- 二次根式全章复习与巩固(基础)巩固练习 试卷 20 次下载
- 二次根式全章复习与巩固(提高)知识讲解 教案 16 次下载
- 勾股定理(基础)知识讲解 教案 12 次下载
- 勾股定理(基础)巩固练习 试卷 18 次下载
- 勾股定理(提高)知识讲解 教案 15 次下载
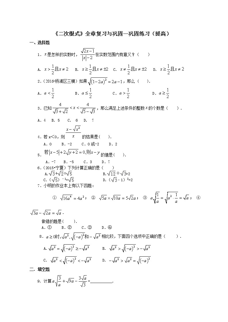
初中数学人教版八年级下册16.1 二次根式当堂达标检测题
展开一、选择题
1.是怎样的实数时,在实数范围内有意义?( )
A. B. C. D.
2.(2016•杨浦区三模)如果,那么 ( ).
A. B. C. D.
3.已知,那么满足上述条件的整数的个数是( ).
A.4 B. 5 C. 6 D. 7
4.若x<0,则的结果是( ).
A.0 B.-2 C.0或-2 D.2
5.的值是( ).
A.-7 B.-5 C.3 D.7
6.(2015•宁夏)下列计算正确的是( )
A.B.=2
C.()﹣1=D.(﹣1)2=2
7.小明的作业本上有以下四题:
①;②;③;④.
做错的题是( ).
A.① B.② C.③ D.④
8.相比较,下面四个选项中正确的是( ).
A. B.
C. D.
二. 填空题
9. 计算=___________.
10. 若的整数部分是a,小数部分是b,则___________.
11.比较大小①______;②___.(用>或<填空)
12. 已知最简根式是同类根式,则的值为___________.
13.若m<0,则=___________.
14.已知实数满足,则=____________.
15.已知数在数轴上的位置如图所示:
则=__________.
16.(2015•黔西南州)已知x=,则x2+x+1= .
三 综合题
17. 计算:
(1)
(2)
18. 已知:,求的值.
19.(2016春•张家港市期末)若都是实数,且,试求的值.
20.(2014秋•德惠市期末)某号台风的中心位于O地,台风中心以25千米/小时的速度向西北方向移动,在半径为240千米的范围内将受影响、城市A在O地正西方向与O地相距320千米处,试问A市是否会遭受此台风的影响?若受影响,将有多少小时?
【答案与解析】
一、选择题
1.【答案】B.
2.【答案】D.
【解析】 ,所以,即.
3.【答案】C.
【解析】由原式得:
所以,因为,,
所以.
4.【答案】D.
5.【答案】D.
【解析】则,即.
6.【答案】B.
【解析】解:与不能合并,所以A选项错误;
B、原式==2,所以B选项正确;
C、原式==,所以C选项错误;
D、原式=3﹣2+1=4﹣2,所以D选项错误.
故选B.
7.【答案】D.
【解析】不是同类根式,不能加减.
8.【答案】A.
【解析】因为,所以,即.
二、填空题
9.【答案】.
10.【答案】1.
【解析】.
11.【答案】① ②
【解析】①.
②
又,
且
12.【答案】.
【解析】因为最简根式是同类根式(注意没说是同类二次根式),
所以根指数与被开方数相同,即即.
13.【答案】-m.
14.【答案】2011.
【解析】因为,所以-2011≥0,即≥2011,
则原式可化简为:
即=2011.
15.【答案】0.
【解析】由图像知:
所以原式=
=
=0.
16.【答案】2.
【解析】解:∵x=,
∴x2+x+1
=(x+)2﹣+1
=(+)2+
=+
=2.
故答案为:2.
三.解答题
17.【解析】 (1) 原式==
==.
(2) 原式
18.【解析】
∴原式.
19.【解析】∵,∴ ,∴
把代入,∴
∴把,代入= .
20.【解析】
解:如图,OA=320,∠AON=45°,
过A点作ON的垂线,垂足为H,以A为圆心,240为半径画弧交直线OH于M、N,
在Rt△OAH中,AH=OAsin45°=160<240,故A市会受影响,
在Rt△AHM中,MH===80
∴MN=160,受影响的时间为:160÷25=6.4小时.
答:A市受影响,受影响时间为6.4小时.
八年级上册13.1.1 轴对称习题: 这是一份八年级上册13.1.1 轴对称习题,共9页。试卷主要包含了 已知A, 【答案】B;等内容,欢迎下载使用。
初中数学人教版七年级上册1.2.1 有理数复习练习题: 这是一份初中数学人教版七年级上册1.2.1 有理数复习练习题,共5页。试卷主要包含了选择题,填空题, 解答题等内容,欢迎下载使用。
16实数全章复习与巩固(提高)巩固练习: 这是一份16实数全章复习与巩固(提高)巩固练习,共6页。试卷主要包含了8的立方根是2等内容,欢迎下载使用。

