搜索
      上传资料 赚现金

      4.1指数与指数函数【错题训练】-高中同步(人教A版)数学必修一错题归纳+错题训练试题(含答案)

      • 1.36 MB
      • 2025-09-09 17:25:14
      • 85
      • 0
      • 教习网会员03
      加入资料篮
      立即下载
      压缩包含2份文件 展开
      文件列表(2份) 收起
      练习
      4.1指数与指数函数【错题训练】(我的错题本)人教A必修一.docx
      预览
      练习
      4.1指数与指数函数【错题归纳】(我的错题本)人教A必修一.docx
      预览
      正在预览:4.1指数与指数函数【错题训练】(我的错题本)人教A必修一.docx
      4.1指数与指数函数【错题训练】(我的错题本)人教A必修一第1页
      1/15
      4.1指数与指数函数【错题训练】(我的错题本)人教A必修一第2页
      2/15
      4.1指数与指数函数【错题训练】(我的错题本)人教A必修一第3页
      3/15
      4.1指数与指数函数【错题归纳】(我的错题本)人教A必修一第1页
      1/15
      4.1指数与指数函数【错题归纳】(我的错题本)人教A必修一第2页
      2/15
      4.1指数与指数函数【错题归纳】(我的错题本)人教A必修一第3页
      3/15
      还剩12页未读, 继续阅读

      数学必修 第一册无理数指数幂及其运算性质课时练习

      展开

      这是一份数学必修 第一册无理数指数幂及其运算性质课时练习,文件包含41指数与指数函数错题训练我的错题本人教A必修一docx、41指数与指数函数错题归纳我的错题本人教A必修一docx等2份试卷配套教学资源,其中试卷共30页, 欢迎下载使用。

      1. 化简:.
      2. 若函数且在区间上单调递增,则实数的取值范围为()
      A.
      B.
      C.
      D.
      3.求函数的定义域和值域.
      4. 函数的图象不经过第一象限,则实数的取值范围为 .
      5.已知,,,则( )
      A. B. C. D.
      类型一:指数运算错误
      【错因解读】指数运算忽略底数的范围,不会进行指数与指数幂的运算与化简,从而出现错误.
      【典例引导】化简:.
      【错误解法】原式
      【正确解法】原式.
      【补救措施】题目中含有与,在解答过程中很多同学不能深入理解,没有考虑这个前提条件,即,导致出现了
      总结:对于根式的计算,需要判断根号下与0的大小关系,避免因不会化简根式致错.
      对于,当为奇数,为偶数时,应考虑""这个隐含条件.
      另外,指数幂的运算首先将根式、分数指数幂统一为分数指数幂,以便利用法则计算,但应注意:
      (1)必须同底数幂相乘,指数才能相加;
      (2)运算的先后顺序.
      (3)当底数是负数时,先确定符号,再把底数化为正数.
      (4)运算结果不能同时含有根号和分数指数,也不能既有分母又含有负指数.
      【再练一个】(2027届全国高一上期周测)
      1.下列各式正确的是( )
      A.B.
      C.D.
      类型二:忽视对底数的讨论
      【错因解读】指数函数中底数的讨论不全面或未进行底数讨论,单调性判断有误,误用指数函数的性质致错.
      【典例引导】若函数且在区间上单调递增,则实数的取值范围为( )
      A.
      B.
      C.
      D.
      【错误解法】选D
      在上单调递增,在上单调递减,
      根据复合函数的单调性可知,在上单调递增,在上单调递减,
      因为函数在上单调递增,
      所以,解得.
      所以的取值范围为.
      【正确解法】选C
      根据复合函数的单调性可知,
      当时,在上单调递增,在上单调递减,
      因为函数在上单调递增,所以,无解;
      当时,在上单调递减,在上单调递增,
      因为函数在上单调递增,所以,解得:.
      所以的取值范围为.
      【补救措施】本例题中忽视了对底数的分类讨论.
      总结:在底数未知的指数函数中,在求解前要重视对底数的分类讨论.
      【再练一个】
      2.已知函数(且)在区间上单调递增,则实数a的取值范围是( )
      A.B.C.D.
      类型三:忽视函数定义域、值域等隐含条件
      【错因解读】在解决函数、方程等问题中忽视了指数函数的值域,定义域等隐含条件,造成条件不全,不等式漏解等问题.
      【典例引导】求函数的定义域和值域.
      【错误解法】要使函数有意义,则.即的定义域为.
      因为,所以.所以函数的值域为.
      【正确解法】要使函数有意义,则.即的定义域为.
      因为,即,所以.
      又,所以函数的值域为,且.
      【补救措施】在解题过程中忽视了指数函数的值域这个隐含条件,而只是根据题目条件得出是不全面的.
      总结:指数函数,且的值域只能是的子集,解题时一定要结合具体情况加以分析讨论.
      【再练一个】
      3.求函数的值域.
      类型四:不会利用指数函数图象解决问题
      【错因解读】不会利用图象解决指数函数问题;画函数的图象时,没有注意到渐近线的限制,绘图不准确致错.
      【典例引导】函数的图象不经过第一象限,则实数的取值范围为 .
      【错误解法】画出的图像,
      由题意,
      函数的图象不经过第一象限,

      故答案为:
      【正确解法】画出的图像(红线),
      同时向下平移一个单位得到(黑线)
      结合图象可知:,
      故答案为:
      【补救措施】画函数的图象时,需要注意到渐近线的限制,同时注意运用函数平移的规律,数形结合解决问题.
      总结:根据指数函数可知,存在渐近线为,在解答与其图象相关问题时,要特别注意渐近线起到的对图象的约束作用.
      函数平移的规律:上加下减(y),左加右减(x).
      【再练一个】(2027届云南曲靖高一下期期中)
      4.已知幂函数在区间上单调递减,则函数的图象过定点( )
      A.B.C.D.
      类型五:把握不准比较指数幂的方法
      【错因解读】在比较大小不会利用指数函数的单调性或不会运用中间值比较指数幂的大小.
      【典例引导】已知,,,则( )
      A. B. C. D.
      【错误解法】因为是R上的增函数,
      又,
      所以,即,
      因为函数在上单调递减,,
      所以,即,
      无法比较大小,
      故无解.
      【正确解法】因为是R上的减函数,
      又,
      所以,即,
      因为函数在上单调递增,,
      所以,即,
      .
      故选:D.
      【补救措施】本例题的错误在于,不会利用指数函数的单调性可判断,不会利用幂函数的单调性可判断.没有合理进行指数函数性质的运用.
      总结:同底比单调性,不能化成同底数的,一般引入0、1等中间量比较大小,比较大小时可以数形结合.
      【再练一个】
      5.已知,则( )
      A.B.
      C.D.
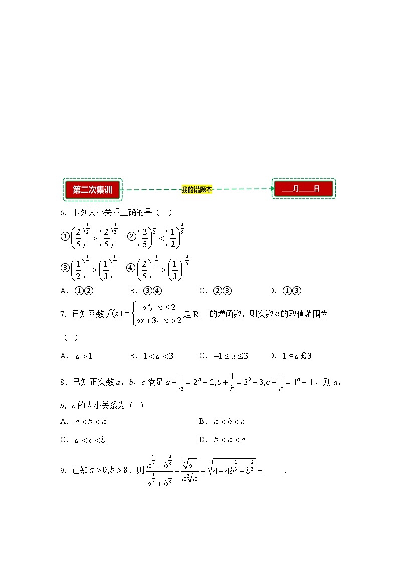
      (易错点:指数运算错误)(2027届全国高一上周测)
      6.若,,则下列式子值为的是( )
      A.B.C.D.
      (易错点:忽视对底数的讨论)(2027届浙江高一下期阶段测试)
      7.已知函数在定义域上为增函数,则实数的取值范围为( )
      A.B.C.D.
      (易错点:忽视函数定义域、值域等隐含条件)
      8.要使函数在时恒大于0,则实数a的取值范围是 .
      (易错点:把握不准比较指数幂的方法)
      9.下列关系中正确的是( )
      A.B.
      C.D.
      (易错点:不会利用指数函数图象解决问题)
      10.已知实数满足等式,则下列关系式成立的是( )
      A.B.C.D.
      《4.1 指数与指数函数【错题档案】(我的错题本)人教A必修一》参考答案:
      1.A
      【分析】借助指数幂的运算法则计算即可得.
      【详解】对A:,,故A正确;
      对B:,故B错误;
      对C:,故C错误;
      对D:,故D错误.
      故选:A.
      2.A
      【分析】利用复合函数单调,结合分段讨论外函数单调性,再确定内函数二次函数的单调性即可求解.
      【详解】当时,,所以外函数是单调递减的指数函数,
      此时要使得函数在区间上单调递增,
      则满足二次函数在区间上单调递减,
      即满足对称轴,解得,结合,可得;
      当时,,所以外函数是单调递增的指数函数,
      此时要使得函数在区间上单调递增,
      则满足二次函数在区间上单调递增,
      即满足对称轴,解得,结合,可得;
      综上可得a的取值范围是或,
      故选:A.
      3.
      【分析】利用换元法结合二次函数的单调性得出值域.
      【详解】令,,则.
      因为函数在上单调递增,
      所以,即函数的值域为.
      4.A
      【分析】由幂函数的性质求出,再由指数函数的性质可得.
      【详解】因为幂函数在区间上单调递减,
      则解得,
      所以,,则,即函数的图象过定点.
      故选:A.
      5.C
      【分析】由已知可得,然后结合指数函数单调性和分式不等式性质可以判定的正负,进而做出判定.
      【详解】∵,∴,∴,
      又∵,∴,∴;
      又,且,
      ∴,∴,
      ∴.
      故选:C
      6.C
      【分析】利用指数幂的运算性质化简可得结果.
      【详解】因为,,所以,,
      所以,
      故选:C.
      7.C
      【分析】根据分段函数单调性的判定方法,结合指数函数与二次函数的图象与性质,列出满足条件的不等式组,即可求解.
      【详解】由函数在定义域上为增函数,
      则满足,解得,即实数的取值范围为.
      故选:C.
      8.
      【分析】利用分离参数法得到在时恒成立,令,求出的值域,即可求出实数a的取值范围.
      【详解】因为函数在时恒大于0,
      所以在时恒成立.
      令,则.
      因为,所以.
      令.
      因为在上为减函数,所以,即
      因为恒成立,所以.
      故答案为:
      9.B
      【分析】将变形为,再利用指数函数在上的单调性即可得解.
      【详解】,又在上单调递减,,
      ,即.
      故选:B
      10.ABD
      【分析】根据指数函数图象,数形结合比较参数大小即可.
      【详解】如图,观察知的关系为或或.
      故选:ABD.

      相关试卷 更多

      资料下载及使用帮助
      版权申诉
      • 1.电子资料成功下载后不支持退换,如发现资料有内容错误问题请联系客服,如若属实,我们会补偿您的损失
      • 2.压缩包下载后请先用软件解压,再使用对应软件打开;软件版本较低时请及时更新
      • 3.资料下载成功后可在60天以内免费重复下载
      版权申诉
      若您为此资料的原创作者,认为该资料内容侵犯了您的知识产权,请扫码添加我们的相关工作人员,我们尽可能的保护您的合法权益。
      入驻教习网,可获得资源免费推广曝光,还可获得多重现金奖励,申请 精品资源制作, 工作室入驻。
      版权申诉二维码
      高中数学人教A版 (2019)必修 第一册电子课本

      4.1.2 无理数指数幂及其运算性质

      版本: 人教A版 (2019)

      年级: 必修 第一册

      切换课文
      • 同课精品
      • 所属专辑17份
      • 课件
      • 教案
      • 试卷
      • 学案
      • 更多
      欢迎来到教习网
      • 900万优选资源,让备课更轻松
      • 600万优选试题,支持自由组卷
      • 高质量可编辑,日均更新2000+
      • 百万教师选择,专业更值得信赖
      微信扫码注册
      手机号注册
      手机号码

      手机号格式错误

      手机验证码 获取验证码 获取验证码

      手机验证码已经成功发送,5分钟内有效

      设置密码

      6-20个字符,数字、字母或符号

      注册即视为同意教习网「注册协议」「隐私条款」
      QQ注册
      手机号注册
      微信注册

      注册成功

      返回
      顶部
      学业水平 高考一轮 高考二轮 高考真题 精选专题 初中月考 教师福利
      添加客服微信 获取1对1服务
      微信扫描添加客服
      Baidu
      map