- 16.2.1 二次根式的乘法(第一课时)(分层作业)-2023-2024学年八年级数学下册同步备课精品课件+导学案+分层作业(人教版) 课件 0 次下载
- 16.2.1 二次根式的乘法(第一课时)(导学案)-2023-2024学年八年级数学下册同步备课精品课件+导学案+分层作业(人教版) 课件 0 次下载
- 16.3.1 二次根式的加减(第一课时)(分层作业)-2023-2024学年八年级数学下册同步备课精品课件+导学案+分层作业(人教版) 课件 0 次下载
- 16.3.1 二次根式的加减(第一课时)(导学案)-2023-2024学年八年级数学下册同步备课精品课件+导学案+分层作业(人教版) 课件 0 次下载
- 16.3.2 二次根式的混合运算(第二课时)(分层作业)-2023-2024学年八年级数学下册同步备课精品课件+导学案+分层作业(人教版) 课件 0 次下载
人教版八年级下册16.1 二次根式精品备课作业ppt课件
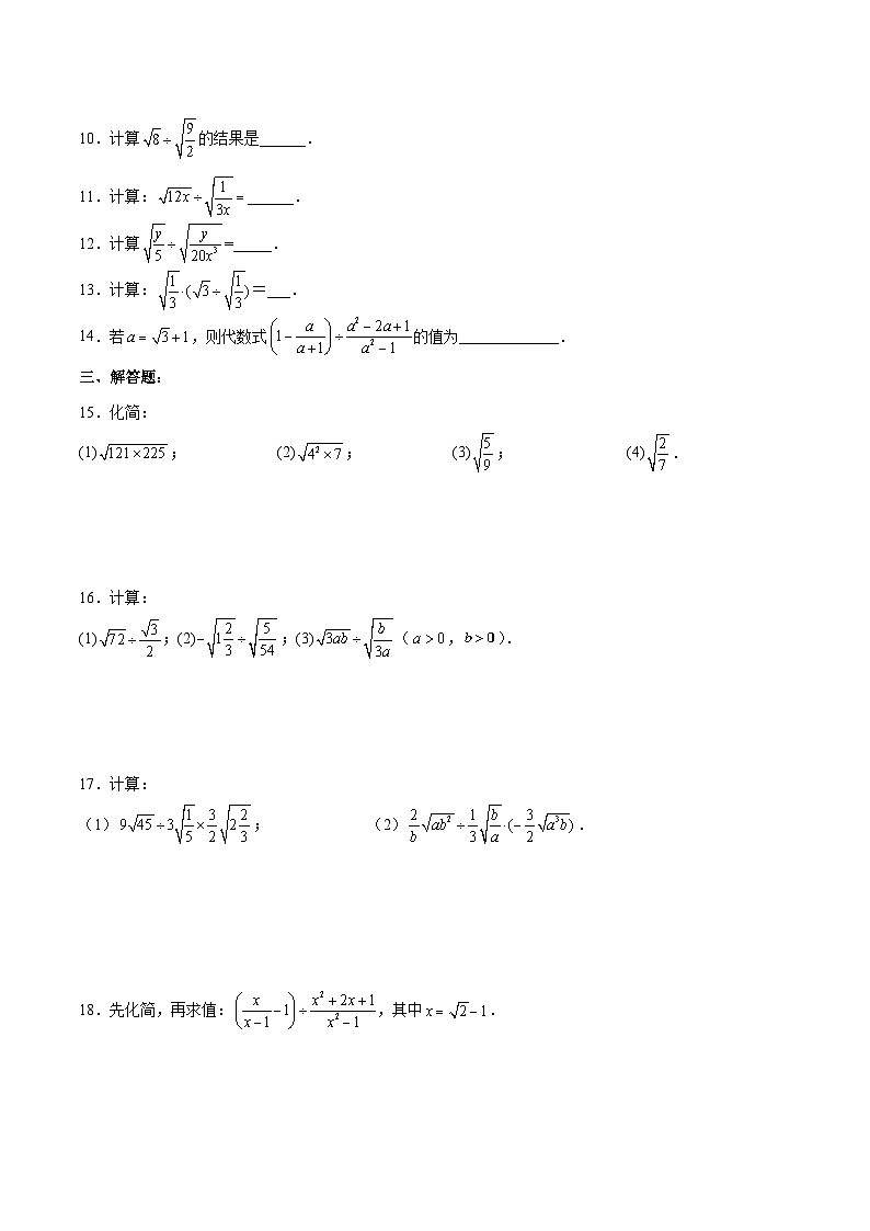
展开人教版初中数学八年级下册16.2.2 二次根式的除法 同步练习夯实基础篇一、单选题:1.下列二次根式中,最简二次根式是( )A. B. C. D.2.下列计算正确的是( )A. B. C. D.3.下列各式的计算中,结果为2的是( )A.÷ B.× C.÷ D.×4.能使等式成立的的取值范围是( )A.且 B. C. D.5.如果,,那么下列各式:①,②,③,④.其中正确的个数( )A.1个 B.2个 C.3个 D.4个6.已知的面积为,底边为,则底边上的高为 A. B. C. D.7.已知最简二次根式与的被开方数相同,则的值为( )A.1 B.2 C.3 D.4二、填空题: 8.在二次根式;;;;;;中是最简二次根式的是______.9.计算;(1)__________________;(2)_________;(3)_________;(4)=__________,(5)__________;(6)____________;(7)__________;(8)__________.10.计算的结果是______.11.计算:______.12.计算=_____.13.计算:=___.14.若,则代数式的值为_____________.三、解答题: 15.化简:(1); (2); (3); (4).16.计算:(1);(2);(3)(,).17.计算:(1); (2).18.先化简,再求值:,其中.能力提升篇一、单选题:1.在如图的方格中,若要使横,竖,斜对角的3个实数相乘都得到同样的结果,则空格中代表的实数为( )A. B. C. D.2.化简二次根式得( )A. B. C. D.3.已知,且a>b>0,则的值为( )A. B.± C.2 D.±2二、填空题:4.把的根号外因式移到根号内得____________.5.对于任意不相等的两个数,,定义一种运算*如下:.如,那么______.6.已知等式成立,化简|x﹣6|+的结果为 _____.三、解答题:7.已知和是相等的最简二次根式.求,的值;求的值.
人教版八年级下册第十九章 一次函数19.3 课题学习 选择方案精品备课作业课件ppt: 这是一份人教版八年级下册<a href="/sx/tb_c95087_t3/?tag_id=26" target="_blank">第十九章 一次函数19.3 课题学习 选择方案精品备课作业课件ppt</a>,文件包含193课题学习选择方案分层作业-八年级数学下册同步备课系列人教版原卷版docx、193课题学习选择方案分层作业-八年级数学下册同步备课系列人教版解析版docx等2份课件配套教学资源,其中PPT共0页, 欢迎下载使用。
人教版八年级下册第十九章 一次函数19.1 变量与函数19.1.1 变量与函数优秀备课作业ppt课件: 这是一份人教版八年级下册<a href="/sx/tb_c102623_t3/?tag_id=26" target="_blank">第十九章 一次函数19.1 变量与函数19.1.1 变量与函数优秀备课作业ppt课件</a>,文件包含1911变量与常量分层作业-八年级数学下册同步备课系列人教版原卷版docx、1911变量与常量分层作业-八年级数学下册同步备课系列人教版解析版docx等2份课件配套教学资源,其中PPT共0页, 欢迎下载使用。
初中数学人教版八年级下册18.2.3 正方形试讲课备课作业课件ppt: 这是一份初中数学人教版八年级下册<a href="/sx/tb_c88745_t3/?tag_id=26" target="_blank">18.2.3 正方形试讲课备课作业课件ppt</a>,文件包含1825正方形分层作业-八年级数学下册同步备课系列人教版原卷版docx、1825正方形分层作业解析版docx等2份课件配套教学资源,其中PPT共0页, 欢迎下载使用。

