2021学年4.5 函数的应用(二)课文内容ppt课件
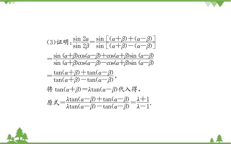
展开人教A版 (2019)必修 第一册5.5 三角恒等变换示范课课件ppt: 这是一份人教A版 (2019)必修 第一册5.5 三角恒等变换示范课课件ppt,共41页。PPT课件主要包含了半角公式,常见的三角恒等变换,课后提能训练等内容,欢迎下载使用。
人教A版 (2019)必修 第一册3.4 函数的应用(一)评课ppt课件: 这是一份人教A版 (2019)必修 第一册3.4 函数的应用(一)评课ppt课件,共60页。
人教A版 (2019)必修 第一册5.3 诱导公式示范课课件ppt: 这是一份人教A版 (2019)必修 第一册5.3 诱导公式示范课课件ppt,共60页。

