还剩5页未读,
继续阅读
成套系列资料,整套一键下载
高中数学人教A版 (2019)必修 第一册第五章 三角函数本章综合与测试优秀同步训练题
展开
这是一份高中数学人教A版 (2019)必修 第一册第五章 三角函数本章综合与测试优秀同步训练题,共8页。试卷主要包含了5~5等内容,欢迎下载使用。
1.已知函数f(x)=sineq \b\lc\(\rc\)(\a\vs4\al\c1(2x+\f(2π,3))),则下列结论错误的是( )
A.f(x)的最小正周期为π
B.f(x)的图象关于直线x=eq \f(8π,3)对称
C.f(x)的一个零点为eq \f(π,6)
D.f(x)在区间eq \b\lc\(\rc\)(\a\vs4\al\c1(0,\f(π,3)))上单调递减
答案 B
解析 函数f(x)=sineq \b\lc\(\rc\)(\a\vs4\al\c1(2x+\f(2π,3))),周期为T=eq \f(2π,2)=π,故A正确;令2x+eq \f(2π,3)=eq \f(π,2)+kπ,k∈Z⇒对称轴为x=-eq \f(π,12)+eq \f(kπ,2),k∈Z,x=eq \f(8π,3)不是对称轴,故B不正确;令2x+eq \f(2π,3)=kπ,k∈Z⇒函数零点为x=-eq \f(π,3)+eq \f(kπ,2),k∈Z,当k=1时,得到一个零点为eq \f(π,6);由2x+eq \f(2π,3)∈eq \b\lc\(\rc\)(\a\vs4\al\c1(\f(π,2)+2kπ,\f(3π,2)+2kπ)),k∈Z,得单调递减区间为eq \b\lc\(\rc\)(\a\vs4\al\c1(-\f(π,12)+kπ,\f(5,12)π+kπ)),k∈Z,区间eq \b\lc\(\rc\)(\a\vs4\al\c1(0,\f(π,3)))是其中的一个子区间,故D正确.故选B.
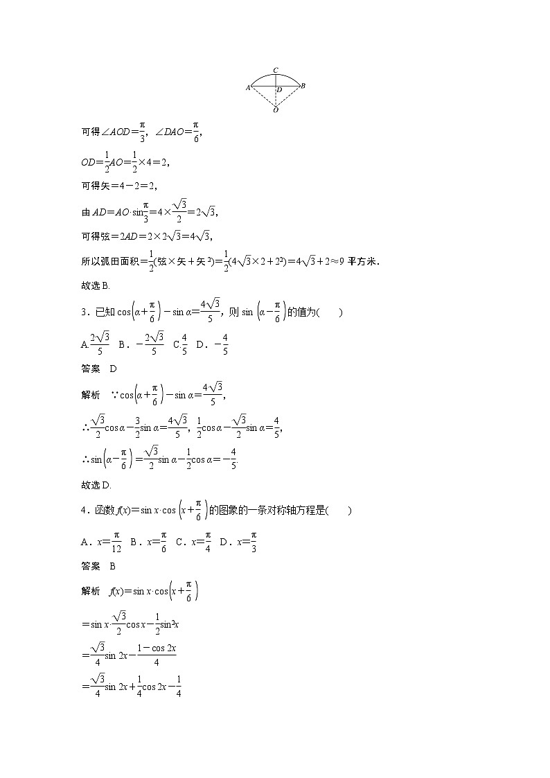
2.《九章算术》是我国古代数学成就的杰出代表作,其中《方田》章给出计算弧田面积所用的经验方式为:弧田面积=eq \f(1,2)(弦×矢+矢2),弧田(如图)由圆弧和其所对弦所围成,公式中“弦”指圆弧所对弦长,“矢”等于半径长与圆心到弦的距离之差,现有圆心角为eq \f(2π,3),半径等于4米的弧田,按照上述经验公式计算所得弧田面积约是(eq \r(3)≈1.73)( )
A.6平方米 B.9平方米 C.12平方米 D.15平方米
答案 B
解析 如图,由题意可得∠AOB=eq \f(2π,3),OA=4,在Rt△AOD中,
可得∠AOD=eq \f(π,3),∠DAO=eq \f(π,6),
OD=eq \f(1,2)AO=eq \f(1,2)×4=2,
可得矢=4-2=2,
由AD=AO·sineq \f(π,3)=4×eq \f(\r(3),2)=2eq \r(3),
可得弦=2AD=2×2eq \r(3)=4eq \r(3),
所以弧田面积=eq \f(1,2)(弦×矢+矢2)=eq \f(1,2)(4eq \r(3)×2+22)=4eq \r(3)+2≈9平方米.
故选B.
3.已知cseq \b\lc\(\rc\)(\a\vs4\al\c1(α+\f(π,6)))-sin α=eq \f(4\r(3),5),则sineq \b\lc\(\rc\)(\a\vs4\al\c1(α-\f(π,6)))的值为( )
A.eq \f(2\r(3),5) B.-eq \f(2\r(3),5) C.eq \f(4,5) D.-eq \f(4,5)
答案 D
解析 ∵cseq \b\lc\(\rc\)(\a\vs4\al\c1(α+\f(π,6)))-sin α=eq \f(4\r(3),5),
∴eq \f(\r(3),2)cs α-eq \f(3,2)sin α=eq \f(4\r(3),5),eq \f(1,2)cs α-eq \f(\r(3),2)sin α=eq \f(4,5),
∴sineq \b\lc\(\rc\)(\a\vs4\al\c1(α-\f(π,6)))=eq \f(\r(3),2)sin α-eq \f(1,2)cs α=-eq \f(4,5).
故选D.
4.函数f(x)=sin x·cseq \b\lc\(\rc\)(\a\vs4\al\c1(x+\f(π,6)))的图象的一条对称轴方程是( )
A.x=eq \f(π,12) B.x=eq \f(π,6) C.x=eq \f(π,4) D.x=eq \f(π,3)
答案 B
解析 f(x)=sin x·cseq \b\lc\(\rc\)(\a\vs4\al\c1(x+\f(π,6)))
=sin x·eq \f(\r(3),2)cs x-eq \f(1,2)sin2x
=eq \f(\r(3),4)sin 2x-eq \f(1-cs 2x,4)
=eq \f(\r(3),4)sin 2x+eq \f(1,4)cs 2x-eq \f(1,4)
=eq \f(1,2)sineq \b\lc\(\rc\)(\a\vs4\al\c1(2x+\f(π,6)))-eq \f(1,4),
∴f(x)=eq \f(1,2)sineq \b\lc\(\rc\)(\a\vs4\al\c1(2x+\f(π,6)))-eq \f(1,4),
令2x+eq \f(π,6)=eq \f(π,2)+kπ(k∈Z),
解得x=eq \f(π,6)+eq \f(kπ,2)(k∈Z),k=0时,x=eq \f(π,6),
故选B.
5.已知函数f(x)=2eq \r(3)sin xcs x+2cs2x+1,则( )
A.f(x)的最小正周期为π,最大值为3
B.f(x)的最小正周期为π,最大值为4
C.f(x)的最小正周期为2π,最大值为3
D.f(x)的最小正周期为2π,最大值为4
答案 B
解析 ∵f(x)=2eq \r(3)sin xcs x+2cs2x+1
=eq \r(3)sin 2x+cs 2x+2=2sineq \b\lc\(\rc\)(\a\vs4\al\c1(2x+\f(π,6)))+2,
∴最大值为4,T=eq \f(2π,2)=π.
故选B.
6.若sineq \b\lc\(\rc\)(\a\vs4\al\c1(x+\f(3π,2)))=eq \f(1,3),则cs 2x=________.
答案 -eq \f(7,9)
解析 由诱导公式得sineq \b\lc\(\rc\)(\a\vs4\al\c1(x+\f(3π,2)))=-cs x=eq \f(1,3),
故cs x=-eq \f(1,3).
由二倍角公式得cs 2x=2cs2x-1=2eq \b\lc\(\rc\)(\a\vs4\al\c1(-\f(1,3)))2-1=-eq \f(7,9).
7.函数f(x)=sin x+eq \r(3)cs x在[0,π]上的单调递减区间为________.
答案 eq \b\lc\[\rc\](\a\vs4\al\c1(\f(π,6),π))
解析 由题意得f(x)=2sineq \b\lc\(\rc\)(\a\vs4\al\c1(x+\f(π,3))),
由2kπ+eq \f(π,2)≤x+eq \f(π,3)≤2kπ+eq \f(3π,2),k∈Z,
得2kπ+eq \f(π,6)≤x≤2kπ+eq \f(7π,6),k∈Z,
令k=0得eq \f(π,6)≤x≤eq \f(7π,6),
因为x∈[0,π],所以函数的单调递减区间为eq \b\lc\[\rc\](\a\vs4\al\c1(\f(π,6),π)).
8.已知函数f(x)=Asin(ωx+φ)eq \b\lc\(\rc\)(\a\vs4\al\c1(其中A>0,|φ|<\f(π,2)))的图象如图所示,为了得到g(x)=sin 3x的图象,只需将f(x)的图象向右平移________个单位长度.
答案 eq \f(π,12)
解析 ∵只与平移有关,没有改变函数图象的形状,
∴ω=3,
又函数的图象在减区间内与x轴的交点是eq \b\lc\(\rc\)(\a\vs4\al\c1(\f(π,4),0)),
∴3×eq \f(π,4)+φ=π+2kπ,k∈Z.
又|φ|
于是φ=eq \f(π,4),则f(x)=sineq \b\lc\(\rc\)(\a\vs4\al\c1(3x+\f(π,4))),
故g(x)=sin 3x=sineq \b\lc\[\rc\](\a\vs4\al\c1(3\b\lc\(\rc\)(\a\vs4\al\c1(x-\f(π,12)))+\f(π,4))),
∴函数f(x)的图象要向右平移eq \f(π,12)个单位长度.
9.已知函数f(x)=4cs xsineq \b\lc\(\rc\)(\a\vs4\al\c1(x-\f(π,6)))+1,
(1)求f(x)的单调递增区间;
(2)求f(x)在区间eq \b\lc\[\rc\](\a\vs4\al\c1(-\f(π,12),\f(5π,12)))上的最大值和最小值.
解 (1)f(x)=4cs xsineq \b\lc\(\rc\)(\a\vs4\al\c1(x-\f(π,6)))+1
=4cs xeq \b\lc\(\rc\)(\a\vs4\al\c1(\f(\r(3),2)sin x-\f(1,2)cs x))+1
=2eq \r(3)sin xcs x-2cs2x+1
=eq \r(3)sin 2x-cs 2x
=2sineq \b\lc\(\rc\)(\a\vs4\al\c1(2x-\f(π,6))),
令-eq \f(π,2)+2kπ≤2x-eq \f(π,6)≤eq \f(π,2)+2kπ,k∈Z,
解得-eq \f(π,6)+kπ≤x≤eq \f(π,3)+kπ,k∈Z,
故函数的单调递增区间为eq \b\lc\[\rc\](\a\vs4\al\c1(-\f(π,6)+kπ,\f(π,3)+kπ)),k∈Z.
(2)因为-eq \f(π,12)≤x≤eq \f(5π,12),所以-eq \f(π,3)≤2x-eq \f(π,6)≤eq \f(2π,3),
当2x-eq \f(π,6)=eq \f(π,2),即x=eq \f(π,3)时,f(x)max=2,
当2x-eq \f(π,6)=-eq \f(π,3),即x=-eq \f(π,12)时,f(x)min=-eq \r(3).
10.己知函数f(x)=cseq \b\lc\(\rc\)(\a\vs4\al\c1(\f(π,3)-x))cseq \b\lc\(\rc\)(\a\vs4\al\c1(x+\f(π,6))).
(1)求f eq \b\lc\(\rc\)(\a\vs4\al\c1(\f(π,6)))的值;
(2)将f(x)的图象上所有点向左平移m(m>0)个单位长度,得到y=g(x)的图象,若y=g(x)的图象关于点eq \b\lc\(\rc\)(\a\vs4\al\c1(\f(π,6),0))对称,求当m取最小值时,函数y=g(x)的单调递增区间.
解 (1)f eq \b\lc\(\rc\)(\a\vs4\al\c1(\f(π,6)))=cseq \b\lc\(\rc\)(\a\vs4\al\c1(\f(π,3)-\f(π,6)))cseq \b\lc\(\rc\)(\a\vs4\al\c1(\f(π,6)+\f(π,6)))=cs eq \f(π,6)cs eq \f(π,3)=eq \f(\r(3),4).
(2)f(x)=sineq \b\lc\(\rc\)(\a\vs4\al\c1(x+\f(π,6)))cseq \b\lc\(\rc\)(\a\vs4\al\c1(x+\f(π,6)))=eq \f(1,2)sineq \b\lc\(\rc\)(\a\vs4\al\c1(2x+\f(π,3))).
将y=f(x)向左平移m(m>0)个单位长度,
得到y=g(x)=eq \f(1,2)sineq \b\lc\(\rc\)(\a\vs4\al\c1(2x+\f(π,3)+2m)).
∵y=g(x)的图象关于点eq \b\lc\(\rc\)(\a\vs4\al\c1(\f(π,6),0))对称,
∴sineq \b\lc\(\rc\)(\a\vs4\al\c1(2×\f(π,6)+\f(π,3)+2m))=0,
∴eq \f(2π,3)+2m=kπ,k∈Z,∴m=eq \f(k,2)π-eq \f(π,3),k∈Z,
∵m>0,∴当k=1时,m有最小值eq \f(π,6).
由-eq \f(π,2)+2kπ≤2x+eq \f(2π,3)≤eq \f(π,2)+2kπ,k∈Z,得eq \b\lc\[\rc\](\a\vs4\al\c1(-\f(7π,12)+kπ,-\f(π,12)+kπ)),k∈Z.
∴函数的单调递增区间是eq \b\lc\[\rc\](\a\vs4\al\c1(-\f(7π,12)+kπ,-\f(π,12)+kπ)),k∈Z.
11.函数f(x)=2sineq \b\lc\(\rc\)(\a\vs4\al\c1(ωx+\f(π,3)))(ω>0)的图象在[0,1]上恰有两个最大值点,则ω的取值范围为( )
A.[2π,4π] B.eq \b\lc\[\rc\)(\a\vs4\al\c1(2π,\f(9π,2)))
C.eq \b\lc\[\rc\)(\a\vs4\al\c1(\f(13π,6),\f(25π,6))) D.eq \b\lc\[\rc\)(\a\vs4\al\c1(2π,\f(25π,6)))
答案 C
解析 由题意得ω+eq \f(π,3)≥eq \f(5π,2),ω+eq \f(π,3)
12.设ω>0,函数y=sineq \b\lc\(\rc\)(\a\vs4\al\c1(ωx+\f(π,3)))-1的图象向左平移eq \f(2π,3)个单位长度后与原图象重合,则ω的最小值是( )
A.eq \f(2,3) B.eq \f(4,3) C.eq \f(3,2) D.3
答案 D
解析 ∵图象向左平移eq \f(2π,3)个单位长度后与原图象重合,
∴eq \f(2π,3)是整数个周期,
∴eq \f(2π,3)=kT=k·eq \f(2π,ω),k∈N*,
∴ω=3k,k∈N*,
又ω>0,
∴ω的最小值是3,故选D.
13.若函数y=2cs ωx在区间eq \b\lc\[\rc\](\a\vs4\al\c1(0,\f(2π,3)))上单调递减,且有最小值1,则ω的值可以是( )
A.2 B.eq \f(1,2) C.3 D.eq \f(1,3)
答案 B
解析 由y=2cs ωx在eq \b\lc\[\rc\](\a\vs4\al\c1(0,\f(2π,3)))上是单调递减的,且有最小值1,则有f eq \b\lc\(\rc\)(\a\vs4\al\c1(\f(2π,3)))=1,
即2×cseq \b\lc\(\rc\)(\a\vs4\al\c1(ω×\f(2π,3)))=1,cseq \b\lc\(\rc\)(\a\vs4\al\c1(\f(2π,3)ω))=eq \f(1,2),检验各选项,得出B项符合.故选B.
14.已知函数f(x)=sineq \b\lc\(\rc\)(\a\vs4\al\c1(ωx+\f(π,3)))(ω>0)的最小正周期是4π,则ω=________,若f eq \b\lc\(\rc\)(\a\vs4\al\c1(θ+\f(π,3)))=eq \f(3,5),则cs θ=________.
答案 eq \f(1,2) -eq \f(7,25)
解析 ∵函数f(x)=sineq \b\lc\(\rc\)(\a\vs4\al\c1(ωx+\f(π,3)))(ω>0)的最小正周期是eq \f(2π,ω)=4π,则ω=eq \f(1,2),f(x)=sineq \b\lc\(\rc\)(\a\vs4\al\c1(\f(x,2)+\f(π,3)));
若f eq \b\lc\(\rc\)(\a\vs4\al\c1(θ+\f(π,3)))=sineq \b\lc\(\rc\)(\a\vs4\al\c1(\f(1,2)θ+\f(π,2)))=cs eq \f(θ,2)=eq \f(3,5),
则cs θ=2cs2eq \f(θ,2)-1=-eq \f(7,25).
15.函数f(x)=sineq \b\lc\(\rc\)(\a\vs4\al\c1(x+\f(π,4)))cseq \b\lc\(\rc\)(\a\vs4\al\c1(x+\f(π,4)))+cs2x-lg2|x|-eq \f(1,2)的零点个数为( )
A.1 B.2 C.3 D.4
答案 B
解析 由已知f(x)=sineq \b\lc\(\rc\)(\a\vs4\al\c1(x+\f(π,4)))cseq \b\lc\(\rc\)(\a\vs4\al\c1(x+\f(π,4)))+cs2x-lg2|x|-eq \f(1,2)
=eq \f(1,2)cs 2x+eq \f(1+cs 2x,2)-lg2|x|-eq \f(1,2)
=cs 2x-lg2|x|,
令f(x)=0,即cs 2x=lg2|x|,
在同一坐标系中画出函数y=cs 2x和y=lg2|x|的图象,
如图所示,两个函数图象有两个不同的交点,
所以函数f(x)的零点个数为2,故选B.
16.已知函数f(x)=cs xeq \b\lc\(\rc\)(\a\vs4\al\c1(\r(3)sin x-cs x))+m(m∈R),将y=f(x)的图象向左平移eq \f(π,6)个单位长度后得到g(x)的图象,且y=g(x)在区间eq \b\lc\[\rc\](\a\vs4\al\c1(\f(π,4),\f(π,3)))内的最小值为eq \f(\r(3),2).
(1)求m的值;
(2)在锐角三角形ABC中,若geq \b\lc\(\rc\)(\a\vs4\al\c1(\f(C,2)))=-eq \f(1,2)+eq \r(3),求sin A+cs B的取值范围.
解 (1)∵f(x)=cs x(eq \r(3)sin x-cs x)+m
=eq \f(\r(3),2)sin 2x-eq \f(1,2)cs 2x+m-eq \f(1,2)
=sineq \b\lc\(\rc\)(\a\vs4\al\c1(2x-\f(π,6)))+m-eq \f(1,2).
∴g(x)=sineq \b\lc\[\rc\](\a\vs4\al\c1(2\b\lc\(\rc\)(\a\vs4\al\c1(x+\f(π,6)))-\f(π,6)))+m-eq \f(1,2)
=sineq \b\lc\(\rc\)(\a\vs4\al\c1(2x+\f(π,6)))+m-eq \f(1,2).
∵x∈eq \b\lc\[\rc\](\a\vs4\al\c1(\f(π,4),\f(π,3))),则2x+eq \f(π,6)∈eq \b\lc\[\rc\](\a\vs4\al\c1(\f(2π,3),\f(5π,6))).
当2x+eq \f(π,6)=eq \f(5π,6)时,g(x)在eq \b\lc\[\rc\](\a\vs4\al\c1(\f(π,4),\f(π,3)))上取得最小值eq \f(1,2)+m-eq \f(1,2)=eq \f(\r(3),2),
解得m=eq \f(\r(3),2).
(2)∵geq \b\lc\(\rc\)(\a\vs4\al\c1(\f(C,2)))=sineq \b\lc\(\rc\)(\a\vs4\al\c1(C+\f(π,6)))+eq \f(\r(3),2)-eq \f(1,2)=-eq \f(1,2)+eq \r(3),
∴sineq \b\lc\(\rc\)(\a\vs4\al\c1(C+\f(π,6)))=eq \f(\r(3),2),
∵C∈eq \b\lc\(\rc\)(\a\vs4\al\c1(0,\f(π,2))),则C+eq \f(π,6)∈eq \b\lc\(\rc\)(\a\vs4\al\c1(\f(π,6),\f(2π,3))),
∴C+eq \f(π,6)=eq \f(π,3),即C=eq \f(π,6).
∴sin A+cs B=sin A+cseq \b\lc\(\rc\)(\a\vs4\al\c1(\f(5π,6)-A))
=sin A-eq \f(\r(3),2)cs A+eq \f(1,2)sin A=eq \f(3,2)sin A-eq \f(\r(3),2)cs A
=eq \r(3)sineq \b\lc\(\rc\)(\a\vs4\al\c1(A-\f(π,6))).
∵△ABC是锐角三角形,
则eq \b\lc\{\rc\ (\a\vs4\al\c1(0
∴A-eq \f(π,6)∈eq \b\lc\(\rc\)(\a\vs4\al\c1(\f(π,6),\f(π,3))),
∴eq \f(1,2)
即eq \f(\r(3),2)
∴sin A+cs B的取值范围是eq \b\lc\(\rc\)(\a\vs4\al\c1(\f(\r(3),2),\f(3,2))).
1.已知函数f(x)=sineq \b\lc\(\rc\)(\a\vs4\al\c1(2x+\f(2π,3))),则下列结论错误的是( )
A.f(x)的最小正周期为π
B.f(x)的图象关于直线x=eq \f(8π,3)对称
C.f(x)的一个零点为eq \f(π,6)
D.f(x)在区间eq \b\lc\(\rc\)(\a\vs4\al\c1(0,\f(π,3)))上单调递减
答案 B
解析 函数f(x)=sineq \b\lc\(\rc\)(\a\vs4\al\c1(2x+\f(2π,3))),周期为T=eq \f(2π,2)=π,故A正确;令2x+eq \f(2π,3)=eq \f(π,2)+kπ,k∈Z⇒对称轴为x=-eq \f(π,12)+eq \f(kπ,2),k∈Z,x=eq \f(8π,3)不是对称轴,故B不正确;令2x+eq \f(2π,3)=kπ,k∈Z⇒函数零点为x=-eq \f(π,3)+eq \f(kπ,2),k∈Z,当k=1时,得到一个零点为eq \f(π,6);由2x+eq \f(2π,3)∈eq \b\lc\(\rc\)(\a\vs4\al\c1(\f(π,2)+2kπ,\f(3π,2)+2kπ)),k∈Z,得单调递减区间为eq \b\lc\(\rc\)(\a\vs4\al\c1(-\f(π,12)+kπ,\f(5,12)π+kπ)),k∈Z,区间eq \b\lc\(\rc\)(\a\vs4\al\c1(0,\f(π,3)))是其中的一个子区间,故D正确.故选B.
2.《九章算术》是我国古代数学成就的杰出代表作,其中《方田》章给出计算弧田面积所用的经验方式为:弧田面积=eq \f(1,2)(弦×矢+矢2),弧田(如图)由圆弧和其所对弦所围成,公式中“弦”指圆弧所对弦长,“矢”等于半径长与圆心到弦的距离之差,现有圆心角为eq \f(2π,3),半径等于4米的弧田,按照上述经验公式计算所得弧田面积约是(eq \r(3)≈1.73)( )
A.6平方米 B.9平方米 C.12平方米 D.15平方米
答案 B
解析 如图,由题意可得∠AOB=eq \f(2π,3),OA=4,在Rt△AOD中,
可得∠AOD=eq \f(π,3),∠DAO=eq \f(π,6),
OD=eq \f(1,2)AO=eq \f(1,2)×4=2,
可得矢=4-2=2,
由AD=AO·sineq \f(π,3)=4×eq \f(\r(3),2)=2eq \r(3),
可得弦=2AD=2×2eq \r(3)=4eq \r(3),
所以弧田面积=eq \f(1,2)(弦×矢+矢2)=eq \f(1,2)(4eq \r(3)×2+22)=4eq \r(3)+2≈9平方米.
故选B.
3.已知cseq \b\lc\(\rc\)(\a\vs4\al\c1(α+\f(π,6)))-sin α=eq \f(4\r(3),5),则sineq \b\lc\(\rc\)(\a\vs4\al\c1(α-\f(π,6)))的值为( )
A.eq \f(2\r(3),5) B.-eq \f(2\r(3),5) C.eq \f(4,5) D.-eq \f(4,5)
答案 D
解析 ∵cseq \b\lc\(\rc\)(\a\vs4\al\c1(α+\f(π,6)))-sin α=eq \f(4\r(3),5),
∴eq \f(\r(3),2)cs α-eq \f(3,2)sin α=eq \f(4\r(3),5),eq \f(1,2)cs α-eq \f(\r(3),2)sin α=eq \f(4,5),
∴sineq \b\lc\(\rc\)(\a\vs4\al\c1(α-\f(π,6)))=eq \f(\r(3),2)sin α-eq \f(1,2)cs α=-eq \f(4,5).
故选D.
4.函数f(x)=sin x·cseq \b\lc\(\rc\)(\a\vs4\al\c1(x+\f(π,6)))的图象的一条对称轴方程是( )
A.x=eq \f(π,12) B.x=eq \f(π,6) C.x=eq \f(π,4) D.x=eq \f(π,3)
答案 B
解析 f(x)=sin x·cseq \b\lc\(\rc\)(\a\vs4\al\c1(x+\f(π,6)))
=sin x·eq \f(\r(3),2)cs x-eq \f(1,2)sin2x
=eq \f(\r(3),4)sin 2x-eq \f(1-cs 2x,4)
=eq \f(\r(3),4)sin 2x+eq \f(1,4)cs 2x-eq \f(1,4)
=eq \f(1,2)sineq \b\lc\(\rc\)(\a\vs4\al\c1(2x+\f(π,6)))-eq \f(1,4),
∴f(x)=eq \f(1,2)sineq \b\lc\(\rc\)(\a\vs4\al\c1(2x+\f(π,6)))-eq \f(1,4),
令2x+eq \f(π,6)=eq \f(π,2)+kπ(k∈Z),
解得x=eq \f(π,6)+eq \f(kπ,2)(k∈Z),k=0时,x=eq \f(π,6),
故选B.
5.已知函数f(x)=2eq \r(3)sin xcs x+2cs2x+1,则( )
A.f(x)的最小正周期为π,最大值为3
B.f(x)的最小正周期为π,最大值为4
C.f(x)的最小正周期为2π,最大值为3
D.f(x)的最小正周期为2π,最大值为4
答案 B
解析 ∵f(x)=2eq \r(3)sin xcs x+2cs2x+1
=eq \r(3)sin 2x+cs 2x+2=2sineq \b\lc\(\rc\)(\a\vs4\al\c1(2x+\f(π,6)))+2,
∴最大值为4,T=eq \f(2π,2)=π.
故选B.
6.若sineq \b\lc\(\rc\)(\a\vs4\al\c1(x+\f(3π,2)))=eq \f(1,3),则cs 2x=________.
答案 -eq \f(7,9)
解析 由诱导公式得sineq \b\lc\(\rc\)(\a\vs4\al\c1(x+\f(3π,2)))=-cs x=eq \f(1,3),
故cs x=-eq \f(1,3).
由二倍角公式得cs 2x=2cs2x-1=2eq \b\lc\(\rc\)(\a\vs4\al\c1(-\f(1,3)))2-1=-eq \f(7,9).
7.函数f(x)=sin x+eq \r(3)cs x在[0,π]上的单调递减区间为________.
答案 eq \b\lc\[\rc\](\a\vs4\al\c1(\f(π,6),π))
解析 由题意得f(x)=2sineq \b\lc\(\rc\)(\a\vs4\al\c1(x+\f(π,3))),
由2kπ+eq \f(π,2)≤x+eq \f(π,3)≤2kπ+eq \f(3π,2),k∈Z,
得2kπ+eq \f(π,6)≤x≤2kπ+eq \f(7π,6),k∈Z,
令k=0得eq \f(π,6)≤x≤eq \f(7π,6),
因为x∈[0,π],所以函数的单调递减区间为eq \b\lc\[\rc\](\a\vs4\al\c1(\f(π,6),π)).
8.已知函数f(x)=Asin(ωx+φ)eq \b\lc\(\rc\)(\a\vs4\al\c1(其中A>0,|φ|<\f(π,2)))的图象如图所示,为了得到g(x)=sin 3x的图象,只需将f(x)的图象向右平移________个单位长度.
答案 eq \f(π,12)
解析 ∵只与平移有关,没有改变函数图象的形状,
∴ω=3,
又函数的图象在减区间内与x轴的交点是eq \b\lc\(\rc\)(\a\vs4\al\c1(\f(π,4),0)),
∴3×eq \f(π,4)+φ=π+2kπ,k∈Z.
又|φ|
于是φ=eq \f(π,4),则f(x)=sineq \b\lc\(\rc\)(\a\vs4\al\c1(3x+\f(π,4))),
故g(x)=sin 3x=sineq \b\lc\[\rc\](\a\vs4\al\c1(3\b\lc\(\rc\)(\a\vs4\al\c1(x-\f(π,12)))+\f(π,4))),
∴函数f(x)的图象要向右平移eq \f(π,12)个单位长度.
9.已知函数f(x)=4cs xsineq \b\lc\(\rc\)(\a\vs4\al\c1(x-\f(π,6)))+1,
(1)求f(x)的单调递增区间;
(2)求f(x)在区间eq \b\lc\[\rc\](\a\vs4\al\c1(-\f(π,12),\f(5π,12)))上的最大值和最小值.
解 (1)f(x)=4cs xsineq \b\lc\(\rc\)(\a\vs4\al\c1(x-\f(π,6)))+1
=4cs xeq \b\lc\(\rc\)(\a\vs4\al\c1(\f(\r(3),2)sin x-\f(1,2)cs x))+1
=2eq \r(3)sin xcs x-2cs2x+1
=eq \r(3)sin 2x-cs 2x
=2sineq \b\lc\(\rc\)(\a\vs4\al\c1(2x-\f(π,6))),
令-eq \f(π,2)+2kπ≤2x-eq \f(π,6)≤eq \f(π,2)+2kπ,k∈Z,
解得-eq \f(π,6)+kπ≤x≤eq \f(π,3)+kπ,k∈Z,
故函数的单调递增区间为eq \b\lc\[\rc\](\a\vs4\al\c1(-\f(π,6)+kπ,\f(π,3)+kπ)),k∈Z.
(2)因为-eq \f(π,12)≤x≤eq \f(5π,12),所以-eq \f(π,3)≤2x-eq \f(π,6)≤eq \f(2π,3),
当2x-eq \f(π,6)=eq \f(π,2),即x=eq \f(π,3)时,f(x)max=2,
当2x-eq \f(π,6)=-eq \f(π,3),即x=-eq \f(π,12)时,f(x)min=-eq \r(3).
10.己知函数f(x)=cseq \b\lc\(\rc\)(\a\vs4\al\c1(\f(π,3)-x))cseq \b\lc\(\rc\)(\a\vs4\al\c1(x+\f(π,6))).
(1)求f eq \b\lc\(\rc\)(\a\vs4\al\c1(\f(π,6)))的值;
(2)将f(x)的图象上所有点向左平移m(m>0)个单位长度,得到y=g(x)的图象,若y=g(x)的图象关于点eq \b\lc\(\rc\)(\a\vs4\al\c1(\f(π,6),0))对称,求当m取最小值时,函数y=g(x)的单调递增区间.
解 (1)f eq \b\lc\(\rc\)(\a\vs4\al\c1(\f(π,6)))=cseq \b\lc\(\rc\)(\a\vs4\al\c1(\f(π,3)-\f(π,6)))cseq \b\lc\(\rc\)(\a\vs4\al\c1(\f(π,6)+\f(π,6)))=cs eq \f(π,6)cs eq \f(π,3)=eq \f(\r(3),4).
(2)f(x)=sineq \b\lc\(\rc\)(\a\vs4\al\c1(x+\f(π,6)))cseq \b\lc\(\rc\)(\a\vs4\al\c1(x+\f(π,6)))=eq \f(1,2)sineq \b\lc\(\rc\)(\a\vs4\al\c1(2x+\f(π,3))).
将y=f(x)向左平移m(m>0)个单位长度,
得到y=g(x)=eq \f(1,2)sineq \b\lc\(\rc\)(\a\vs4\al\c1(2x+\f(π,3)+2m)).
∵y=g(x)的图象关于点eq \b\lc\(\rc\)(\a\vs4\al\c1(\f(π,6),0))对称,
∴sineq \b\lc\(\rc\)(\a\vs4\al\c1(2×\f(π,6)+\f(π,3)+2m))=0,
∴eq \f(2π,3)+2m=kπ,k∈Z,∴m=eq \f(k,2)π-eq \f(π,3),k∈Z,
∵m>0,∴当k=1时,m有最小值eq \f(π,6).
由-eq \f(π,2)+2kπ≤2x+eq \f(2π,3)≤eq \f(π,2)+2kπ,k∈Z,得eq \b\lc\[\rc\](\a\vs4\al\c1(-\f(7π,12)+kπ,-\f(π,12)+kπ)),k∈Z.
∴函数的单调递增区间是eq \b\lc\[\rc\](\a\vs4\al\c1(-\f(7π,12)+kπ,-\f(π,12)+kπ)),k∈Z.
11.函数f(x)=2sineq \b\lc\(\rc\)(\a\vs4\al\c1(ωx+\f(π,3)))(ω>0)的图象在[0,1]上恰有两个最大值点,则ω的取值范围为( )
A.[2π,4π] B.eq \b\lc\[\rc\)(\a\vs4\al\c1(2π,\f(9π,2)))
C.eq \b\lc\[\rc\)(\a\vs4\al\c1(\f(13π,6),\f(25π,6))) D.eq \b\lc\[\rc\)(\a\vs4\al\c1(2π,\f(25π,6)))
答案 C
解析 由题意得ω+eq \f(π,3)≥eq \f(5π,2),ω+eq \f(π,3)
12.设ω>0,函数y=sineq \b\lc\(\rc\)(\a\vs4\al\c1(ωx+\f(π,3)))-1的图象向左平移eq \f(2π,3)个单位长度后与原图象重合,则ω的最小值是( )
A.eq \f(2,3) B.eq \f(4,3) C.eq \f(3,2) D.3
答案 D
解析 ∵图象向左平移eq \f(2π,3)个单位长度后与原图象重合,
∴eq \f(2π,3)是整数个周期,
∴eq \f(2π,3)=kT=k·eq \f(2π,ω),k∈N*,
∴ω=3k,k∈N*,
又ω>0,
∴ω的最小值是3,故选D.
13.若函数y=2cs ωx在区间eq \b\lc\[\rc\](\a\vs4\al\c1(0,\f(2π,3)))上单调递减,且有最小值1,则ω的值可以是( )
A.2 B.eq \f(1,2) C.3 D.eq \f(1,3)
答案 B
解析 由y=2cs ωx在eq \b\lc\[\rc\](\a\vs4\al\c1(0,\f(2π,3)))上是单调递减的,且有最小值1,则有f eq \b\lc\(\rc\)(\a\vs4\al\c1(\f(2π,3)))=1,
即2×cseq \b\lc\(\rc\)(\a\vs4\al\c1(ω×\f(2π,3)))=1,cseq \b\lc\(\rc\)(\a\vs4\al\c1(\f(2π,3)ω))=eq \f(1,2),检验各选项,得出B项符合.故选B.
14.已知函数f(x)=sineq \b\lc\(\rc\)(\a\vs4\al\c1(ωx+\f(π,3)))(ω>0)的最小正周期是4π,则ω=________,若f eq \b\lc\(\rc\)(\a\vs4\al\c1(θ+\f(π,3)))=eq \f(3,5),则cs θ=________.
答案 eq \f(1,2) -eq \f(7,25)
解析 ∵函数f(x)=sineq \b\lc\(\rc\)(\a\vs4\al\c1(ωx+\f(π,3)))(ω>0)的最小正周期是eq \f(2π,ω)=4π,则ω=eq \f(1,2),f(x)=sineq \b\lc\(\rc\)(\a\vs4\al\c1(\f(x,2)+\f(π,3)));
若f eq \b\lc\(\rc\)(\a\vs4\al\c1(θ+\f(π,3)))=sineq \b\lc\(\rc\)(\a\vs4\al\c1(\f(1,2)θ+\f(π,2)))=cs eq \f(θ,2)=eq \f(3,5),
则cs θ=2cs2eq \f(θ,2)-1=-eq \f(7,25).
15.函数f(x)=sineq \b\lc\(\rc\)(\a\vs4\al\c1(x+\f(π,4)))cseq \b\lc\(\rc\)(\a\vs4\al\c1(x+\f(π,4)))+cs2x-lg2|x|-eq \f(1,2)的零点个数为( )
A.1 B.2 C.3 D.4
答案 B
解析 由已知f(x)=sineq \b\lc\(\rc\)(\a\vs4\al\c1(x+\f(π,4)))cseq \b\lc\(\rc\)(\a\vs4\al\c1(x+\f(π,4)))+cs2x-lg2|x|-eq \f(1,2)
=eq \f(1,2)cs 2x+eq \f(1+cs 2x,2)-lg2|x|-eq \f(1,2)
=cs 2x-lg2|x|,
令f(x)=0,即cs 2x=lg2|x|,
在同一坐标系中画出函数y=cs 2x和y=lg2|x|的图象,
如图所示,两个函数图象有两个不同的交点,
所以函数f(x)的零点个数为2,故选B.
16.已知函数f(x)=cs xeq \b\lc\(\rc\)(\a\vs4\al\c1(\r(3)sin x-cs x))+m(m∈R),将y=f(x)的图象向左平移eq \f(π,6)个单位长度后得到g(x)的图象,且y=g(x)在区间eq \b\lc\[\rc\](\a\vs4\al\c1(\f(π,4),\f(π,3)))内的最小值为eq \f(\r(3),2).
(1)求m的值;
(2)在锐角三角形ABC中,若geq \b\lc\(\rc\)(\a\vs4\al\c1(\f(C,2)))=-eq \f(1,2)+eq \r(3),求sin A+cs B的取值范围.
解 (1)∵f(x)=cs x(eq \r(3)sin x-cs x)+m
=eq \f(\r(3),2)sin 2x-eq \f(1,2)cs 2x+m-eq \f(1,2)
=sineq \b\lc\(\rc\)(\a\vs4\al\c1(2x-\f(π,6)))+m-eq \f(1,2).
∴g(x)=sineq \b\lc\[\rc\](\a\vs4\al\c1(2\b\lc\(\rc\)(\a\vs4\al\c1(x+\f(π,6)))-\f(π,6)))+m-eq \f(1,2)
=sineq \b\lc\(\rc\)(\a\vs4\al\c1(2x+\f(π,6)))+m-eq \f(1,2).
∵x∈eq \b\lc\[\rc\](\a\vs4\al\c1(\f(π,4),\f(π,3))),则2x+eq \f(π,6)∈eq \b\lc\[\rc\](\a\vs4\al\c1(\f(2π,3),\f(5π,6))).
当2x+eq \f(π,6)=eq \f(5π,6)时,g(x)在eq \b\lc\[\rc\](\a\vs4\al\c1(\f(π,4),\f(π,3)))上取得最小值eq \f(1,2)+m-eq \f(1,2)=eq \f(\r(3),2),
解得m=eq \f(\r(3),2).
(2)∵geq \b\lc\(\rc\)(\a\vs4\al\c1(\f(C,2)))=sineq \b\lc\(\rc\)(\a\vs4\al\c1(C+\f(π,6)))+eq \f(\r(3),2)-eq \f(1,2)=-eq \f(1,2)+eq \r(3),
∴sineq \b\lc\(\rc\)(\a\vs4\al\c1(C+\f(π,6)))=eq \f(\r(3),2),
∵C∈eq \b\lc\(\rc\)(\a\vs4\al\c1(0,\f(π,2))),则C+eq \f(π,6)∈eq \b\lc\(\rc\)(\a\vs4\al\c1(\f(π,6),\f(2π,3))),
∴C+eq \f(π,6)=eq \f(π,3),即C=eq \f(π,6).
∴sin A+cs B=sin A+cseq \b\lc\(\rc\)(\a\vs4\al\c1(\f(5π,6)-A))
=sin A-eq \f(\r(3),2)cs A+eq \f(1,2)sin A=eq \f(3,2)sin A-eq \f(\r(3),2)cs A
=eq \r(3)sineq \b\lc\(\rc\)(\a\vs4\al\c1(A-\f(π,6))).
∵△ABC是锐角三角形,
则eq \b\lc\{\rc\ (\a\vs4\al\c1(0
∴A-eq \f(π,6)∈eq \b\lc\(\rc\)(\a\vs4\al\c1(\f(π,6),\f(π,3))),
∴eq \f(1,2)
即eq \f(\r(3),2)
∴sin A+cs B的取值范围是eq \b\lc\(\rc\)(\a\vs4\al\c1(\f(\r(3),2),\f(3,2))).

