人教A版 (2019)必修 第一册5.5 三角恒等变换多媒体教学课件ppt
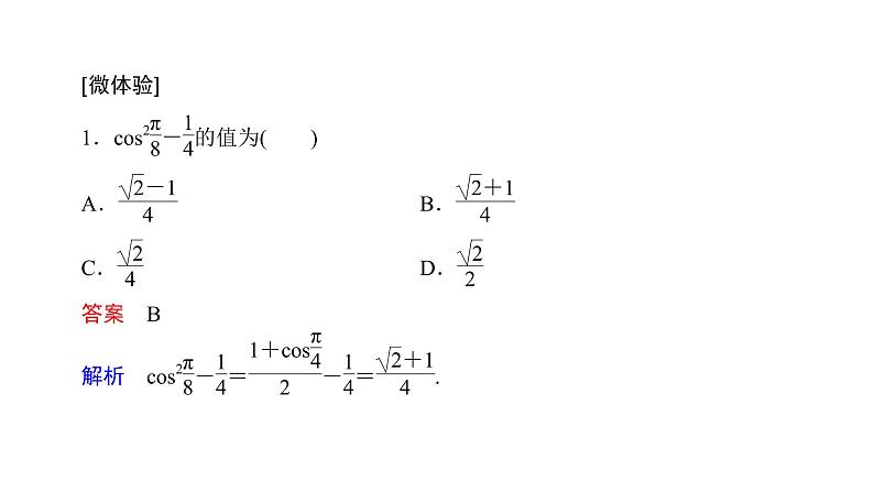
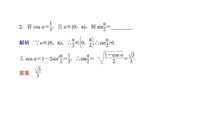
展开知识点1 降幂公式与半角公式
探究一 降幂、半角公式的应用
[方法总结]三角函数式条件求值的一般步骤(1)先化简所求的三角函数式;(2)从角和三角函数名称两方面来寻找已知条件和所求式子之间的联系;(3)明确关系,代入求值.
探究二 辅助角公式的应用
[方法总结](1)为了研究函数的性质,往往要充分利用三角变换公式转化为正弦型(余弦型)函数,这是解决问题的前提.(2)解此类题时要充分运用两角和(差)、二倍角公式、辅助角转换公式消除差异,减少角的种类和函数式的项数,为讨论函数性质提供保障.
数学必修 第一册5.5 三角恒等变换课文配套ppt课件: 这是一份数学必修 第一册5.5 三角恒等变换课文配套ppt课件,文件包含人教版九年级上册《数学》专辑参考答案pdf、人教版九年级上册《数学》期末专项复习质量评测卷一元二次方程pdf等2份试卷配套教学资源,其中试卷共10页, 欢迎下载使用。
数学必修 第一册第五章 三角函数5.5 三角恒等变换课前预习课件ppt: 这是一份数学必修 第一册第五章 三角函数5.5 三角恒等变换课前预习课件ppt,共22页。PPT课件主要包含了复习回顾,倍角公式,tanα,-tan2α,巩固练习,课堂练习等内容,欢迎下载使用。
必修 第一册5.5 三角恒等变换背景图课件ppt: 这是一份必修 第一册5.5 三角恒等变换背景图课件ppt,共12页。PPT课件主要包含了二倍角公式,化简问题中的“三变”,积化和差公式,和差化积公式,万能公式的推导等内容,欢迎下载使用。

