高中数学人教B版 (2019)必修 第三册8.2.3 倍角公式教课课件ppt
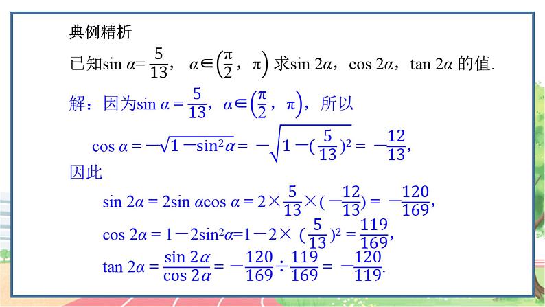
展开你能根据前面学过的内容,写出由 α 的三角函数值求出 sin 2α,cs 2α ,tan 2α的一般公式吗?
如果在两角和的正弦公式 Sα+β 中,令β = α,则可得出求 sin 2α 的公式,即sin 2α =sin(α+α)=sin αcs α+cs αsin α =2sin αcs α.
需要注意的是,因为sin2α+cs2α =1,所以 C2α 也可改写为
求函数 y = 2cs2x+sin 2x-1的周期和最大值.
高中数学人教B版 (2019)必修 第三册7.2.4 诱导公式说课ppt课件: 这是一份高中数学人教B版 (2019)必修 第三册<a href="/sx/tb_c4000189_t3/?tag_id=26" target="_blank">7.2.4 诱导公式说课ppt课件</a>,共27页。PPT课件主要包含了尝试与发现,sin26°,求下列各值,tan45°1,-sin26°,这是因为,类似地我们还可得到,完成课后相关练习等内容,欢迎下载使用。
高中数学人教B版 (2019)必修 第三册8.2.3 倍角公式优秀课件ppt: 这是一份高中数学人教B版 (2019)必修 第三册8.2.3 倍角公式优秀课件ppt,文件包含人教B版高中数学必修三8.23倍角公式课件pptx、人教B版高中数学必修三8.23倍角公式同步练习含答案docx等2份课件配套教学资源,其中PPT共41页, 欢迎下载使用。
人教B版 (2019)必修 第三册第八章 向量的数量积与三角恒等变换8.2 三角恒等变换8.2.3 倍角公式优质课件ppt: 这是一份人教B版 (2019)必修 第三册第八章 向量的数量积与三角恒等变换8.2 三角恒等变换8.2.3 倍角公式优质课件ppt,共54页。PPT课件主要包含了点击右图进入等内容,欢迎下载使用。

