还剩2页未读,
继续阅读
所属成套资源:人教版八年级数学 分式导学案合集
成套系列资料,整套一键下载
人教版初二数学15.2.2 分式的混合运算·体验中考 NO.12 导学案
展开
这是一份人教版初二数学15.2.2 分式的混合运算·体验中考 NO.12 导学案,共3页。
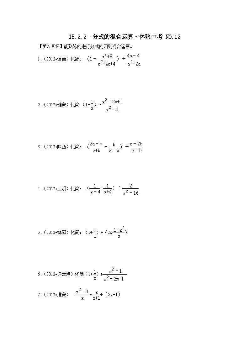
15.2.2 分式的混合运算·体验中考 NO.12【学习目标】能熟练的进行分式的四则混合运算。1.(2012•烟台)化简:2.(2012•雅安)化简 3.(2012•陕西)化简: 4.(2012•三明)化简:5.(2012•绵阳)化简:(1+)+(2x﹣) 6.(2012•连云港)化简(1+)÷7.(2012•淮安) 8.(2011•资阳)化简: 9.(2011•玉溪)化简:()•(x2﹣9)10.(2011•扬州)计算: 11.(2010•南通) ÷(1﹣)12.(2010•新疆)计算:13.(2010•常德)化简:14.(2012•遵义)化简分式,并从-1≤x≤3中选一个你认为合适的整数x代入求值.15.(2012•东营)先化简,再求代数式的值,其中x是不等式组的整数解.16.(2012•钦州)如果把的x与y都扩大10倍,那么这个代数式的值( )A.不变 B.扩大50倍 C.扩大10倍 D.缩小到原来的17.(2012•南京)化简代数式,并判断当x满足不等式组时该代数式的符号.
15.2.2 分式的混合运算·体验中考 NO.12【学习目标】能熟练的进行分式的四则混合运算。1.(2012•烟台)化简:2.(2012•雅安)化简 3.(2012•陕西)化简: 4.(2012•三明)化简:5.(2012•绵阳)化简:(1+)+(2x﹣) 6.(2012•连云港)化简(1+)÷7.(2012•淮安) 8.(2011•资阳)化简: 9.(2011•玉溪)化简:()•(x2﹣9)10.(2011•扬州)计算: 11.(2010•南通) ÷(1﹣)12.(2010•新疆)计算:13.(2010•常德)化简:14.(2012•遵义)化简分式,并从-1≤x≤3中选一个你认为合适的整数x代入求值.15.(2012•东营)先化简,再求代数式的值,其中x是不等式组的整数解.16.(2012•钦州)如果把的x与y都扩大10倍,那么这个代数式的值( )A.不变 B.扩大50倍 C.扩大10倍 D.缩小到原来的17.(2012•南京)化简代数式,并判断当x满足不等式组时该代数式的符号.
相关资料
更多

