所属成套资源:(人教A版2019必修第一册)高一数学精讲与精练高分突破(附答案)
高中数学人教A版 (2019)必修 第一册5.3 诱导公式习题
展开
这是一份高中数学人教A版 (2019)必修 第一册5.3 诱导公式习题,共17页。试卷主要包含了单选题,多选题,填空题,解答题等内容,欢迎下载使用。
1.(2022·贵州黔东南·高一期末)的值等于( )
A.B.C.D.
2.(2022·辽宁葫芦岛·高一期末)已知为锐角,,则的值为( )
A.B.C.D.
3.(2022·全国·高一)若,则( )
A.B.C.D.
4.(2022·全国·高一)已知,则( )
A.B.C.D.
5.(2022·全国·高一单元测试)在平面直角坐标系中,角的终边与单位圆交于点,则( )
A.B.C.D.
6.(2022·陕西渭南·高一期末)若,且是第三象限角,则( )
A.B.C.D.
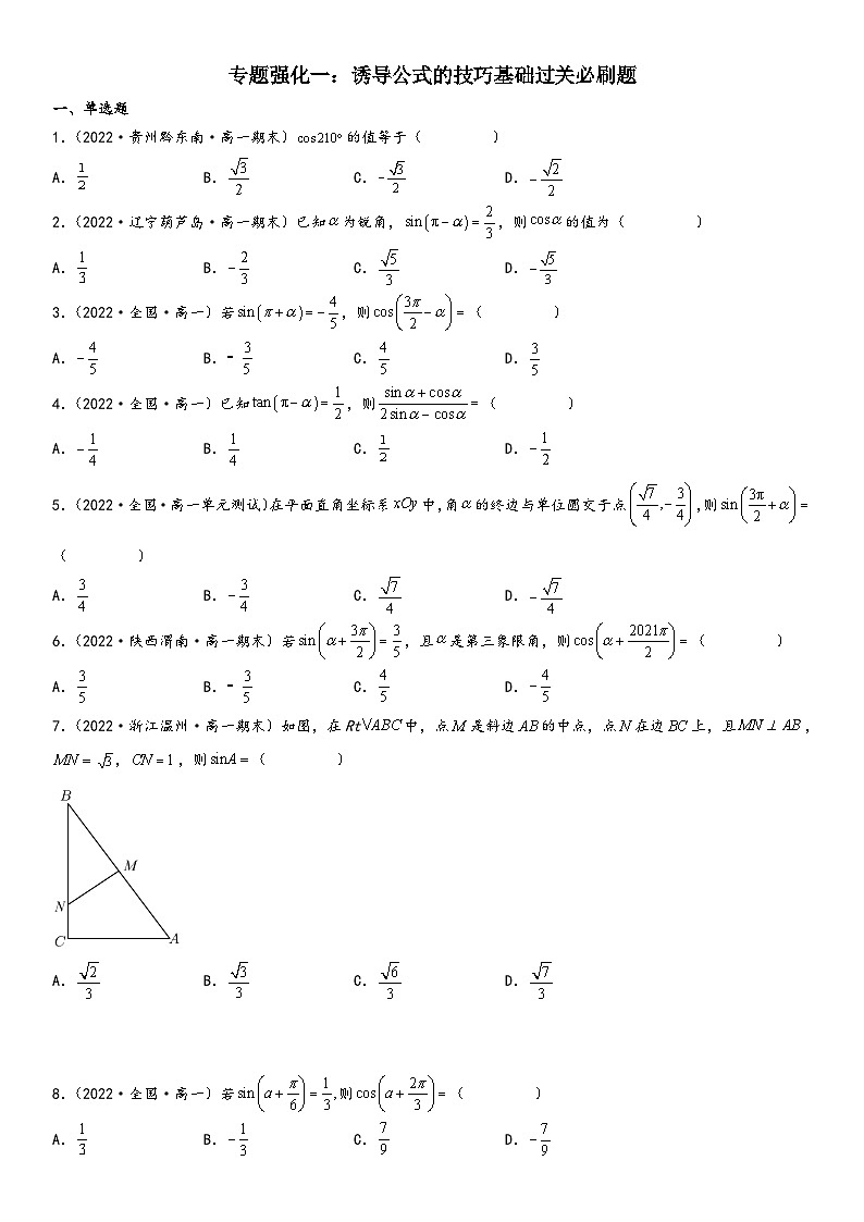
7.(2022·浙江温州·高一期末)如图,在Rt中,点是斜边的中点,点在边上,且,,,则( )
A.B.C.D.
8.(2022·全国·高一)若则( )
A.B.C.D.
9.(2022·辽宁·大连市第一中学高一期中)化简的结果为( )
A.B.C.D.
10.(2022·辽宁·辽师大附中高一阶段练习)已知,则( )
A.B.C.D.2
11.(2022·全国·高一课时练习)已知角的顶点在坐标原点,始边与x轴正半轴重合,终边在直线上,则( )
A.3B.C.-3D.-4
12.(2022·陕西·西安市阎良区关山中学高一期中)若,则的值为( )
A.B.C.D.
二、多选题
13.(2022·山东东营·高一期中)在平面直角坐标系中,角的始边为 的正半轴,终边经过点,则下列式子正确的是( )
A.B.
C.D.若为钝角,则
14.(2022·全国·高一课时练习)已知角满足,则的取值可能为( )
A.B.C.D.
15.(2022·全国·高一课时练习)在平面直角坐标系中,若角与角的始边均与轴的非负半轴重合,终边关于 轴对称,则下列等式恒成立的是( )
A.B.
C.D.
16.(2022·河北保定·高一期末)已知为锐角,角的终边上有一点,x轴的正半轴和以坐标原点O为圆心的单位圆的交点为N,则( )
A.若,则
B.劣弧的长度为
C.劣弧所对的扇形的面积为是
D.
17.(2022·全国·高一课时练习)已知,则( )
A.B.
C.D.
18.(2022·辽宁实验中学高一期中)已知,则( )
A.B.
C.D.
19.(2022·云南·祥云祥华中学高一期末)下列命题中正确的是( )
A.若角是第三象限角,则可能在第三象限
B.
C.若且,则为第二象限角
D.与终边相同的角可以表示为
三、填空题
20.(2022·上海市曹杨中学高一期末)已知,则的值为______.
21.(2022·上海·华东师范大学第三附属中学高一期末)角终边上一点,则___________.
22.(2022·湖北·郧阳中学高一阶段练习)若,则__________.
23.(2022·江苏·南京市第一中学高一阶段练习)若,则______.
24.(2022·全国·高一课时练习)已知角的顶点在坐标原点,始边与x轴非负半轴重合,终边经过点,则的值为______.
25.(2022·江苏省如皋中学高一期末)的值为__________.
四、解答题
26.(2022·广西·桂林市临桂区五通中学高一期中)
(1)化简:;
(2)已知角的终边经过点,求,的值;
27.(2022·湖北宜昌·高一阶段练习)已知.
(1)求的值;
(2)若为第四象限角,求的值.
28.(2022·陕西·蒲城县蒲城中学高一期末)(1)计算:;
(2)已知,求的值.
29.(2022·浙江·杭州高级中学高一期末)(1)化简;
(2)已知关于的方程的两根为和,.求实数以及的值.
30.(2022·江西省万载中学高一阶段练习)已知
(1)化简
(2)若,α为第三象限角,求的值.
31.(2022·安徽省舒城中学高一开学考试)已知α是第三象限角,且.
(1)化简;
(2)若,求;
(3)若,求.
32.(2022·全国·高一课时练习)已知,为第二象限角.
(1)若,求的值;
(2)若,求的值.
参考答案:
1.C
【分析】根据诱导公式即可求得函数值.
【详解】.
故选:C.
2.C
【分析】由诱导公式与同角三角函数的基本关系求解即可
【详解】因为,
所以,
又为锐角,
所以,
故选:C
3.A
【分析】利用诱导公式可得且,即可得答案.
【详解】∵,
∴,
∴.
故选:A.
4.A
【分析】由三角函数诱导公式求得,将进行弦化切,可得,将代入计算可得答案.
【详解】因为,所以,
所以,
故选:A.
5.D
【分析】根据三角函数的定义求出,再由诱导公式计算可得;
【详解】解:依题意,,,所以,
故.
故选:D
6.C
【分析】利用诱导公式和同角三角函数平方关系可求得,再次利用诱导公式可求得结果.
【详解】,,又是第三象限角,
,.
故选:C.
7.C
【分析】设出,利用列出方程,求出,进而求出答案.
【详解】因为,点是斜边的中点,
设,则,
由勾股定理得:,
因为在Rt中,,
所以,
而,因为,
所以,解得:或(舍去),
所以
故选:C
8.B
【分析】利用诱导公式计算可得;
【详解】解:因为,
所以,
故选:B.
9.C
【分析】利用诱导公式和平方关系求解.
【详解】解:,
,
,
,
故选:C
10.D
【分析】应用诱导公式可得,再由平方关系及由弦化切求目标式的值.
【详解】由诱导公式得:,
所以.
则.
故选:D
11.C
【分析】通过题目所给条件求出 ,然后通过诱导公式对进行化简,最后弦化切得到答案
【详解】由已知可得,,
则原式.
故选:C
12.D
【分析】根据诱导公式化简整理,即可得答案.
【详解】由诱导公式可得,则,
所求.
故选:D
13.CD
【分析】根据终边上的点求出三角函数值进行计算,诱导公式,余弦函数在第二象限单调递减即可解决.
【详解】解:因为角终边经过点,
则
对于 :,故错误;
对于:,故错误;
对于:,故正确;
对于:因为当,单调递减,而,即,所以,故正确.
故选:CD.
14.AC
【分析】分为奇数、为偶数两种情况讨论,利用诱导公式化简所求代数式,即可得解.
【详解】因为,则且,
当为奇数时,原式;
当为偶数时,原式.
故原式的取值可能为、.
故选:AC.
15.BD
【分析】不妨令,,由题意知或,进而根据诱导公式逐项化简即可.
【详解】不妨令,,由题意知或,
∴,故A错误;,故B正确;,故C错误;,故D正确,
故选:BD
16.ABD
【分析】根据题意,结合诱导公式化简整理,可判断A的正误;根据弧长公式,可判断B的正误;根据扇形面积公式,可判断C的正误,根据同角三角函数的关系,可判断D的正误,即可得答案.
【详解】A:
,故,故A正确;
B:劣弧的长度为,故B正确;
C:只有当时,扇形的面积为,故C不正确;
D:,
∵为锐角,故.故D正确.
故选:ABD
17.AC
【分析】依题意,可得,再结合,利用同角三角函数间的关系及诱导公式,对四个选项逐一判断可得答案.
【详解】解:,
又,
,故A正确;
,故B错误;
又,故C正确;
,故D错误,
故选:AC.
18.BD
【分析】利用诱导公式和同角三角函数的关系对原式化简变形可判断AB,利用同角三角函数的关系将式子中的三角函数转化为只含正切的式子,再代值计算即可判断CD
【详解】由题意可得,则,故A错误,B正确,
所以,则C错误,D正确.
故选:BD
19.AC
【分析】对于A:根据角所在的象限,可写出角的范围,从而可以求出的范围,即可判断出所在的象限;
对于B:运用变名的诱导公式进行化简即可求值;
对于C:根据可得出角所在的象限,根据可得出角所在的象限,从而可判断选项C.
对于D:根据角度与弧度的单位不能混用,从而判断选项D.
【详解】对于A:因为角是第三象限角,所以,
所以,
当时,为第一象限角;
当时,为第三象限角;
当时,为第四象限角,故可能在第三象限正确,故选项A正确;
对于:,故选项不正确;
对于:若,则为第二象限角或者第四象限角,
若,则为第一象限角,第二象限角或者终边在的正半轴上,
所以同时满足且,则为第二象限角,故选项正确;
对于D:与终边相同的角可以表示为,故选项D错误.
故选:AC.
20.##0.8
【分析】利用诱导公式化简即可.
【详解】因为,所以,
故答案为:.
21.
【分析】首先根据三角函数定义求出正弦值以及正切值,再对式子利用诱导公式化简即可.
【详解】因为角终边上一点,根据三角函数定义,可知, .而根据诱导公式、,
,则
将函数值代入可得.
故答案为:
22.0
【分析】根据诱导公式计算.
【详解】,
故答案为:0.
23.1
【分析】同角三角函数间的基本关系和诱导公式化简并求值.
【详解】,
∴.
故答案为:1
24.8
【分析】利用诱导公式对原式进行化简,然后采取弦化切,再通过三角函数定义得到值代入即可.
【详解】由题意,知,
则原式.
故答案为:.
25.1
【分析】根据诱导公式,平方关系即可解出.
【详解】原式=.
故答案为:1.
26.(1)
(2),.
【分析】(1)利用诱导公式求解即可.
(2)利用三角函数定义求解即可.
【详解】(1).
(2)因为角的终边经过点,所以,
所以,.
27.(1)
(2)
【分析】(1)利用已知条件化简求出的值,然后利用诱导公式及弦化切,
将代入计算即可;
(2)利用及,根据在第四象限角求解即可.
【详解】(1)由题意得,
.
(2)由,得,
代入,得,
因为为第四象限角,所以,
,
故.
28.(1);(2)20.
【分析】(1)根据诱导公式及特殊角的三角函数值即得;
(2)利用齐次式及同角关系式即得.
【详解】(1)原式
;
(2)原式.
29.(1);(2),
【分析】(1)利用诱导公式化简即可;
(2)利用韦达定理得到,,再将两边平方即可求出,最后由求出.
【详解】解:(1)
,
即.
(2)因为关于的方程的两根为和,
所以,,
所以,所以,
因为,所以,且,所以,
30.(1);
(2).
【分析】(1)由诱导公式即可化简;
(2)先求得,再根据同角三角函数关系即可求得.
【详解】(1)原式
即.
(2)由,得,即.
为第三象限角,所以,
.
31.(1)
(2)
(3)
【分析】(1)根据诱导公式化简求解.
(2)利用同角三角函数的基本关系以及余弦在各象限的符号进行求解.
(3)利用诱导公式进行大角化小角,负角化正角,再利用特殊角的余弦值进行求解.
(1)
根据诱导公式有:
(2)
因为,α是第三象限角,
所以
所以
(3)
因为,
所以
.
32.(1)
(2)
【分析】(1)先利用同角三角函数的关系化简,则由,可得,而,代值计算即可,
(2)由已恬条件可得,然后利用诱导公式和同角三角函数的关系化简计算即可.
(1)
为第二象限角,则.
.
∵,∴.
∴.
(2)
,
则.
∵为第二象限角,
∴,,.
∴
.
相关试卷
这是一份高中数学人教A版 (2019)必修 第一册第五章 三角函数5.5 三角恒等变换课后作业题,共20页。试卷主要包含了单选题,多选题,填空题,解答题等内容,欢迎下载使用。
这是一份高中数学人教A版 (2019)必修 第一册5.3 诱导公式复习练习题,共31页。
这是一份人教A版 (2019)必修 第一册3.2 函数的基本性质同步训练题,共23页。试卷主要包含了单选题,多选题,填空题,解答题等内容,欢迎下载使用。

