数学人教B版 (2019)2.2.4 均值不等式及其应用课文配套ppt课件
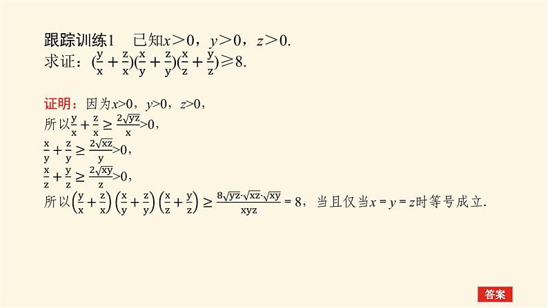
展开(2)若a>0,b>0,a+b=ab,则a+b的最小值为( )A.2 B.4 C.6 D.8
方法归纳常数代换法求最值的方法步骤常数代换法适用于求解条件最值问题.应用此种方法求解最值的基本步骤为:(1)根据已知条件或其变形确定定值(常数);(2)把确定的定值(常数)变形为1;(3)把“1”的表达式与所求最值的表达式相乘或相除,进而构造和或积的形式;(4)利用均值不等式求最值.
跟踪训练2 (1)已知正数x,y满足x+2y-xy=0,则x+2y的最小值为( )A.8 B.4 C.2 D.0
题型3 利用基本不等式解决实际问题例3 某食品厂定期购买面粉,已知该厂每天需用面粉6吨,每吨面粉的价格为1 800元,面粉的保管费及其他费用为平均每吨每天3元,购买面粉每次需支付运费900元.求该厂多少天购买一次面粉,才能使平均每天支付的总费用最少?
状元随笔 两个正数的积为常数时,它们的和有最小值;两个正数的和为常数时,它们的积有最大值.
教材反思利用基本不等式解决实际问题的步骤解实际问题时,首先审清题意,然后将实际问题转化为数学问题,再利用数学知识(函数及不等式性质等)解决问题.用基本不等式解决此类问题时,应按如下步骤进行:(1)理解题意,设变量,设变量时一般把要求最大值或最小值的变量定为函数;(2)建立相应的函数关系式,把实际问题抽象为函数的最大值或最小值问题;(3)在定义域内,求出函数的最大值或最小值;(4)正确写出答案.
跟踪训练3 某渔业公司今年年初用98万元购进一艘渔船用于捕捞,第一年需要各种费用12万元.从第二年起包括维修费在内每年所需费用比上一年增加4万元.该船每年捕捞总收入50万元.(1)问捕捞几年后总盈利最大,最大是多少?
(2)问捕捞几年后的平均利润最大,最大是多少?
必修 第一册2.2.4 均值不等式及其应用教学课件ppt: 这是一份必修 第一册2.2.4 均值不等式及其应用教学课件ppt,共17页。
人教B版 (2019)必修 第一册第一章 集合与常用逻辑用语1.1 集合1.1.3 集合的基本运算教案配套课件ppt: 这是一份人教B版 (2019)必修 第一册第一章 集合与常用逻辑用语1.1 集合1.1.3 集合的基本运算教案配套课件ppt,共30页。PPT课件主要包含了新知初探•自主学习,所有元素,知识点二并集,答案A,答案B,答案C,x3≤x5,课堂探究•素养提升,答案D,状元随笔等内容,欢迎下载使用。
高中数学人教A版 (2019)必修 第一册2.2 基本不等式课文课件ppt: 这是一份高中数学人教A版 (2019)必修 第一册2.2 基本不等式课文课件ppt,共22页。PPT课件主要包含了新知初探·课前预习,答案C,答案A,题型探究·课堂解透,答案B等内容,欢迎下载使用。

