人教A版 (2019)必修 第二册7.3* 复数的三角表示课前预习ppt课件
展开我们知道,复数可以进行加、减、乘、除运算,请回忆一下,复数代数形式的加、减、乘、除是什么?
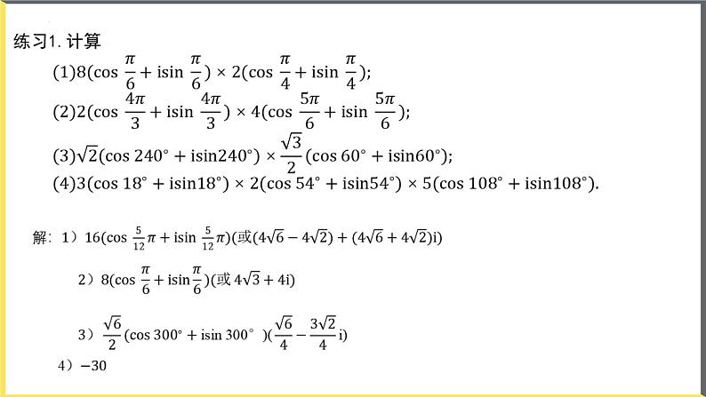
两个复数相乘,积的模等于各复数的模的积,积的辐角等于各复数的辐角的和.
探究1:由复数乘法运算的三角表示,你能得到复数乘法的几何意义吗?
探究2:复数的除法运算是乘法运算的逆运算.根据复数乘法运算的三角表示,你能得出复数除法运算的三角表示吗?
两个复数相除,商的模等于被除数的模除以除数的模所得的商,商的辐角等于被除数的辐角减去除数的辐角所得的差.
探究3:类比复数乘法的几何意义,由复数除法运算的三角表示,你能得出复数除法的几何意义吗?
人教A版 (2019)必修 第二册7.3* 复数的三角表示示范课ppt课件: 这是一份人教A版 (2019)必修 第二册<a href="/sx/tb_c4000298_t3/?tag_id=26" target="_blank">7.3* 复数的三角表示示范课ppt课件</a>,共24页。PPT课件主要包含了概念探究,概念形成,概念深化,定理的推广设,应用举例,例1计算,课堂练习,则复数,故本题应选B,归纳小结等内容,欢迎下载使用。
人教A版 (2019)必修 第二册第七章 复数7.3* 复数的三角表示图文课件ppt: 这是一份人教A版 (2019)必修 第二册第七章 复数7.3* 复数的三角表示图文课件ppt,共18页。PPT课件主要包含了导入新课,精彩课堂,课堂练习,课堂总结等内容,欢迎下载使用。
高中数学7.3* 复数的三角表示公开课ppt课件: 这是一份高中数学7.3* 复数的三角表示公开课ppt课件,共16页。PPT课件主要包含了PART01,典例剖析,反思感悟等内容,欢迎下载使用。

