数学第四章 指数函数与对数函数本章综合与测试优秀教案设计
展开复习课(四) 指数函数与对数函数
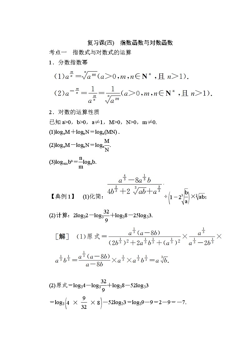
考点一 指数式与对数式的运算
1.分数指数幂
2.对数的运算性质
已知a>0,b>0,a≠1,M>0,N>0,m≠0.
(1)lgaM+lgaN=lga(MN).
(2)lgaM-lgaN=lgaeq \f(M,N).
(3)lgambn=eq \f(n,m)lgab.
【典例1】 (1)化简:÷eq \b\lc\(\rc\)(\a\vs4\al\c1(1-2\r(3,\f(b,a))))×eq \r(3,ab);
(2)计算:2lg32-lg3eq \f(32,9)+lg38-25lg53.
(2)原式=lg34-lg3eq \f(32,9)+lg38-52lg53
=lg3eq \b\lc\(\rc\)(\a\vs4\al\c1(4×\f(9,32)×8))-52lg53=lg39-9=2-9=-7.
指数与对数的运算应遵循的原则
(1)指数式的运算:注意化简顺序,一般负指数先转化成正指数,根式化为分数指数幂运算.另外,若出现分式,则要注意对分子、分母因式分解以达到约分的目的.
(2)对数式的运算:注意公式应用过程中范围的变化,前后要等价,一般本着真数化简的原则进行.
[针对训练]
1.求值:
[解] (1)原式=+eq \b\lc\(\rc\)(\a\vs4\al\c1(\f(3,2)))-2=eq \f(3,2)-1-eq \b\lc\(\rc\)(\a\vs4\al\c1(\f(3,2)))-2+eq \b\lc\(\rc\)(\a\vs4\al\c1(\f(2,3)))2
=eq \f(3,2)-1-eq \f(4,9)+eq \f(4,9)=eq \f(1,2).
(2)原式=-eq \f(1,2)lg52·eq \f(1,2)lg25+lg33-2lg22+2=-eq \f(1,4)+1-2+2=eq \f(3,4).
考点二 指数函数、对数函数的图象
函数的图象以一次函数、反比例函数、二次函数、指数函数、对数函数这些基本初等函数的图象为基础,通过平移、对称得到较为复杂函数的图象,主要涉及单调性、奇偶性和特殊点的研究.
【典例2】 (1)已知函数f(x)=则y=f(x+1)的图象大致是( )
(2)设a,b,c均为正数,且2a=,eq \b\lc\(\rc\)(\a\vs4\al\c1(\f(1,2)))c=lg2c,则( )
A.a
C.c
[解析] (1)
先作出f(x)=
的大致图象,如右图所示,再把f(x)的图象向左平移1个单位长度,可得到y=f(x+1)的图象.
(2)
在同一平面直角坐标系中,画出函数y=2x,y=eq \b\lc\(\rc\)(\a\vs4\al\c1(\f(1,2)))x,y=lg2x,y=的图象,如右图所示,则a,b,c分别为两个图象交点的横坐标,根据图象可知a
[答案] (1)B (2)A
指数函数、对数函数图象的应用要点
(1)识别函数的图象从以下几个方面入手:
①单调性,函数图象的变化趋势;
②奇偶性,函数图象的对称性;
③特殊点对应的函数值.
(2)图象平移遵循“左加右减、上加下减”的原则,是自变量x的加减及函数值的加减.
(3)已知不能解出的方程或不等式的解求参数的范围常用数形结合的思想解决.
[针对训练]
2.函数f(x)=lg2|2x-4|的图象为( )
[解析] 函数f(x)=lg2|2x-4|的图象可看作将f(x)=lg2|2x|的图象向右平移2个单位长度得到的.
[答案] A
3.如图,函数f(x)的图象为折线ACB,则不等式f(x)≥lg2(x+1)的解集是( )
A.{x|-1
B.{x|-1≤x≤1}
C.{x|-1
D.{x|-1
[解析] 在同一坐标系中作出函数y=f(x)与y=lg2(x+1)的图象,如图所示.
由图可知,不等式的解集为{x|-1
[答案] C
考点三 指数函数、对数函数的性质
函数的图象是研究函数性质的前提和基础,它较形象直观地反映了函数的一切性质.教材对指数函数、对数函数的性质的研究也正好体现了由图象到性质,由具体到抽象的过程,突出了函数图象在研究相应函数性质时的作用.
【典例3】 (1)设f(x)=eq \b\lc\(\rc\)(\a\vs4\al\c1(\f(1,2)))|x|,x∈R,那么f(x)是( )
A.奇函数且在(0,+∞)上是增函数
B.偶函数且在(0,+∞)上是增函数
C.奇函数且在(0,+∞)上是减函数
D.偶函数且在(0,+∞)上是减函数
(2)设f(x)=lga(1+x)+lga(3-x)(a>0,且a≠1),且f(1)=2.
①求a的值及f(x)的定义域;
②求f(x)的区间eq \b\lc\[\rc\](\a\vs4\al\c1(0,\f(3,2)))上的最大值.
[解析] (1)∵f(-x)=eq \b\lc\(\rc\)(\a\vs4\al\c1(\f(1,2)))|-x|=eq \b\lc\(\rc\)(\a\vs4\al\c1(\f(1,2)))|x|=f(x),
∴f(x)是偶函数.∵x>0,
∴f(x)=eq \b\lc\(\rc\)(\a\vs4\al\c1(\f(1,2)))x在(0,+∞)上是减函数,故选D.
(2)①∵f(1)=2,∴lga(1+1)+lga(3-1)=lga4=2,解得a=2(a>0,a≠1),由eq \b\lc\{\rc\ (\a\vs4\al\c1(1+x>0,3-x>0,))得x∈(-1,3).
∴函数f(x)的定义域为(-1,3).
②f(x)=lg2(1+x)+lg2(3-x)=lg2(1+x)(3-x)=lg2[-(x-1)2+4],
∴当x∈[0,1]时,f(x)是增函数;
当x∈eq \b\lc\[\rc\](\a\vs4\al\c1(1,\f(3,2)))时,f(x)是减函数.
所以函数f(x)在eq \b\lc\[\rc\](\a\vs4\al\c1(0,\f(3,2)))上的最大值是f(1)=lg24=2.
[答案] (1)D (2)①2,(-1,3) ②2
指数函数、对数函数性质的应用要点
解决此类问题要熟练掌握指数函数、对数函数的图象和性质.方程、不等式的求解可利用单调性进行转化,对含参数的问题进行分类讨论,同时还要注意变量本身的取值范围,以免出现增根;比较大小问题可直接利用单调性和中间值解决.
[针对训练]
( )
A.a
C.c
[解析] 故有a
[答案] A
5.设函数f(x)=a+eq \f(2,2x+1)(a∈R).
(1)若函数f(x)为奇函数,求实数a的值;
(2)用定义法判断函数f(x)的单调性;
(3)若当x∈[-1,5]时,f(x)≤0恒成立,求实数a的取值范围.
[解] (1)若函数f(x)为奇函数,
∵x∈R,∴f(0)=a+1=0,得a=-1,
验证:当a=-1时,f(x)=-1+eq \f(2,2x+1)=eq \f(1-2x,1+2x),显然该函数为奇函数,∴a=-1.
(2)任取x1,x2∈(-∞,+∞),且x1
则f(x1)-f(x2)=eq \f(2,2x1+1)-eq \f(2,2x2+1)=eq \f(2x2+1-2x1+1,2x1+12x2+1),
由x1
∴2x1+1<2x2+1,2x2+1-2x1+1>0.
故f(x1)-f(x2)>0,即f(x1)>f(x2),
∴f(x)在(-∞,+∞)上是减函数.
(3)当x∈[-1,5]时,
∵f(x)为减函数,∴fmax(x)=f(-1)=eq \f(4,3)+a,
若f(x)≤0恒成立,则满足fmax(x)=eq \f(4,3)+a≤0,得a≤-eq \f(4,3).∴a的取值范围为eq \b\lc\(\rc\](\a\vs4\al\c1(-∞,-\f(4,3))).
考点四 函数的零点与方程的解
根据函数零点的定义,函数y=f(x)的零点就是方程f(x)=0的解,判断一个方程是否有零点,有几个零点,就是判断方程f(x)=0是否有解,有几个解.从图形上说,函数的零点就是函数y=f(x)的图象与x轴的交点的横坐标,函数零点、方程的解、函数图象与x轴交点的横坐标三者之间有着内在的本质联系,利用它们之间的关系,可以解决很多函数、方程与不等式的问题.
【典例4】 (1)已知函数f(x)=eq \f(6,x)-lg2x,在下列区间中,包含f(x)零点的区间是( )
A.(0,1)B.(1,2)
C.(2,4)D.(4,+∞)
(2)已知函数f(x)=eq \b\lc\{\rc\ (\a\vs4\al\c1(|x|,x≤m,,x2-2mx+4m,x>m,))其中m>0.若存在实数b,使得关于x的方程f(x)=b有三个不同的实数解,则m的取值范围是________.
[解析] (1)由题意知,函数f(x)在(0,+∞)上为减函数,又f(1)=6-0=6>0,f(2)=3-1=2>0,f(4)=eq \f(6,4)-lg24=eq \f(3,2)-2=-eq \f(1,2)<0,由零点存在性定理,可知函数f(x)在区间(2,4)上必存在零点.故选C.
(2)f(x)=eq \b\lc\{\rc\ (\a\vs4\al\c1(|x|,x≤m,,x2-2mx+4m,x>m,))当x>m时,f(x)=x2-2mx+4m=(x-m)2+4m-m2,其顶点为(m,4m-m2);当x≤m时,函数f(x)的图象与直线x=m的交点为Q(m,m).
①当eq \b\lc\{\rc\ (\a\vs4\al\c1(m>0,,4m-m2≥m,))即0
②当eq \b\lc\{\rc\ (\a\vs4\al\c1(4m-m2
综上,m的取值范围为(3,+∞).
[答案] (1)C (2)(3,+∞)
确定函数零点的方法
(1)求方程f(x)=0的解.
(2)利用图象找y=f(x)的图象与x轴的交点或转化成两个函数图象的交点问题.
(3)利用f(a)·f(b)与0的关系进行判断.
[针对训练]
6.已知a是函数f(x)=2x-的零点,若0
A.f(x0)=0B.f(x0)>0
C.f(x0)<0D.f(x0)的符号不确定
[解析] y=2x与y=的图象如图所示,显然两个图象的交点的横坐标为a,于是在(0,a)区间上,y=2x的图象在y=的图象的下方,从而2x0<,即f(x0)=2x0-<0.
[答案] C
7.若关于x的方程x2+mx+m-1=0有一正实根和一负实根,且负实根的绝对值较大,则实数m的取值范围是________.
[解析] 令f(x)=x2+mx+m-1,其图象的对称轴方程为x=-eq \f(m,2).
∵方程x2+mx+m-1=0有一正实根和一负实根,且负实根的绝对值较大,
∴函数f(x)=x2+mx+m-1有两个零点,且两零点的和小于0,
画出函数的大致图象,如图所示,∴eq \b\lc\{\rc\ (\a\vs4\al\c1(f0<0,,-\f(m,2)<0,))解得0
故实数m的取值范围是0
[答案] (0,1)
人教A版 (2019)必修 第一册4.1 指数优秀第1课时教学设计: 这是一份人教A版 (2019)必修 第一册4.1 指数优秀第1课时教学设计,共10页。
高中数学人教A版 (2019)必修 第一册4.4 对数函数精品第2课时2课时教学设计: 这是一份高中数学人教A版 (2019)必修 第一册4.4 对数函数精品第2课时2课时教学设计,共16页。
人教A版 (2019)必修 第一册4.3 对数获奖教案: 这是一份人教A版 (2019)必修 第一册4.3 对数获奖教案,共15页。

