资料中包含下列文件,点击文件名可预览资料内容
还剩3页未读,
继续阅读
所属成套资源:2023学年人教版数学八年级上册 全套同步能力提升卷
成套系列资料,整套一键下载
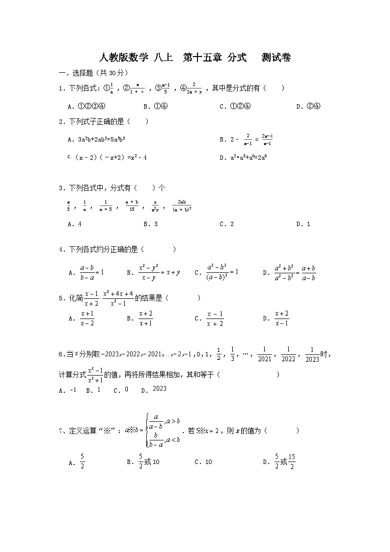
人教版数学 八上 第十五章 分式 测试卷
展开
这是一份人教版数学 八上 第十五章 分式 测试卷,文件包含原卷docx、答案docx等2份试卷配套教学资源,其中试卷共19页, 欢迎下载使用。
人教版数学 八上 第十五章 分式 测试卷选择题(共30分)1.下列各式:①1a ,②x1+π ,③x−15 ,④22x+y ,其中是分式的有( )A.①②③④ B.①④ C.①②④ D.②④2.下列式子正确的是( )A.3a2b+2ab2=5a3b3 B.2﹣ 2x−1=2x−4x−1(x﹣2)(﹣x+2)=x2﹣4 D.a2•a3+a6=2a63.下列各式中,分式有( )个 x3 , 1n , 1a+5 , a+b15 , zx2y , 2ab(a+b)2A.4 B.3 C.2 D.14.下列各式约分正确的是( )A. B. C. D.5.化简的结果是( )A. B. C. D.6.当分别取,0,1,,,…,,,时,计算分式的值,再将所得结果相加,其和等于( )A. B. C. D.7、定义运算“※”:.若,则x的值为( ) B.或10 C.10 D.或8.若关于x的分式方程无解,则k的取值是( )A. B.或 C. D.或9.下列关于分式的判断,正确的是( )A.当时,的值为零 B.无论为何值,的值总为正数C.无论为何值,不可能得整数值 D.当时,有意义10.已知关于的分式方程的解为非负数,则的取值范围为( )A.且 B.且C.且 D.且填空题(共24分)11.已知一列数,,…..,它们满足关系式,,,…,当时,则 12.若,对任意自然数都成立,则 13.定义运算,如:,则方程的解为 14.已知,关于x的分式方程无解,则m的值为 若,则分式的值为 .16.已知代数式与的值互为倒数,则 .解答题(共66分)17.(6分)计算:(1)(2)18.(8分).已知关于的方程.(1)当时,求该方程的解;(2)若方程有增根,求的值.19.(8分)如图,将四张长、宽分别为的长方形硬纸片拼成一个中间“带孔”的大正方形,已知拼成的大正方形的面积为,中间小正方形的面积为,求的值. 20.(10分).阅读下面材料一个含有多个字母的式子中,如果任意交换两个字母的位置,式子的值都不变,这样的式子就叫做对称式,例如:;含有两个字母a,b的对称式的基本对称式是和,像等对称式都可以用,表示,例如,请根据以上材料解决下列问题:(1)式子①,②,③,④中,属于对称式的是 (填序号);(2)已知①若,求对称式的值;②若,求对称式的最小值,写出求解过程;③若,直接写出对称式的最大值 .21.(10分)成都大运会期间,某网店直接从工厂购进A、B两款文创纪念品,已知A、B两款纪念品的进价分别为30元/个、25元/个.(1)网店第一次用1400元购进A、B两款纪念品共50个,求A款纪念品购进的个数;(2)大运会临近结束时,网店打算把A款纪念品降价销售,则降价后销售A款纪念品要获得销售额800元,比按照原价销售要多卖4个才能获得同样多的销售额,求A款纪念品降价以前的售价.22.(10分)观察以下等式:第1个等式:,第2个等式:,第3个等式:,第4个等式:,第5个等式:,……按照以上规律,解决下列问题:(1)写出第6个等式;(2)写出你猜想的第个等式(用含的等式表示),并证明.23.(12分)(1)已知关于x的分式方程.①当时,求方程的解.②若该方程去分母后所得的整式方程的解是增根,求a的值.(2)关于x的方程有整数解,求此时整数m的值.
人教版数学 八上 第十五章 分式 测试卷选择题(共30分)1.下列各式:①1a ,②x1+π ,③x−15 ,④22x+y ,其中是分式的有( )A.①②③④ B.①④ C.①②④ D.②④2.下列式子正确的是( )A.3a2b+2ab2=5a3b3 B.2﹣ 2x−1=2x−4x−1(x﹣2)(﹣x+2)=x2﹣4 D.a2•a3+a6=2a63.下列各式中,分式有( )个 x3 , 1n , 1a+5 , a+b15 , zx2y , 2ab(a+b)2A.4 B.3 C.2 D.14.下列各式约分正确的是( )A. B. C. D.5.化简的结果是( )A. B. C. D.6.当分别取,0,1,,,…,,,时,计算分式的值,再将所得结果相加,其和等于( )A. B. C. D.7、定义运算“※”:.若,则x的值为( ) B.或10 C.10 D.或8.若关于x的分式方程无解,则k的取值是( )A. B.或 C. D.或9.下列关于分式的判断,正确的是( )A.当时,的值为零 B.无论为何值,的值总为正数C.无论为何值,不可能得整数值 D.当时,有意义10.已知关于的分式方程的解为非负数,则的取值范围为( )A.且 B.且C.且 D.且填空题(共24分)11.已知一列数,,…..,它们满足关系式,,,…,当时,则 12.若,对任意自然数都成立,则 13.定义运算,如:,则方程的解为 14.已知,关于x的分式方程无解,则m的值为 若,则分式的值为 .16.已知代数式与的值互为倒数,则 .解答题(共66分)17.(6分)计算:(1)(2)18.(8分).已知关于的方程.(1)当时,求该方程的解;(2)若方程有增根,求的值.19.(8分)如图,将四张长、宽分别为的长方形硬纸片拼成一个中间“带孔”的大正方形,已知拼成的大正方形的面积为,中间小正方形的面积为,求的值. 20.(10分).阅读下面材料一个含有多个字母的式子中,如果任意交换两个字母的位置,式子的值都不变,这样的式子就叫做对称式,例如:;含有两个字母a,b的对称式的基本对称式是和,像等对称式都可以用,表示,例如,请根据以上材料解决下列问题:(1)式子①,②,③,④中,属于对称式的是 (填序号);(2)已知①若,求对称式的值;②若,求对称式的最小值,写出求解过程;③若,直接写出对称式的最大值 .21.(10分)成都大运会期间,某网店直接从工厂购进A、B两款文创纪念品,已知A、B两款纪念品的进价分别为30元/个、25元/个.(1)网店第一次用1400元购进A、B两款纪念品共50个,求A款纪念品购进的个数;(2)大运会临近结束时,网店打算把A款纪念品降价销售,则降价后销售A款纪念品要获得销售额800元,比按照原价销售要多卖4个才能获得同样多的销售额,求A款纪念品降价以前的售价.22.(10分)观察以下等式:第1个等式:,第2个等式:,第3个等式:,第4个等式:,第5个等式:,……按照以上规律,解决下列问题:(1)写出第6个等式;(2)写出你猜想的第个等式(用含的等式表示),并证明.23.(12分)(1)已知关于x的分式方程.①当时,求方程的解.②若该方程去分母后所得的整式方程的解是增根,求a的值.(2)关于x的方程有整数解,求此时整数m的值.
相关资料
更多

