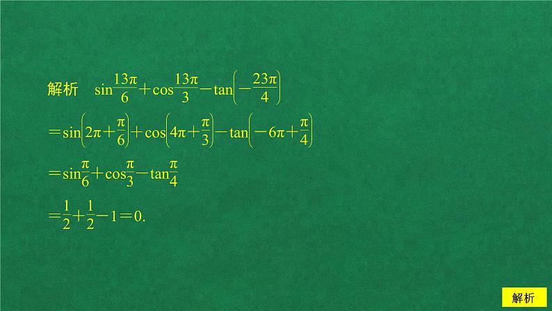
人教A版 (2019)必修 第一册第五章 三角函数5.2 三角函数的概念作业ppt课件
展开课后课时精练 本课结束
高中人教A版 (2019)4.2 指数函数教学课件ppt: 这是一份高中人教A版 (2019)4.2 指数函数教学课件ppt,共24页。
高中数学人教A版 (2019)必修 第一册3.2 函数的基本性质教学ppt课件: 这是一份高中数学人教A版 (2019)必修 第一册3.2 函数的基本性质教学ppt课件,共23页。
高中数学人教A版 (2019)必修 第一册第五章 三角函数5.3 诱导公式作业课件ppt: 这是一份高中数学人教A版 (2019)必修 第一册第五章 三角函数5.3 诱导公式作业课件ppt,共24页。

