所属成套资源:2024沪科版2025-2026学年七年级数学上册课件
1.4.2有理数加法的运算律(课件)2024沪科版2025-2026学年七年级数学上册课件
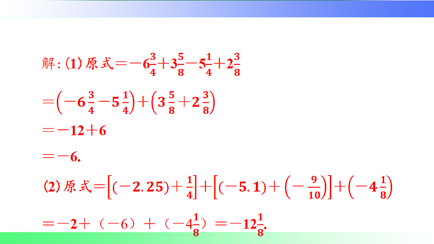
展开幻灯片 1:封面标题:1.4.1 有理数的加法背景图:展示一幅包含正负数元素的温度计图片,温度刻度有正有负,旁边有表示海拔高度的标注,部分在海平面之上为正数,部分在海平面之下为负数,还有数轴上表示正负数移动的动态箭头示意,暗示有理数的加法运算涉及不同方向的数值变化。幻灯片 2:目录有理数加法的生活引入有理数加法法则(分情况)有理数加法运算律(交换律与结合律)运算律的应用技巧典型例题解析课堂练习巩固课堂小结与作业布置幻灯片 3:有理数加法的生活引入足球比赛得分情境:在足球比赛中,规定赢球为 “正”,输球为 “负”,打平为 “0”。若上半场赢了 3 球,下半场赢了 2 球,那么全场共赢了 5 球,用算式表示为 (+3)+(+2)=+5;若上半场输了 2 球,下半场输了 1 球,全场共输了 3 球,算式为 (-2)+(-1)=-3。海拔高度变化情境:一登山队从海拔 100 米处出发,向上攀登了 200 米,此时海拔变为 300 米,即 (+100)+(+200)=+300;若从海拔 - 50 米(低于海平面 50 米)处向下又下降了 30 米,此时海拔为 - 80 米,算式是 (-50)+(-30)=-80。问题提出:从这些生活实例中,我们看到有理数的加法运算频繁出现。那么,对于任意给定的两个有理数,如何准确地进行加法运算呢?有理数加法运算有没有通用的法则和规律呢?幻灯片 4:有理数加法法则(分情况)同号两数相加:法则:取相同的符号,并把绝对值相加。示例:计算 (+5)+(+3),因为两个加数都是正数(同号),所以取正号,然后把它们的绝对值 5 和 3 相加,即 |+5|+|+3| = 5 + 3 = 8,所以 (+5)+(+3)=+8;再如计算 (-4)+(-2),两个加数都是负数(同号),取负号,绝对值相加 | -4 |+| -2 | = 4 + 2 = 6,所以 (-4)+(-2)=-6。异号两数相加:绝对值相等时:法则:和为零。示例:计算 (+3)+(-3),因为两个数绝对值相等,都是 3,根据法则,它们的和为 0,即 (+3)+(-3)=0。绝对值不等时:法则:取绝对值较大的加数的符号,并用较大的绝对值减去较小的绝对值。示例:计算 (+5)+(-2),|+5| = 5,| -2 | = 2,5 > 2,所以取 + 5 的符号正号,然后用较大的绝对值 5 减去较小的绝对值 2,即 (+5)+(-2)=+(5 - 2)=+3;又如计算 (-7)+(+4),| -7 | = 7,|+4| = 4,7 > 4,取 - 7 的符号负号,用较大的绝对值 7 减去较小的绝对值 4,所以 (-7)+(+4)=-(7 - 4)=-3。一个数与 0 相加:法则:仍得这个数。示例:计算 (+6)+0,结果就是 + 6;计算 (-8)+0,结果为 - 8。幻灯片 5:有理数加法运算律(交换律与结合律)加法交换律:文字表述:两个数相加,交换加数的位置,和不变。符号表示:a + b = b + a。示例:计算 3 + (-5) 与 (-5)+3,3 + (-5)=3 - 5 = -2,(-5)+3=-5 + 3 = -2,结果相同,验证了交换律。加法结合律:文字表述:三个数相加,先把前两个数相加,或者先把后两个数相加,和不变。符号表示:(a + b)+c = a+(b + c)。示例:计算 (2 + 3)+(-4) 与 2+(3 + (-4)),(2 + 3)+(-4)=5 + (-4)=5 - 4 = 1,2+(3 + (-4))=2+(3 - 4)=2 - 1 = 1,结果一致,体现了结合律。幻灯片 6:运算律的应用技巧相反数结合法:互为相反数的两个数先相加。例如计算 (-5)+8+(+5),可先将 (-5) 与 (+5) 结合,(-5)+(+5)=0,再加上 8,结果为 8,即 (-5)+8+(+5)=[(-5)+(+5)]+8 = 0 + 8 = 8。同号结合法:符号相同的数先相加。如计算 (-3)+(-2)+5+(+4),把负数 (-3) 与 (-2) 结合,正数 5 与 (+4) 结合,[(-3)+(-2)]+(5 + 4)=(-5)+9 = 4。同形结合法:整数与整数、小数与小数、分母相同的数先相加。计算 1.2 + 3.5+(-2)+(-0.5),整数 1.2 与 (-2) 结合,小数 3.5 与 (-0.5) 结合,(1.2+( -2))+(3.5+( -0.5))=(1.2 - 2)+(3.5 - 0.5)= -0.8 + 3 = 2.2;计算 < inline_LaTeX_Formula>\frac {1}{3}+\frac {2}{5}+(-\frac {1}{3})+\frac {3}{5},分母相同的 < inline_LaTeX_Formula>\frac {1}{3} 与 < inline_LaTeX_Formula>-\frac {1}{3} 结合,\frac {2}{5} 与 < inline_LaTeX_Formula>\frac {3}{5} 结合,[(\frac {1}{3})+(-\frac {1}{3})]+(\frac {2}{5}+\frac {3}{5})=0 + 1 = 1。拆项结合法:带分数相加时,可先拆成整数与真分数的和,再分别相加。计算 2\frac {1}{3}+(-1\frac {1}{2})+3\frac {2}{3}+(-2\frac {1}{2}),将带分数拆项,(2+\frac {1}{3})+(-1-\frac {1}{2})+(3+\frac {2}{3})+(-2-\frac {1}{2}),然后整数部分 (2 - 1 + 3 - 2) 与分数部分 < inline_LaTeX_Formula>(\frac {1}{3}-\frac {1}{2}+\frac {2}{3}-\frac {1}{2}) 分别相加,整数部分结果为 2,分数部分通分计算 < inline_LaTeX_Formula>[(\frac {1}{3}+\frac {2}{3})+(-\frac {1}{2}-\frac {1}{2})]=1 - 1 = 0,最终结果为 2 + 0 = 2。幻灯片 7:典型例题解析例 1:计算 (-4)+(+7)。解答:这是异号两数相加,|-4| = 4,|+7| = 7,7 > 4,取 + 7 的符号正号,用较大的绝对值 7 减去较小的绝对值 4,所以 (-4)+(+7)=+(7 - 4)=+3。例 2:计算 \frac {3}{4}+(-\frac {1}{2})。解答:先通分,-\frac {1}{2}=-\frac {2}{4},此时是异号两数相加,|\frac {3}{4}|=\frac {3}{4},|-\frac {2}{4}|=\frac {2}{4},\frac {3}{4}>\frac {2}{4},取 < inline_LaTeX_Formula>\frac {3}{4} 的符号正号,用较大的绝对值 < inline_LaTeX_Formula>\frac {3}{4} 减去较小的绝对值 < inline_LaTeX_Formula>\frac {2}{4},所以 < inline_LaTeX_Formula>\frac {3}{4}+(-\frac {1}{2})=\frac {3}{4}-\frac {2}{4}=\frac {1}{4}。例 3:计算 (-3)+5+(+2)+(-4)。解答:利用加法结合律,将同号的数结合,[(-3)+(-4)]+(5 + 2)=(-7)+7 = 0。幻灯片 8:课堂练习巩固练习 1:计算 (+6)+(-9)。练习 2:计算 -\frac {2}{3}+(-\frac {1}{3})。练习 3:计算 1.5+(-2.5)+3。练习 4:计算 (-5)+3+(+5)+(-2),并说明运用了什么运算律使计算简便。幻灯片 9:课堂小结知识点总结:有理数加法法则:同号两数相加,取相同符号并把绝对值相加;异号两数相加,绝对值相等和为 0,不等时取绝对值大的加数符号并用大绝对值减小绝对值;一个数与 0 相加仍得这个数。有理数加法运算律:交换律 a + b = b + a,结合律 (a + b)+c = a+(b + c)。运算律应用技巧:相反数结合法、同号结合法、同形结合法、拆项结合法。方法总结:进行有理数加法运算时,先判断两个加数的符号情况,再依据加法法则确定和的符号与绝对值。对于多个有理数相加,观察数的特点,合理运用运算律及应用技巧,能简化计算过程。幻灯片 10:作业布置书面作业:教材课后习题第 X 页第 X 题、第 X 题、第 X 题。拓展作业:已知 a = -3,b = 5,c = -2,计算 (a + b)+c 与 a+(b + c),验证加法结合律。某仓库第一天运进货物 5 吨,第二天运出 3 吨,第三天又运进 2 吨,第四天运出 4 吨,若运进记为正,运出记为负,计算这四天仓库货物的总变化量,并用有理数加法运算律简便计算。若 | x| = 2,|y| = 3,求 x + y 的值(分情况讨论)。2025-2026学年沪科版数学七年级上册授课教师: . 班 级: . 时 间: . 1.回顾加法交换律与结合律,了解非负数的加法运算律同样适用于有理数的加法.2.能用有理数加法的运算律解决相关实际问题.◎难点:正确运用加法运算律. 巧用运算律简便计算 方法归纳交流 对于代数和的形式在使用运算律时,互为 相反数 的两数先结合,能凑成 整数 的各数先结合,另外, 同号 的各数先结合; 同分母或易通分 的各数先结合. 相反数整数同号同分母或易通分 加法运算律1.根据运算步骤,在每步后面的横线上填写运算的根据: 加法交换律 加法交换律加法结合律2.计算: 1. 有理数加法的交换律:两个数相加,交换加数的位置,和不变,其数学表达式是 a + b = b + a .2. 有理数加法的结合律:三个数相加,先把前两个数相加,或者先把后两个数相加,和不变,其数学表达式是( a + b )+ c = a +( b + c ). 返回知识点1 加法的运算律1. [荣德原创题]在下面的横线上填上适当的运算律.(1) (-21)+15+(+21)=15+(-21)+(+21) =15+[(-21)+(+21)] 加法交换律 加法结合律 (2) (-10.3)+6.2+(-2.7)+2.8=(-10.3)+(-2.7)+6.2+2.8 =[(-10.3)+(-2.7)]+(6.2+2.8) 加法交换律 加法结合律 返回 【点拨】观察所给式子可知,第一步运用了加法交换律,第二步运用了加法结合律.C【答案】 返回 【点拨】 C 返回 B【点拨】把分母相同的凑在一起计算最为恰当. 返回5. [母题 教材P24练习T1]计算:(1)(-2.6)+(-3.4)+(+2.3)+1.5+(-2.3);=-6+1.5+0=-4.5.【解】原式= [(-2.6)+(-3.4)] +1.5+ [(+2.3)+ (-2.3)] =-6+1.5+0=-4.5. 返回 ==[(-2 023)+(-2 024)+4 048]+ 返回必做作业:从教材习题中选取;选做作业:完成练习册本课时的习题.谢谢观看!
- 1.电子资料成功下载后不支持退换,如发现资料有内容错误问题请联系客服,如若属实,我们会补偿您的损失
- 2.压缩包下载后请先用软件解压,再使用对应软件打开;软件版本较低时请及时更新
- 3.资料下载成功后可在60天以内免费重复下载
免费领取教师福利

