人教A版 (2019)必修 第一册5.2 三角函数的概念授课ppt课件
展开数学必修 第一册5.5 三角恒等变换课文配套ppt课件: 这是一份数学必修 第一册5.5 三角恒等变换课文配套ppt课件,文件包含人教版九年级上册《数学》专辑参考答案pdf、人教版九年级上册《数学》期末专项复习质量评测卷一元二次方程pdf等2份试卷配套教学资源,其中试卷共10页, 欢迎下载使用。
数学必修 第一册第五章 三角函数5.5 三角恒等变换课前预习课件ppt: 这是一份数学必修 第一册第五章 三角函数5.5 三角恒等变换课前预习课件ppt,共22页。PPT课件主要包含了复习回顾,倍角公式,tanα,-tan2α,巩固练习,课堂练习等内容,欢迎下载使用。
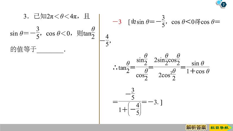
人教A版 (2019)必修 第一册5.5 三角恒等变换图片ppt课件: 这是一份人教A版 (2019)必修 第一册5.5 三角恒等变换图片ppt课件,共22页。PPT课件主要包含了新知初探·课前预习,要点一半角公式❶,-2sin2α,cos2α-1,答案A,题型探究·课堂解透等内容,欢迎下载使用。

