- 2021_2022学年新教材高中数学第四章三角恒等变换4.2.4积化和差与和差化积公式课后素养落实含解析北师大版必修第二册练习题 试卷 0 次下载
- 2021_2022学年新教材高中数学第四章三角恒等变换4.3.1二倍角公式课后素养落实含解析北师大版必修第二册练习题 试卷 0 次下载
- 2021_2022学年新教材高中数学第五章复数5.2.2_5.2.3复数的乘法与除法复数乘法几何意义初探课后素养落实含解析北师大版必修第二册练习题 试卷 0 次下载
- 2021_2022学年新教材高中数学第五章复数5.3复数的三角表示课后素养落实含解析北师大版必修第二册练习题 试卷 0 次下载
- 2021_2022学年新教材高中数学第五章复数章末测评含解析北师大版必修第二册 试卷 0 次下载
高中数学北师大版 (2019)必修 第二册第四章 三角恒等变换本章综合与测试当堂检测题
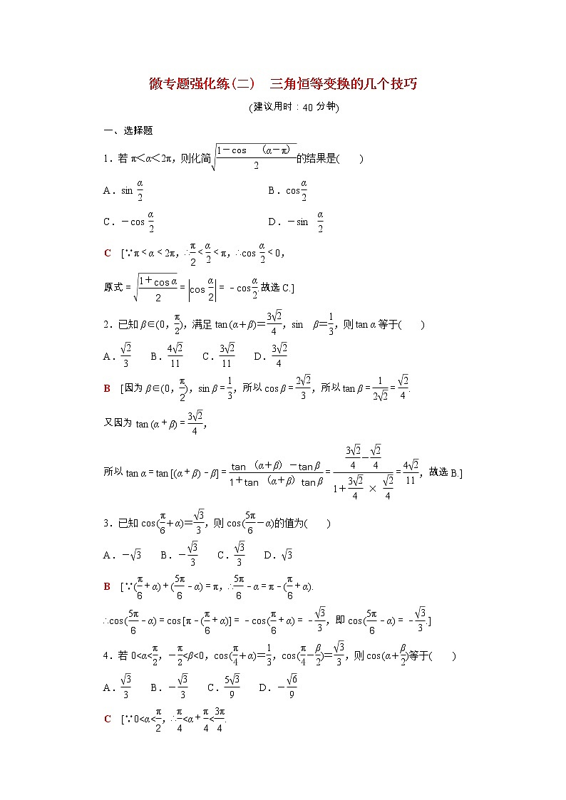
展开微专题强化练(二) 三角恒等变换的几个技巧
(建议用时:40分钟)
一、选择题
1.若π<α<2π,则化简的结果是( )
A.sin B.cos
C.-cos D.-sin
C [∵π<α<2π,∴<<π,∴cos <0,
原式===-cos .故选C.]
2.已知β∈(0,),满足tan (α+β)=,sin β=,则tan α等于( )
A. B. C. D.
B [因为β∈(0,),sin β=,所以cos β=,所以tan β==.
又因为tan (α+β)=,
所以tan α=tan [(α+β)-β]===,故选B.]
3.已知cos (+α)=,则cos (-α)的值为( )
A.- B.- C. D.
B [∵(+α)+(-α)=π,∴-α=π-(+α).
∴cos (-α)=cos [π-(+α)]=-cos (+α)=-,即cos (-α)=-.]
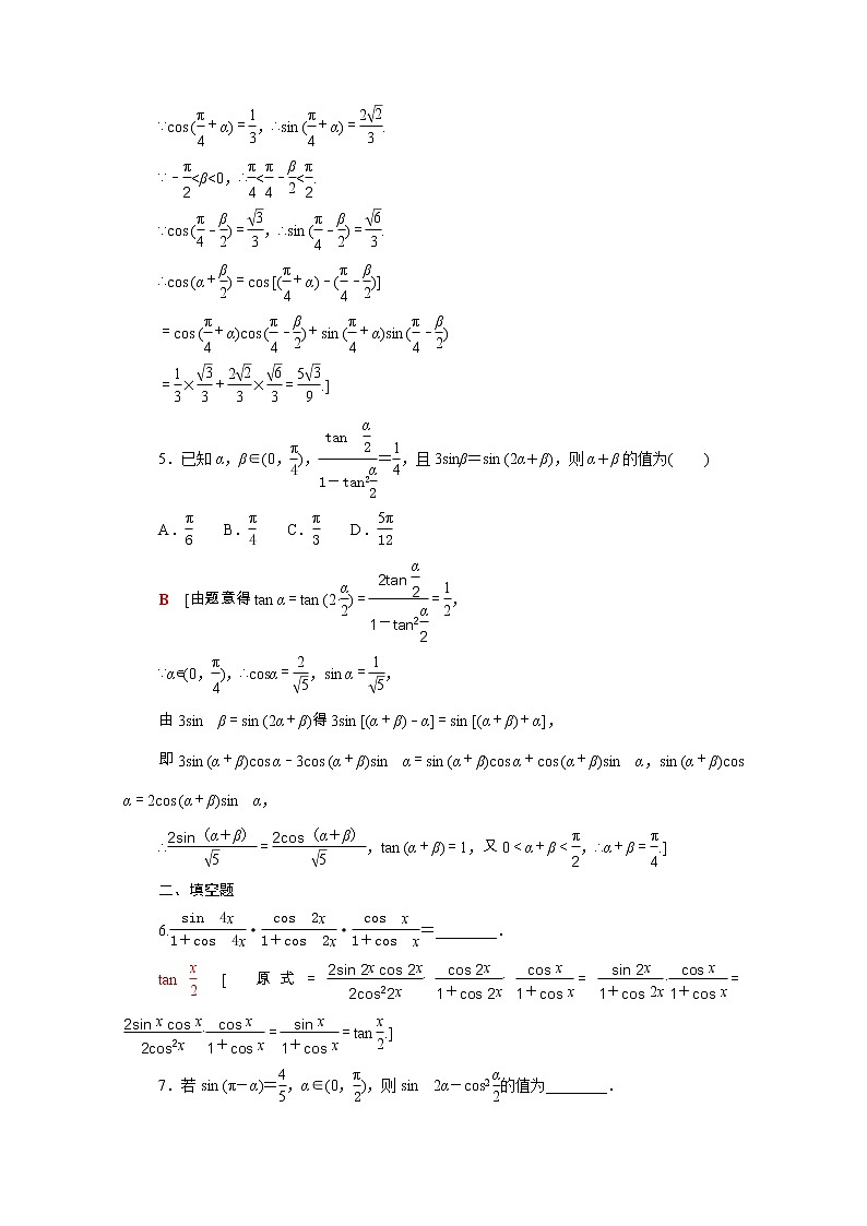
4.若0<α<,-<β<0,cos (+α)=,cos (-)=,则cos (α+)等于( )
A. B.- C. D.-
C [∵0<α<,∴<α+<.
∵cos (+α)=,∴sin (+α)=.
∵-<β<0,∴<-<.
∵cos (-)=,∴sin (-)=.
∴cos (α+)=cos [(+α)-(-)]
=cos (+α)cos (-)+sin (+α)sin (-)
=×+×=.]
5.已知α,β∈(0,),=,且3sinβ=sin (2α+β),则α+β的值为( )
A. B. C. D.
B [由题意得tan α=tan (2·)==,
∵α∈(0,),∴cosα=,sin α=,
由3sin β=sin (2α+β)得3sin [(α+β)-α]=sin [(α+β)+α],
即3sin (α+β)cos α-3cos (α+β)sin α=sin (α+β)cos α+cos (α+β)sin α,sin (α+β)cos α=2cos (α+β)sin α,
∴=,tan (α+β)=1,又0<α+β<,∴α+β=.]
二、填空题
6.··=________.
tan [原式=··=·=·==tan .]
7.若sin (π-α)=,α∈(0,),则sin 2α-cos2的值为________.
[∵sin(π-α)=,∴sin α=,
又∵α∈(0,),∴cos α==(舍负),
因此,sin2α-cos2=2sin αcos α-(1+cos α)=2××-×(1+)=-=.]
8.=________.
-4 [原式=
=
====-4.]
三、解答题
9.已知sin (-x)=,0<x<,求的值.
[解] 原式==
=2sin(+x)=2cos(-x),
∵sin (-x)=,且0<x<,∴-x∈(0,).
∴cos (-x)==,
∴原式=2×=.
10.求函数f(x)=sin(x-20°)-cos (x+40°)的最大值.
[解] f(x)=sin (x-20°)-cos [(x-20°)+60°]
=sin (x-20°)-sin (x-20°)-cos (x-20°)cos 60°+sin (x-20°)sin 60°
=[sin (x-20°)-cos (x-20°)]=sin (x-65°),
当x-65°=k·360°+90°,即x=k·360°+155°(k∈Z)时,f(x)有最大值.
北师大版高中数学必修第二册微专题强化练2三角恒等变换的几个技巧含答案: 这是一份高中数学北师大版 (2019)必修 第二册全册综合同步达标检测题,共4页。试卷主要包含了选择题,填空题,解答题等内容,欢迎下载使用。
高中数学苏教版 (2019)必修 第二册10.3 几个三角恒等式随堂练习题: 这是一份高中数学苏教版 (2019)必修 第二册10.3 几个三角恒等式随堂练习题,共6页。试卷主要包含了选择题,填空题,解答题等内容,欢迎下载使用。
高中数学北师大版 (2019)必修 第二册第六章 立体几何初步2 直观图一课一练: 这是一份高中数学北师大版 (2019)必修 第二册第六章 立体几何初步2 直观图一课一练,共4页。试卷主要包含了选择题,填空题,解答题等内容,欢迎下载使用。

