2020-2021学年5.1 导数的概念及其意义达标测试
展开课时同步练
5.1.1~5.1.2 变化率问题和导数的概念
一、单选题
1.在平均变化率的定义中,自变量x在x0处的增量x( )
A.大于零 B.小于零 C.等于零 D.不等于零
【答案】D
【解析】主要考查瞬时变化率、平均变化率以及导数的概念。
解:函数在某点处横坐标的增量可正可负,不确定,但不可为0,
故选D
2.设函数,当自变量由改变到时,函数的改变量是( )
A. B. C. D.
【答案】D
【解析】自变量由改变到
当时,
当时,
故选D
3.已知函数y=x2+1的图象上一点(1,2)及邻近一点(1+Δx,2+Δy),则等于( )
A.2 B.2x C.2+Δx D.2+(Δx)2
【答案】C
【解析】=2+Δx.
故选C.
4.在x=1附近,取Δx=0.3,在四个函数①y=x、②y=x2、③y=x3、④中,平均变化率最大的是( )
A.④ B.③ C.② D.①
【答案】B
【解析】Δx=0.3时,①y=x在x=1附近的平均变化率k1=1;②y=x2在x=1附近的平均变化率k2=2+Δx=2.3;③y=x3在x=1附近的平均变化率k3=3+3Δx+(Δx)2=3.99;④y=在x=1附近的平均变化率k4=-=-.∴k3>k2>k1>k4,
故选B.
5.已知曲线和这条曲线上的一点,Q是曲线上点P附近的一点,则点Q的坐标为( )
A. B.
C. D.
【答案】C
【解析】点Q的横坐标应为1+Δx,所以其纵坐标为f(1+Δx)= (Δx+1)2,
故选C.
6.若函数f(x)=-x2+10的图象上一点及邻近一点,则=( )
A.3 B.-3 C.-3- D.--3
【答案】D
【解析】,
.
故选D.
7.若质点A按照规律s=3t2运动,则在t=3时的瞬时速度为( )
A.6 B.18 C.54 D.81
【答案】B
【解析】因为===18+3Δt,
所以=18.
故选B.
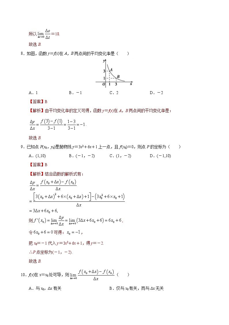
8.如图,函数y=f(x)在A,B两点间的平均变化率是( )
A.1 B.-1 C.2 D.-2
【答案】B
【解析】由平均变化率的定义可得,函数y=f(x)在A,B两点间的平均变化率是:
.
故选B.
9.已知点P(x0,y0)是抛物线y=3x2+6x+1上一点,且f′(x0)=0,则点P的坐标为( )
A.(1,10) B.(-1,-2) C.(1,-2) D.(-1,10)
【答案】B
【解析】结合函数的解析式有:
则,
令可得:,
把x0=-1代入y=3x2+6x+1,得y=-2.
∴P点坐标为(-1,-2).
故选B.
10.f(x)在x=x0处可导,则( )
A.与x0,Δx有关 B.仅与x0有关,而与Δx无关
C.仅与Δx有关,而与x0无关 D.与x0,Δx均无关
【答案】B
【解析】由定义知函数在处的导数,只与有关
故选
11.设函数在处存在导数,则( )
A. B. C. D.
【答案】A
【解析】.
故选A.
12.函数y=x2在区间[x0, x0+△x]上的平均变化率为k1,在[x0﹣△x,x0]上的平均变化率为k2,则k1与k2的大小关系是( )
A.k1>k2 B.k1<k2 C.k1=k2 D.k1与k2的大小关系不确定
【答案】A
【解析】由题意结合函数的解析式有:
,
,
则,因为Δx可大于零,所以k1>k2.
故选A.
二、填空题
13.已知函数y=x3-2,当x=2时,________.
【答案】
【解析】
=(Δx)2+6Δx+12.
故填
14.在x=2附近,时,函数的平均变化率为________.
【答案】
【解析】 ,
故填
15.函数在x=1附近,当时的平均变化率为________.
【答案】
【解析】
故填
16.一物体的运动方程为s=7t2+8,则其在t=________时的瞬时速度为1.
【答案】
【解析】由题意可得:,
故,
令可得:,
即在t=时的瞬时速度为1.
故填
17.如图是函数y=f(x)的图象,则函数f(x)在区间[0,2]上的平均变化率为________.
【答案】
【解析】由函数f(x)的图象知,,
所以函数f(x)在区间[0,2]上的平均变化率为:.
故填
18.已知函数f(x)=,则f′(2)=________.
【答案】
【解析】
故填
三、解答题
19.已知函数f(x)=2x+1,g(x)=-2x,分别计算在区间[-3,-1],[0,5]上函数f(x)及g(x)的平均变化率.
【解析】函数f(x)在[-3,-1]上的平均变化率为
函数f(x)在[0,5]上的平均变化率为.
函数g(x)在[-3,-1]上的平均变化率为.
函数g(x)在[0,5]上的平均变化率为.
20.若函数f(x)=-x2+x在[2,2+Δx](Δx>0)上的平均变化率不大于-1,求Δx的范围.
【解析】因为函数f(x)在[2,2+Δx]上的平均变化率为:
,
所以由-3-Δx≤-1,得Δx≥-2.
又因为Δx>0,
即Δx的取值范围是(0,+∞).
21.一作直线运动的物体,其位移s与时间t的关系是s(t)=3t-t2(s的单位是:m,t的单位是:s).
(1)求此物体的初速度;
(2)求此物体在t=2 s时的瞬时速度;
(3)求t=0 s到t=2 s时的平均速度.
【解析】(1).
当Δt→0时,→3,
所以v0=3.
(2).
当Δt→0时,,
所以t=2时的瞬时速度为-1.
(3).
22.求y=x2++5在x=2处的导数.
【解析】
高中数学人教A版 (2019)选择性必修 第二册5.1 导数的概念及其意义优秀复习练习题: 这是一份高中数学人教A版 (2019)选择性必修 第二册5.1 导数的概念及其意义优秀复习练习题,共15页。试卷主要包含了0分),1时,求,【答案】C,【答案】D,【答案】B,【答案】A等内容,欢迎下载使用。
数学5.1 导数的概念及其意义同步测试题: 这是一份数学5.1 导数的概念及其意义同步测试题,共3页。
人教A版 (2019)选择性必修 第二册5.1 导数的概念及其意义复习练习题: 这是一份人教A版 (2019)选择性必修 第二册5.1 导数的概念及其意义复习练习题,共3页。试卷主要包含了单选题,填空题,解答题等内容,欢迎下载使用。

