:由题意得f=sin=±1,
∴+φ=kπ+,k∈Z,
∴φ=kπ-,k∈Z.
∵φ∈,
∴φ=-.
答案:-
9.已知函数y=Asin(ωx+φ)(A>0,ω>0)在同一个周期内的图像如图,求该函数的一个解析式.
解:法一:(最值点法)由图像知函数的最大值为,最小值为-,又A>0,∴A=.
由图像知=-=,∴T=π=,∴ω=2.
又=,∴图像上的最高点为,∴=sin,即sin=1,令+φ=+2kπ,k∈Z,得φ=-+2kπ,k∈Z.可取φ=-,
故函数的一个解析式为y=sin.
法二:(五点对应法)由图像知A=,又图像过点,,根据五点作图法原理(以上两点可判断为五点作图法中的第一点与第三点)得
解得
故函数的一个解析式为y=sin.
10.设函数f(x)=sin,x∈R.
(1)求函数f(x)的最小正周期和单调递增区间;
(2)求函数f(x)在区间上的最小值和最大值,并求出取最值时x的值.
解:(1)最小正周期T==π,
由2kπ-≤2x-≤2kπ+(k∈Z),
得kπ-≤x≤kπ+(k∈Z),
∴函数f(x)的单调递增区间是(k∈Z).
(2)令t=2x-,则由≤x≤可得0≤t≤,
∴当t=,即x=时,ymin=×=-1,
∴当t=,即x=时,ymax=×1=.
B级——高考水平高分练
1.函数f(x)=sin+cos的最大值为( )
A. B.1
C. D.
解析:选A cos=cos=sin,则f(x)=sin+sin=sin,函数的最大值为.
2.(多选题)函数f(x)=3sin的图像为C,则以下结论中正确的是( )
A.图像C关于直线x=对称
B.图像C关于点对称
C.函数f(x)在区间内是增函数
D.由y=3sin 2x的图像向右平移个单位长度可以得到图像C
解析:选BC f=3sin=3sin=-,f=3sin=0,故A错,B正确;令-+2kπ≤2x-≤+2kπ,k∈Z,解得-+kπ≤x≤+kπ,k∈Z,故C正确;函数y=3sin 2x的图像向右平移个单位长度,得到函数y=3sin 2=3sin的图像,故D错.
3.已知函数f(x)=2sin(ωx+φ)的部分图像如图所示,则函数f(x)的单调递增区间是__________.
解析:由图像可得T=-,∴T=π,则ω=2.又图像过点,∴2sin=2,∴φ=-,∴f(x)=2sin,其单调递增区间为(k∈Z).
答案:(k∈Z)
4.如图为函数f(x)=Asin(ωx+φ)的一个周期内的图像.
(1)求函数f(x)的解析式;
(2)若g(x)的图像与f(x)的图像关于直线x=2对称,求函数g(x)的解析式及g(x)的最小正周期.
解:(1)由图,知A=2,T=7-(-1)=8,
∴ω===,∴f(x)=2sin.
将点(-1,0)代入,得0=2sin.
∵|φ|<,∴φ=,∴f(x)=2sin.
(2)作出与f(x)的图像关于直线x=2对称的图像(图略),可以看出g(x)的图像相当于将f(x)的图像向右平移2个单位长度得到的,
∴g(x)=2sin=2sin,
∴g(x)的最小正周期为=8.
5.某港口一天内的水深y(米)是时间t(0≤t≤24,单位:时)的函数,下面是水深数据:
t(时) | 0 | 3 | 6 | 9 | 12 | 15 | 18 | 21 | 24 |
y(米) | 10.0 | 13.0 | 9.9 | 7.0 | 10.0 | 13.0 | 10.1 | 7.0 | 10.0 |
据上述数据描成的曲线如图所示,经拟合,该曲线可近似地看成正弦型函数y=Asin ωt+B(A>0,ω>0)的图像.
(1)试根据数据和曲线,求出y=Asin ωt+B的解析式;
(2)一般情况下,船舶航行时船底与海底的距离不小于4.5米是安全的,如果某船的吃水度(船底与水面的距离)为7米,那么该船在什么时间段能够安全进港?若该船欲当天安全离港,它在港内停留的时间最多不能超过多长时间?(忽略离港所用的时间)
解:(1)从拟合的曲线可知,函数y=Asin ωt+B的一个周期为12小时,因此ω==.
又∵ymin=7,ymax=13,
∴A=(ymax-ymin)=3,B=(ymax+ymin)=10.
∴函数的解析式为y=3sin t+10(0≤t≤24).
(2)由题意,水深y≥4.5+7,
即y=3sin t+10≥11.5,t∈,∴sin t≥,
∴t∈,k=0,1,
∴t∈[1,5]或t∈[13,17].
∴该船在1:00至5:00或13:00至17:00能安全进港.
若欲于当天安全离港,则船在港内停留的时间最多不能超过16小时.
人教B版 (2019)必修 第三册7.3.2 正弦型函数的性质与图像精练: 这是一份人教B版 (2019)必修 第三册7.3.2 正弦型函数的性质与图像精练,共6页。试卷主要包含了某同学给出了以下结论等内容,欢迎下载使用。
高中数学人教B版 (2019)必修 第三册第七章 三角函数7.3 三角函数的性质与图像7.3.2 正弦型函数的性质与图像一课一练: 这是一份高中数学人教B版 (2019)必修 第三册第七章 三角函数7.3 三角函数的性质与图像7.3.2 正弦型函数的性质与图像一课一练,共5页。试卷主要包含了在下列函数中同时满足,若tan x≥0,则,函数f=lg )等内容,欢迎下载使用。
高中数学人教B版 (2019)必修 第三册7.3.2 正弦型函数的性质与图像课时作业: 这是一份高中数学人教B版 (2019)必修 第三册7.3.2 正弦型函数的性质与图像课时作业,共5页。

