




所属成套资源:2025西南师大附中高中数学必修第一册考点集训
- 5.2.2 同角三角函数的基本关系 高分必刷常考题型专练-2023-2024学年高一上学期数学人教A版(2019)必修第一册试卷0 次下载
- 5.3诱导公式题型专练-2023-2024学年高一上学期数学人教A版(2019)必修第一册试卷0 次下载
- 5.5.2简单的三角恒等变换-2023-2024学年高一数学高分必刷常考题型专练(人教A版2019必修第一册)试卷0 次下载
- 5.7三角函数的应用-2023-2024学年高一数学高分必刷常考题型专练(人教A版2019必修第一册)试卷0 次下载
- 第五章 三角函数基础检测卷-2023-2024学年高一数学高分必刷常考题型专练(人教A版2019必修第一册)试卷0 次下载
数学必修 第一册两角和与差的正弦、余弦和正切当堂达标检测题
展开 这是一份数学必修 第一册两角和与差的正弦、余弦和正切当堂达标检测题,文件包含551两角和与差的正弦余弦和正切公式-2023-2024学年高一数学高分必刷常考题型专练人教A版2019必修第一册原卷版docx、551两角和与差的正弦余弦和正切公式-2023-2024学年高一数学高分必刷常考题型专练人教A版2019必修第一册解析版docx等2份试卷配套教学资源,其中试卷共20页, 欢迎下载使用。
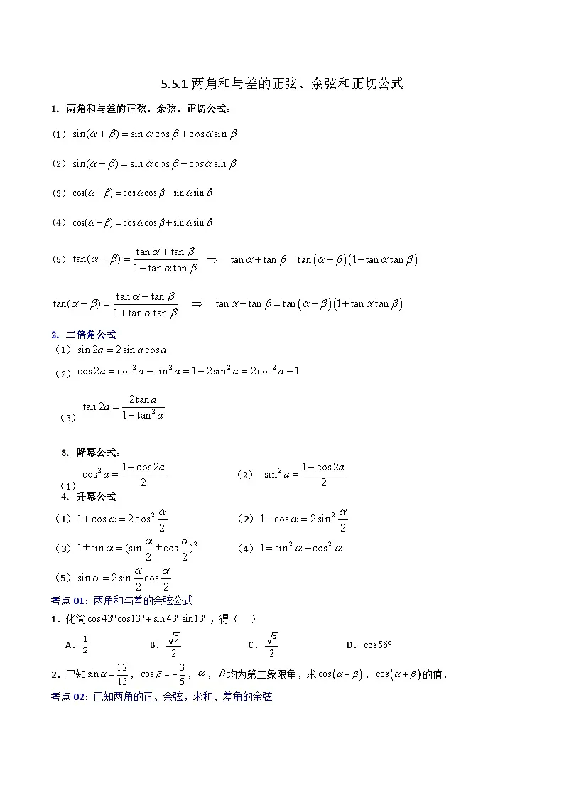
二倍角公式
(2)
(3)
3. 降幂公式:
(2)
4. 升幂公式
(2)
(4)
考点01:两角和与差的余弦公式
1.化简,得( )
A.B.C.D.
2.已知,,,均为第二象限角,求,的值.
考点02:已知两角的正、余弦,求和、差角的余弦
3.已知,,( )
A.B.C.D.
4.在中,若,,则等于( )
A.B.C.D.
考点03:求15°等特殊角的余弦
5.计算( )
A.B.C.D.
6.的值是( )
A.B.C.D.
考点04:用和、差角的余弦公式化简、求值
7.求值: .
8.化简: .
考点05:逆用和、差角的余弦公式化简、求值
9.化简的结果为 .
10.求下列各式的值:
(1);
(2).
考点06:两角和与差的正弦公式
11.已知角的终边过点,则( )
A.B.C.D.
12.若且,则的值为( )
A.B.C.D.
考点07:已知两角的正、余弦,求和、差角的正弦
13.已知,,则( )
A.B.C.D.
14.已知,则( )
A.B.C.D.
考点08:求15°等特殊角的正弦
15.的值是( )
A.B.C.D.
16.计算下列三角比的值.
; .
考点09:用和、差角的正弦公式化简、求值
17. 的值等于( )
A.B.1C.0D.
18.若,则 .
考点10:逆用和、差角的正弦公式化简、求值
19.函数的周期是( )
A.B.C.D.
20.求下列各式的值:
(1);
(2).
考点11:两角和与差的正切公式
21.的值是( )
A.B.C.D.
22.若,则的值为( ).
A.B.C.D.
考点12:已知两角的正、余弦,求和、差角的正切
23.若且,则 .
24.若,,则( )
A.B.C.D.
考点13:求15°等特殊角的正切
25.( )
A.B.C.D.
26.的值为( )
A.B.C.1D.
考点14:用和、差角的正切公式化简、求值
27.若,则 .
28.(1)已知,求的值;
(2)求的值.
考点15:逆用正切公式化简、求值
29.(多选)下列四个式子中,计算正确的是( )
A.B.
C.D.
30.(多选)下列四个三角关系式中正确的是( )
A.B.
C.D.
考点16:二倍角的正弦公式
31.已知,则( )
A.B.C.D.
32.当时,化简的结果是( )
A.B.C.D.
33. .
34.已知,求.
考点17:二倍角的余弦公式
35.若,则( )
A.B.C.D.
36.化简的结果是( )
A.B.
C.D.
37.已知,则( )
A.B.C.D.
38.下列各式中,值为的是( )
A.B.
C.D.
39.若,则( )
A.B.C.D.
40.已知函数,则( )
A.在上单调递减B.在上单调递减
C.在上单调递减D.在上单调递减
考点18:二倍角的正切公式
41.已知,则( ).
A.B.C.D.
42.化简: .
相关试卷 更多
- 1.电子资料成功下载后不支持退换,如发现资料有内容错误问题请联系客服,如若属实,我们会补偿您的损失
- 2.压缩包下载后请先用软件解压,再使用对应软件打开;软件版本较低时请及时更新
- 3.资料下载成功后可在60天以内免费重复下载
免费领取教师福利 


.png)




