2021年高考数学一轮复习夯基练习:三角函数的图象与性质(含答案)
展开夯基练习 三角函数的图象与性质
一 、选择题
1.函数的定义域是( )
A.{x|x≠,x∈R} B.{x|x≠-,x∈R}
C.{x|x≠,k∈Z,x∈R} D.{x|x≠,k∈Z,x∈R}
2.关于函数y=tan,下列说法正确的是( )
A.是奇函数 B.在区间上单调递减
C.为其图象的一个对称中心 D.最小正周期为π
3.定义在R上的函数f(x)既是偶函数又是周期函数,若f(x)的最小正周期是π,且当x∈时,f(x)=sin x,则f的值为( )
A.- B. C. D.
4.f(x)=-tan(x+)的单调区间是( )
A.(kπ-,kπ+),k∈Z
B.(kπ,(k+1)π),k∈Z
C.(kπ-,kπ+),k∈Z
D.(kπ-,kπ+),k∈Z
5.下列四个函数中,以为最小正周期,且在区间上为减函数的是( ).
A. B. C. D.
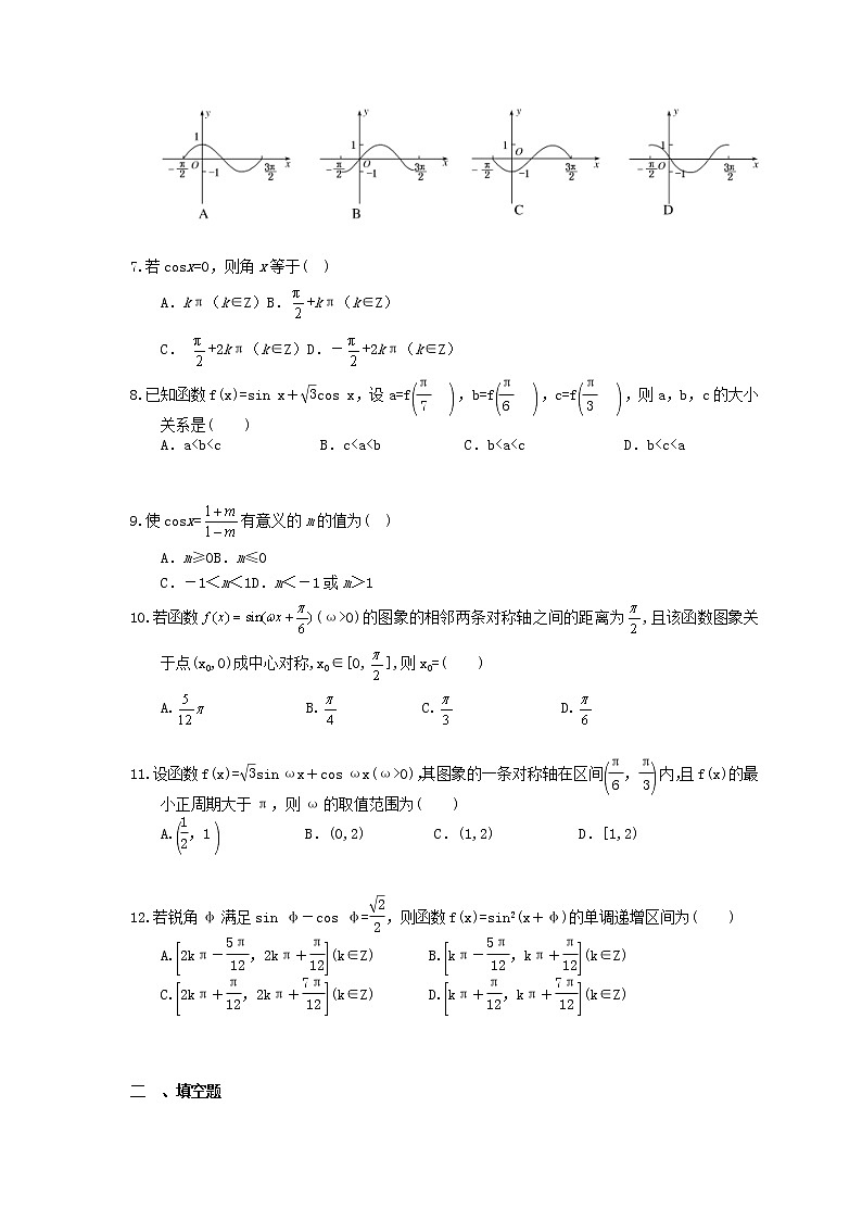
6.函数y=-sinx,x∈的简图是( )
7.若cosx=0,则角x等于( )
A.kπ(k∈Z) B.+kπ(k∈Z)
C. +2kπ(k∈Z) D.-+2kπ(k∈Z)
8.已知函数f(x)=sin x+cos x,设a=f,b=f,c=f,则a,b,c的大小关系是( )
A.a<b<c B.c<a<b C.b<a<c D.b<c<a
9.使cosx=有意义的m的值为( )
A.m≥0 B.m≤0
C.-1<m<1 D.m<-1或m>1
10.若函数(ω>0)的图象的相邻两条对称轴之间的距离为,且该函数图象关于点(x0,0)成中心对称,x0∈[0,],则x0=( )
A. B. C. D.
11.设函数f(x)=sin ωx+cos ωx(ω>0),其图象的一条对称轴在区间内,且f(x)的最小正周期大于π,则ω的取值范围为( )
A. B.(0,2) C.(1,2) D.[1,2)
12.若锐角φ满足sin φ-cos φ=,则函数f(x)=sin2(x+φ)的单调递增区间为( )
A.(k∈Z) B.(k∈Z)
C.(k∈Z) D.(k∈Z)
二 、填空题
13.函数y=-tan2x+4tan x+1,x∈的值域为____________.
14.函数f(x)=cos(π+x)的奇偶性是________.
15.-tan 与tan(-)的大小关系是________.
16.若tanβ=2tanα,且cosαsinβ=,则sin(α-β)的值为________.
三 、解答题
17.求下列函数的周期:
(1)y=-2cos(-x-1);
(2)y=|sin 2x|.
18.根据y=cos x的图象解不等式:-≤cos x≤,x∈[0,2π].
19.比较下列各组数的大小:
(1)sin π与sin π; (2)cos 与cos .
20.已知函数(,)的图像关于直线x=对称,最大值为3,且图像上相邻两个最高点的距离为.
(1)求f(x)的最小正周期;
(2)求函数f(x)的解析式;
(3)若,求.
参考答案
1.答案为:D;
2.答案为:C;
函数y=tan是非奇非偶函数,A错;函数y=tan在区间上单调递增,B错;
最小正周期为,D错;由2x-=,k∈Z,得x=+,k∈Z.当k=0时,x=,
所以它的图象关于对称.
3.答案为:D;
∵f(x)的最小正周期是π,∴f=f=f,
∵函数f(x)是偶函数,∴f=f=f=sin =.故选D.
4.答案为:C.
解析:令-+kπ<x+<+kπ,k∈Z,解得-+kπ<x<+kπ,k∈Z.
所以函数f(x)的单调减区间为(kπ-,kπ+),k∈Z.
5.答案为:D;
6.D.
解析:由y=sinx与y=-sinx的图象关于x轴对称可知选D.
7.B
8.答案为:B.
解析:f(x)=sin x+cos x=2sin,因为函数f(x)在上单调递增,
所以f<f,而c=f=2sin =2sin =f(0)<f,所以c<a<b.
9.B
10.答案为:A;
11.答案为:C;
由题意f(x)=sin ωx+cos ωx=2sin(ω>0).令ωx+=+kπ,k∈Z,
得x=+,k∈Z.∵函数图象的一条对称轴在区间内,
∴<+<,k∈Z,∴3k+1<ω<6k+2,k∈Z.
又∵f(x)的最小正周期大于π,∴>π,解得0<ω<2.∴ω的取值范围为(1,2).故选C.
12.答案为:B;
因为sin φ-cos φ=,所以sin=⇒φ-=⇒φ=.
因为f(x)=sin2(x+φ)==,
所以由2x+∈[2kπ,2kπ+π](k∈Z)
得f(x)的单调递增区间为(k∈Z),故选B.
二 、填空题
13.答案为:[-4,4];
解析:∵-≤x≤,∴-1≤tan x≤1.
令tan x=t,则t∈[-1,1],∴y=-t2+4t+1=-(t-2)2+5.
∴当t=-1,即x=-时,ymin=-4,
当t=1,即x=时,ymax=4.故所求函数的值域为[-4,4].
14.答案为:奇函数;
解析:∵f(x)=cos(π+x)=sin x,
又g(x)=sin x是奇函数,∴f(x)=cos(π+x)是奇函数.
15.答案为:-tan <tan(-);
解析:-tan=-tan,tan(-)=-tan=-tan.
∵0<<<<π,∴tan>0,tan<0,∴-tan<-tan,即-tan <tan(-).
16.答案为:-;
解析:
因为tanβ=2tanα,所以=,即cosαsinβ=2sinαcosβ.
又因为cosαsinβ=,所以sinαcosβ=,从而sin(α-β)=sinαcosβ-cosαsinβ=-=-.
三 、解答题
17.解:(1)∵-2cos[-(x+4π)-1]
=-2cos[(-x-1)-2π]
=-2cos(-x-1),
∴函数y=-2cos(-x-1)的周期是4π.
(2)∵|sin 2(x+)|=|sin(2x+π)|=|-sin 2x|=|sin 2x|,
∴y=|sin 2x|的周期是.
18.解析:函数y=cos x,x∈[0,2π]的图象如图所示:
根据图象可得不等式的解集为:.
19.解:(1)∵函数y=sin x在上单调递减,且<π<π<π,
∴sin π>sin π.
(2)cos =cos(2π-)=cos ,cos =cos(2π-)=cos .
函数y=cos x在[0,π]上单调递减,且0<<<π,
∴cos >cos ,∴cos >cos .
20.解:

