所属成套资源:(人教A版2019必修第一册)高一数学精讲与精练高分突破(附答案)
- (人教A版2019必修第一册)高一数学精讲与精练高分突破系列2.3 二次函数与一元二次方程、不等式(附答案) 试卷 0 次下载
- (人教A版2019必修第一册)高一数学精讲与精练高分突破系列第二章单元必刷卷(培优卷)(全解全析)(附答案) 试卷 0 次下载
- (人教A版2019必修第一册)高一数学精讲与精练高分突破系列第二章单元必刷卷(基础卷)(全解全析)(附答案) 试卷 0 次下载
- (人教A版2019必修第一册)高一数学精讲与精练高分突破系列第二章单元必刷卷(基础卷)(考试版)(附答案) 试卷 0 次下载
- (人教A版2019必修第一册)高一数学精讲与精练高分突破系列3.1 函数的概念及其表示(附答案) 试卷 0 次下载
(人教A版2019必修第一册)高一数学精讲与精练高分突破系列第二章单元必刷卷(培优卷)(考试版)(附答案)
展开
这是一份(人教A版2019必修第一册)高一数学精讲与精练高分突破系列第二章单元必刷卷(培优卷)(考试版)(附答案),共5页。
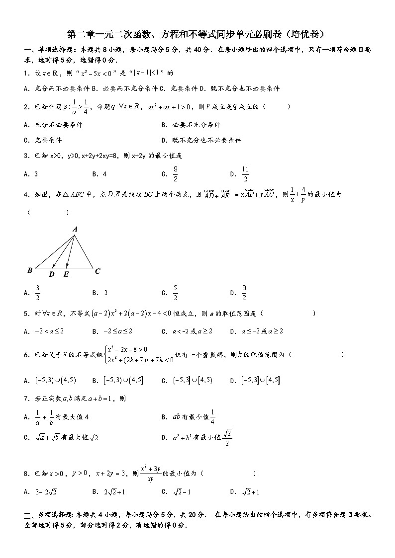
第二章一元二次函数、方程和不等式同步单元必刷卷(培优卷)一、单项选择题:本题共8小题,每小题满分5分,共40分.在每小题给出的四个选项中,只有一项符合题目要求,选对得5分,选错得0分.1.设,则“”是“”的A.充分而不必要条件B.必要而不充分条件C.充要条件D.既不充分也不必要条件2.已知命题,命题,,则成立是成立的( )A.充分不必要条件 B.必要不充分条件C.充要条件 D.既不充分也不必要条件3.已知x>0,y>0,x+2y+2xy=8,则x+2y的最小值是A.3 B.4 C. D.4.如图,在△中,点是线段上两个动点,且 ,则的最小值为( )A. B. C. D.5.对,不等式恒成立,则a的取值范围是( )A. B. C.或 D.或6.已知关于的不等式组仅有一个整数解,则的取值范围为( )A. B. C. D.7.若正实数满足,则A.有最大值4 B.有最小值C.有最大值 D.有最小值8.已知,,,则的最小值为( )A. B. C. D.多项选择题:本题共4小题,每小题满分5分,共20分. 在每小题给出的四个选项中,有多项符合题目要求。全部选对得5分,部分选对得2分,有选错的得0分.9.已知a>0,b>0,且a+b=1,则( )A. B.C. D.10.对于给定的实数,关于实数的一元二次不等式的解集可能为( )A. B. C. D.11.已知集合,,则下列命题中正确的是( )A.若,则 B.若,则C.若,则或 D.若,则12.下列关于基本不等式的说法正确的是( )A.若,则的最大值为B.函数的最小值为2C.已知,,,则的最小值为D.若正数x,y满足,则的最小值是3填空题:本题共4小题,每小题5分,共20分。13.若,则的最小值为____________.14.方程的两个根均大于2,则的取值范围是__________15.设,则的最大值为 ________.16.已知,函数若对任意x∈[–3,+),f(x)≤恒成立,则a的取值范围是__________.四、解答题:本题共6小题,共70分。解答应写出文字说明、证明过程或演算步骤。17.已知命题:“,都有不等式成立”是真命题.(1)求实数的取值集合;(2)设不等式的解集为,若是的充分不必要条件,求实数的取值范围.18.设a,b,cR,a+b+c=0,abc=1.(1)证明:ab+bc+ca

