资料中包含下列文件,点击文件名可预览资料内容
还剩52页未读,
继续阅读
成套系列资料,整套一键下载
习题课 构造函数问题 课件+学案(含答案)
展开
这是一份习题课 构造函数问题 课件+学案(含答案),文件包含习题课构造函数问题课件pptx、习题课构造函数问题教案docx等2份课件配套教学资源,其中PPT共60页, 欢迎下载使用。
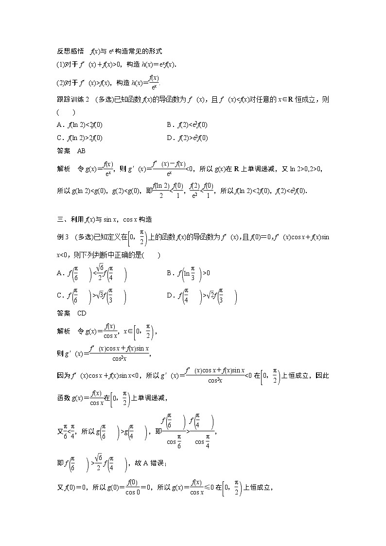
习题课 构造函数问题第二章 导数及其应用1.了解导数中几种常见的构造函数的形式.2.会根据要求通过构造函数解决一些简单的问题.学习目标随堂演练课时对点练一、利用f(x)与x构造二、利用f(x)与ex构造三、利用f(x)与sin x,cos x构造内容索引一、利用f(x)与x构造例1 已知f(x)的定义域为(0,+∞),f′(x)为f(x)的导函数,且满足f(x)<-xf′(x),则不等式f(x+1)>(x-1)f(x2-1)的解集是A.(0,1) B.(2,+∞)C.(1,2) D.(1,+∞)√解析 构造函数y=xf(x),x∈(0,+∞),则y′=f(x)+xf′(x)<0,所以函数y=xf(x)在(0,+∞)上单调递减.又因为f(x+1)>(x-1)f(x2-1),所以(x+1)f(x+1)>(x2-1)f(x2-1),所以x+10,x+1>0,解得x>2或x<-1(舍去),所以不等式f(x+1)>(x-1)f(x2-1)的解集是(2,+∞).延伸探究 把本例中的条件“f(x)<-xf′(x)”换为“f(x)(2x+1)f(x2+1).∵f(x)0,故g(x)在(0,+∞)上单调递增,由(x2+1)f(2x+1)>(2x+1)f(x2+1)得,即g(2x+1)>g(x2+1),即不等式(x2+1)f(2x+1)>(2x+1)f(x2+1)的解集为(0,2).反思感悟 用函数单调性比较大小或解不等式时常构造函数,常见的有(1)对于f′(x)>g′(x),构造h(x)=f(x)-g(x).(2)对于f′(x)+g′(x)>0,构造h(x)=f(x)+g(x).(3)对于f′(x)>a,构造h(x)=f(x)-ax.(4)对于xf′(x)+f(x)>0,构造h(x)=xf(x).(5)对于xf′(x)-f(x)>0,构造h(x)=√二、利用f(x)与ex构造例2 已知f(x)为R上的可导函数,其导函数为f′(x),且对于任意的x∈R,均有f(x)+f′(x)>0,则A.e-2 021f(-2 021)f(0)B.e-2 021f(-2 021)f(0),e2 021f(2 021)>f(0)D.e-2 021f(-2 021)>f(0),e2 021f(2 021)0,所以函数h(x)在R上单调递增,故h(-2 021)h(0),即e2 021f(2 021)>f(0),故选A.延伸探究 把本例中的条件“f(x)+f′(x)>0”换为“f′(x)>f(x)”,比较e2 021f(-2 021)和f(0)的大小.因为对任意的x∈R,都有f′(x)>f(x),所以g′(x)>0,即g(x)在R上单调递增,所以h(-2 021)0,构造h(x)=exf(x).(2)对于f′(x)>f(x),构造h(x)=跟踪训练2 (多选)已知函数f(x)的导函数为f′(x),且f′(x)2f(0) D.f(2)>e2f(0)√√又ln 2>0,2>0,所以f(ln 2)<2f(0),f(2)0,构造函数h(x)=f(x)sin x.(2)对于f′(x)sin x-f(x)cos x>0,构造函数h(x)= .(3)对于f′(x)cos x-f(x)sin x>0,构造函数h(x)=f(x)cos x.(4)对于f′(x)cos x+f(x)sin x>0,构造函数h(x)= .跟踪训练3 已知函数y=f(x-1)的图象关于点(1,0)对称,函数y=f(x)对于任意的x∈(0,π)满足f′(x)sin x>f(x)cos x(其中f′(x)是函数f(x)的导函数),则下列不等式成立的是√解析 由已知,得f(x)为奇函数,由函数y=f(x)对于任意的x∈(0,π)满足f′(x)sin x>f(x)cos x,得f′(x)·sin x-f(x)cos x>0,1.知识清单:(1)几种常见的构造形式.(2)掌握由导函数的结构形式构造原函数.2.方法归纳:构造法.3.常见误区:不能正确构造出符合题意的函数.课堂小结随堂演练解析 设g(x)=xf(x),x∈(0,+∞),则g′(x)=xf′(x)+f(x)≤0,∴g(x)在区间(0,+∞)上单调递减或g(x)为常函数.∵ax-1,得g(x)>0,解得x<2.3.已知函数y=f(x)(x∈R)满足f(2)=1,且f(x)的导函数f′(x)<1,则f(x)>x-1的解集为A.{x|-22} D.{x|x>2}√123412341234解析 ∵f(x)cos x0,1234课时对点练基础巩固1234567891011121314151.已知函数f(x)(x∈R)满足f(1)=1,且f′(x)< ,则f(x)< + 的解集为A.{x|-11} D.{x|x>1}16√2.设函数f′(x)是奇函数f(x)(x∈R)的导函数,f(-1)=0,当x>0时,xf′(x)-f(x)<0,则使得f(x)>0成立的x的取值范围是A.(-∞,-1)∪(0,1) B.(-1,0)∪(1,+∞)C.(-∞,-1)∪(-1,0) D.(0,1)∪(1,+∞)123456789101112131415√16解析 构造函数h(x)= ,因为f(x)为奇函数,所以h(x)为偶函数,又因为h′(x)= ,且当x>0时,xf′(x)-f(x)<0,所以h(x)在(0,+∞)上单调递减,根据对称性知h(x)在(-∞,0)上单调递增,又f(-1)=0,所以f(1)=0,数形结合可知,使得f(x)>0成立的x的取值范围是(-∞,-1)∪(0,1).123456789101112131415163.已知函数f(x)的定义域为R,f′(x)为f(x)的导函数,且f(x)+(x-1)f′(x)>0,则A.f(1)=0 B.f(x)<0C.f(x)>0 D.(x-1)f(x)<012345678910111213141516√解析 令g(x)=(x-1)f(x),则g′(x)=f(x)+(x-1)f′(x)>0,所以g(x)在R上是增函数,又因为g(1)=0,所以当x>1时,g(x)=(x-1)f(x)>0;当x<1时,g(x)=(x-1)f(x)<0,所以当x≠1时,f(x)>0,又f(1)+(1-1)f′(1)=f(1)>0,所以ABD错误,C正确.12345678910111213141516123456789101112131415164.已知定义在R上的函数f(x)满足f(x)<-f′(x),则下列式子成立的是A.f(2 020)>ef(2 021) B.f(2 020)f(2 021) D.ef(2 020)g(2 021),即e2 020f(2 020)>e2 021f(2 021)⇒f(2 020)>ef(2 021).123456789101112131415√16∴f(x)是奇函数,1234567891011121314151612345678910111213141516123456789101112131415166.(多选)已知f(x)为(0,+∞)上的可导函数,且(x+1)·f′(x)>f(x),则下列不等式一定成立的是A.3f(4)<4f(3) B.4f(4)>5f(3)C.3f(3)<4f(2) D.3f(3)>4f(2)√√12345678910111213141516解析 由(x+1)f′(x)>f(x),得(x+1)f′(x)-f(x)>0,∴g(x)在(0,+∞)上单调递增,∴g(2)0,所以g′(x)>0,所以g(x)在(0,π)上单调递增,所以a0,即m(x)在[e,+∞)上单调递增,故m(x)≥m(e)=e-2>0,∴h′(x)>0,所以h(x)= 在[e,+∞)上单调递增,123456789101112131415161234567891011121314151610.已知函数f(x)= x2-2aln x+(a-2)x.(1)当a=1时,求函数f(x)在[1,e]上的最小值和最大值;∴当x∈[1,2)时,f′(x)<0;当x∈(2,e]时,f′(x)>0.∴f(x)在[1,2)上单调递减,在(2,e]上单调递增.∴当x=2时,f(x)取得最小值,其最小值为f(2)=-2ln 2.∴f(e)a恒成立?若存在,求出a的取值范围;若不存在,说明理由.不妨设0f(x1)-ax1.令g(x)=f(x)-ax,则由此可知g(x)在(0,+∞)上单调递增,12345678910111213141516由此可得g′(x)≥0在(0,+∞)上恒成立,123456789101112131415综合运用1611.设f(x),g(x)是定义域为R的恒大于0的可导函数,且f′(x)g(x)-f(x)g′(x)<0,则当af(b)g(b) B.f(x)g(b)>f(b)g(x)C.f(x)g(a)>f(a)g(x) D.f(x)g(x)>f(a)g(a)√12345678910111213141516由f′(x)g(x)-f(x)g′(x)<0,得F′(x)<0,所以F(x)在R上单调递减,又f(x),g(x)是定义域为R的恒大于0的可导函数,故f(x)g(b)>f(b)g(x).解析 令g(x)=e3xf(x),则g′(x)=3e3xf(x)+e3xf′(x),因为3f(x)+f′(x)>0,所以3e3xf(x)+e3xf′(x)>0,所以g′(x)>0,所以函数g(x)=e3xf(x)在R上是增函数,又f(x)>e-3x可化为e3xf(x)>1,且g(0)=e3×0f(0)=1,所以g(x)>g(0),解得x>0,所以不等式f(x)>e-3x的解集是(0,+∞).12.设函数f(x)的定义域为R,f′(x)是其导函数,若3f(x)+f′(x)>0,f(0)=1,则不等式f(x)>e-3x的解集是A.(0,+∞) B.(1,+∞)C.(-∞,0) D.(0,1)√123456789101112131415161234567891011121314151613.函数f(x)的导函数为f′(x),对任意的正数x都有2f(x)>xf′(x)成立,则A.9f(2)>4f(3) B.9f(2)<4f(3)C.9f(2)=4f(3) D.9f(2)与4f(3)的大小不确定√12345678910111213141516解析 由2f(x)>xf′(x),得xf′(x)-2f(x)<0,因为x是正数,所以x3>0,又xf′(x)-2f(x)<0,所以g′(x)<0,所以g(x)在(0,+∞)上单调递减,即9f(2)>4f(3).1234567891011121314151614.已知函数f(x)是定义在R上的奇函数,f(1)=0,当x>0时,有>0,则不等式x2f(x)>0的解集是__________________.(-1,0)∪(1,+∞)12345678910111213141516即g′(x)>0,∴g(x)在(0,+∞)上单调递增.又f(1)=0,∴g(1)=f(1)=0,∴在(0,+∞)上,g(x)>0的解集为(1,+∞),g(x)<0的解集为(0,1).12345678910111213141516∵f(x)为奇函数,∴g(x)为偶函数,∴在(-∞,0)上,g(x)>0的解集为(-∞,-1),g(x)<0的解集为(-1,0).由x2f(x)>0,得f(x)>0(x≠0).又f(x)>0的解集为(-1,0)∪(1,+∞),∴不等式x2f(x)>0的解集为(-1,0)∪(1,+∞).拓广探究1234567891011121314151615.已知函数f(x)的定义域为R,其导函数为f′(x),且3f(x)-f′(x)>0在R上恒成立,则下列不等式一定成立的是A.f(1)e3f(0) D.f(1)>e2f(0)√12345678910111213141516因为3f(x)-f′(x)>0在R上恒成立,所以g′(x)<0在R上恒成立,故g(x)在R上单调递减,16.已知函数f(x)= -ln x(a∈R).(1)讨论f(x)的单调性;1234567891011121314151612345678910111213141516①当a≥0时,f′(x)<0在(0,+∞)上恒成立,故f(x)在(0,+∞)上单调递减.②当a<0时,由f′(x)>0,得0-a.即f(x)在(0,-a)上单调递增,在(-a,+∞)上单调递减,综上,当a≥0时,f(x)在(0,+∞)上单调递减;当a<0时,f(x)在(0,-a)上单调递增,在(-a,+∞)上单调递减.(2)若x1,x2是方程f(x)=2的两个不同实根,证明:x1+x2>12345678910111213141516证明 因为f(x1)=f(x2)=2,即x1ln x1+2x1-a=0,x2ln x2+2x2-a=0.设g(x)=xln x+2x-a,则g′(x)=ln x+3,123456789101112131415161234567891011121314151612345678910111213141516本 课 结 束
习题课 构造函数问题第二章 导数及其应用1.了解导数中几种常见的构造函数的形式.2.会根据要求通过构造函数解决一些简单的问题.学习目标随堂演练课时对点练一、利用f(x)与x构造二、利用f(x)与ex构造三、利用f(x)与sin x,cos x构造内容索引一、利用f(x)与x构造例1 已知f(x)的定义域为(0,+∞),f′(x)为f(x)的导函数,且满足f(x)<-xf′(x),则不等式f(x+1)>(x-1)f(x2-1)的解集是A.(0,1) B.(2,+∞)C.(1,2) D.(1,+∞)√解析 构造函数y=xf(x),x∈(0,+∞),则y′=f(x)+xf′(x)<0,所以函数y=xf(x)在(0,+∞)上单调递减.又因为f(x+1)>(x-1)f(x2-1),所以(x+1)f(x+1)>(x2-1)f(x2-1),所以x+1
相关资料
更多

