所属成套资源:【最新版】高中数学(新人教A版选择性必修第一册)教案+同步课件+习题【全册】
【最新版】高中数学(新人教A版)习题+同步课件限时小练32 与双曲线有关的弦长问题
展开
这是一份【最新版】高中数学(新人教A版)习题+同步课件限时小练32 与双曲线有关的弦长问题,文件包含限时小练32与双曲线有关的弦长问题pptx、限时小练32与双曲线有关的弦长问题BDOCX等2份课件配套教学资源,其中PPT共8页, 欢迎下载使用。
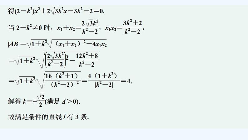
限时小练32 与双曲线有关的弦长问题1.过点A(3,-1)且被A点平分的双曲线-y2=1的弦所在的直线方程是________.答案 3x+4y-5=0解析 易知所求直线的斜率存在,设为k,则该直线的方程为y+1=k(x-3),代入-y2=1,消去y得关于x的一元二次方程(1-4k2)x2+(24k2+8k)x-36k2-24k-8=0(4-4k2≠0),∴-=6,∴k=-(满足Δ>0),∴所求直线方程为3x+4y-5=0.2.过双曲线x2-=1的右焦点F作直线l交双曲线于A,B两点,若|AB|=4,则满足条件的直线l有________条.答案 3解析 设A(x1,y1),B(x2,y2),当直线l的斜率不存在时,其方程为x=,由得y=±2,∴|AB|=|y1-y2|=4,满足题意.当直线l的斜率存在时,设其方程为y=k(x-),由得(2-k2)x2+2k2x-3k2-2=0.当2-k2≠0时,x1+x2=,x1x2=,|AB|=====4,解得k=±(满足Δ>0).故满足条件的直线l有3条.3.若双曲线E:-y2=1(a>0)的离心率等于,直线y=kx-1与双曲线E的右支交于A,B两点.(1)求k的取值范围;(2)若|AB|=6,求k的值.解 (1)由得故双曲线E的方程为x2-y2=1.设A(x1,y1),B(x2,y2),由得(1-k2)x2+2kx-2=0.①∵直线与双曲线右支交于A,B两点,故即∴1<k<.∴k的取值范围是(1,).(2)由①得x1+x2=,x1x2=,∴|AB|=·=2=6,整理得28k4-55k2+25=0,∴k2=或k2=.又1<k<,∴k=.
相关课件
这是一份【最新版】高中数学(新湘教版)习题+同步课件限时小练32 双曲线的标准方程,文件包含限时小练32双曲线的标准方程pptx、限时小练32双曲线的标准方程DOCX等2份课件配套教学资源,其中PPT共7页, 欢迎下载使用。
这是一份【最新版】高中数学(新人教B版)习题+同步课件限时小练28 双曲线的标准方程,文件包含限时小练28双曲线的标准方程pptx、限时小练28双曲线的标准方程DOCX等2份课件配套教学资源,其中PPT共6页, 欢迎下载使用。
这是一份【最新版】高中数学(新人教A版)习题+同步课件限时小练24 直线与圆相交的弦长问题,文件包含限时小练24直线与圆相交的弦长问题pptx、限时小练24直线与圆相交的弦长问题DOCX等2份课件配套教学资源,其中PPT共6页, 欢迎下载使用。

