初中数学华师大版九年级上册21.1 二次根式示范课ppt课件
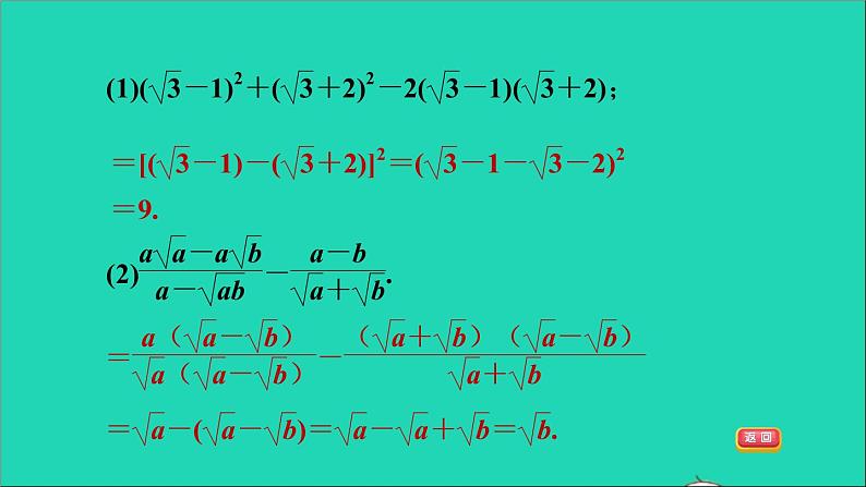
展开【点拨】在进行二次根式的混合运算时,灵活运用乘法公式可简化计算过程.
初中数学华师大版九年级上册21.3 二次根式的加减评课ppt课件: 这是一份初中数学华师大版九年级上册21.3 二次根式的加减评课ppt课件,共20页。PPT课件主要包含了二次根式的加减法,练一练,课本第15页练习1,主要内容等内容,欢迎下载使用。
华师大版九年级上册第21章 二次根式21.3 二次根式的加减课堂教学课件ppt: 这是一份华师大版九年级上册第21章 二次根式21.3 二次根式的加减课堂教学课件ppt,共30页。PPT课件主要包含了最简二次根式相同,答案显示,新知笔记,见习题,答案不唯一,最简二次根式,同类二次根式,答案C,观察下列各式等内容,欢迎下载使用。
华师大版九年级上册21.1 二次根式课文内容ppt课件: 这是一份华师大版九年级上册21.1 二次根式课文内容ppt课件,共14页。PPT课件主要包含了答案呈现,习题链接等内容,欢迎下载使用。

