高中数学湘教版(2019)必修 第一册3.1 函数完整版习题课件ppt
展开限时小练20 简单的分段函数
1.设函数f(x)=则f(f(3))等于( )
A. B.3
C. D.
答案 D
解析 ∵f(3)=,
∴f(f(3))=+1=.
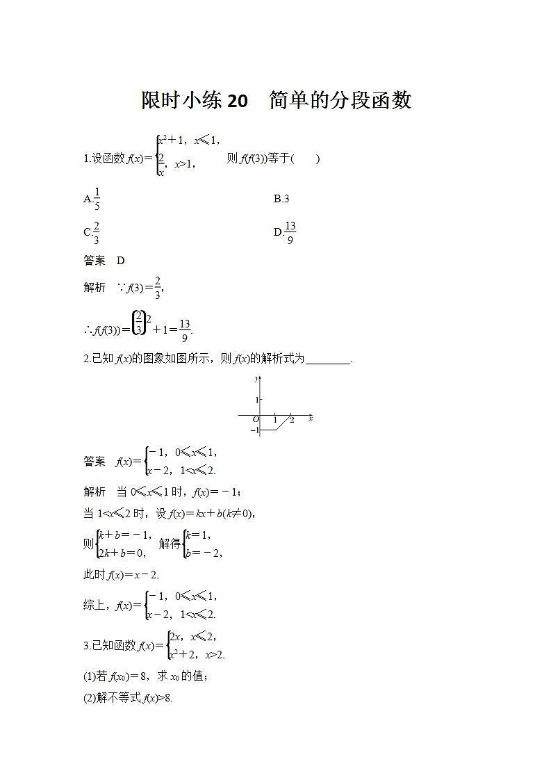
2.已知f(x)的图象如图所示,则f(x)的解析式为________.
答案 f(x)=
解析 当0≤x≤1时,f(x)=-1;
当1<x≤2时,设f(x)=kx+b(k≠0),
则解得
此时f(x)=x-2.
综上,f(x)=
3.已知函数f(x)=
(1)若f(x0)=8,求x0的值;
(2)解不等式f(x)>8.
解 (1)当x0≤2时,由2x0=8,得x0=4,不符合题意;
当x0>2时,由x+2=8,
得x0=或x0=-(舍去).
故x0=.
(2)f(x)>8等价于①
或②
解①,x∈∅;解②得x>.
综合①②,f(x)>8的解集为{x|x>}.
高中数学湘教版(2019)必修 第一册6.2 抽样一等奖习题ppt课件: 这是一份高中数学湘教版(2019)必修 第一册6.2 抽样一等奖习题ppt课件,文件包含限时小练55简单随机抽样pptx、限时小练55简单随机抽样doc等2份课件配套教学资源,其中PPT共0页, 欢迎下载使用。
新湘教版高中数学必修一《限时小练53 三角函数模型的简单应用》PPT课件+习题: 这是一份高中湘教版(2019)本册综合优质习题ppt课件,文件包含限时小练53三角函数模型的简单应用doc、限时小练53三角函数模型的简单应用pptx等2份课件配套教学资源,其中PPT共0页, 欢迎下载使用。
高中数学湘教版(2019)必修 第一册第3章 函数的概念与性质3.1 函数获奖习题课件ppt: 这是一份高中数学湘教版(2019)必修 第一册第3章 函数的概念与性质3.1 函数获奖习题课件ppt,文件包含限时小练38几种函数增长快慢的比较doc、限时小练38几种函数增长快慢的比较pptx等2份课件配套教学资源,其中PPT共0页, 欢迎下载使用。

