初中数学人教版九年级上册21.2.4 一元二次方程的根与系数的关系优秀课件ppt
展开人教版九年级上册
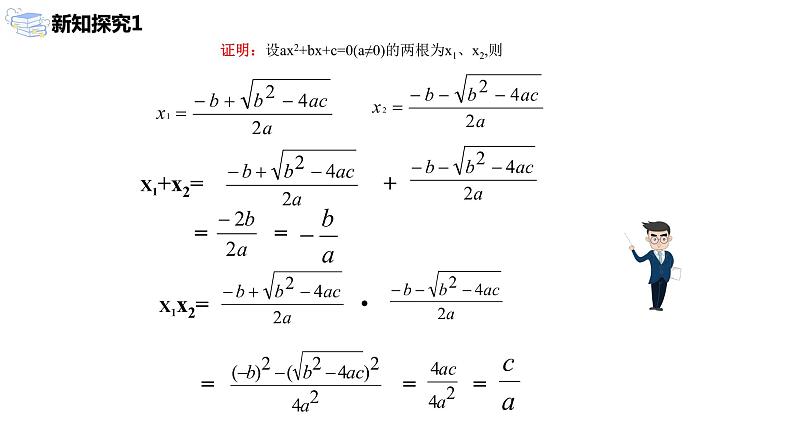
21.2.4 一元二次方程的根与系数的关系
同步练习
一、选择题(共30分)
1、已知一元二次方程2x2-3x+3=0,则( )
A.两根之和为-1.5 B.两根之差为-1.5
C.两根之积为-1.5 D.无实数根
2、已知x=2是一元二次方程x2+mx+2=0的一个解,则m的值是( )
A.﹣3 B.3 C.0 D.0或3
3、若x1、x2是方程2x2-6x+3=0的两个根,则的值为( )
A.2 B.-2 C. D.
4、已知关于x的一元二次方程(a2-3)x2-(a-1)x+1=0的两个实数根互为倒数,则a的值为( )
A.2或-2 B.2 C.-2 D.0
5、已知是关于的一元二次方程的根,则常数k的值为( )
A.0或1 B.1 C.-1 D.1或-1
6、已知方程2x2+4x﹣3=0两根分别是x1和x2,则x1•x2的值等于( )
A.﹣3 B.﹣ C.3 D.
二、填空题(共30分)
7、2、如果x1、x2是一元二次方程2x2+14x-5=0的两个实数根,则x1+x2=_________.
8、设x1,x2是方程2x2-6x+3=0的两根,则x12+x22的值为_________
9、已知关于x的一元二次方程x2-x-3=0的两个实数根分别为α、β,则αβ= .
10、若关于x的方程x2–5x+k=0的一个根是0,则另一个根是 .
11、写出一个以3,-1为根的一元二次方程 。
12、已知a,b为一元二次方程x2+2x-9=0的两根,那么a2+a-b的值为 .
三、解答题(共40分)
13、(10分)已知x1、x2是关于x的方程x2+m2x+n=0(n<0)的两个实数根,y1、y2是关于y的方程y2+5my+7=0的两个实数根,且x1﹣y1=2,x2﹣y2=2,求m的值.
14、(15分)已知:关于x的一元二次方程x2+ax+a﹣2=0.
(1)求证:无论a取任何实数,此方程总有两个不相等的实数根;
(2)当方程的一个根为﹣2时,求方程的另一个根.
15、(15分)已知关于的一元二次方程有两个实数根和.
(1)求实数的取值范围;
(2)当时,求的值.
人教版九年级上册
21.2.4 一元二次方程的根与系数的关系
同步练习参考答案
一、选择题(共30分)
1、已知一元二次方程2x2-3x+3=0,则( )
A.两根之和为-1.5 B.两根之差为-1.5
C.两根之积为-1.5 D.无实数根
【答案】D.
【解析】一元二次方程2x2-3x+3=0,∵b2-4ac=(-3)2-4×2×3=9-24=-15<0,∴此方程无实数根,故选D.
2、已知x=2是一元二次方程x2+mx+2=0的一个解,则m的值是( )
A.﹣3 B.3 C.0 D.0或3
【答案】A.
【解析】设方程的另一根为x1,由根与系数关系则有,2·x1=2,2+x1=-m,得x1=1,m=-3.故选A.
3、若x1、x2是方程2x2-6x+3=0的两个根,则的值为( )
A.2 B.-2 C. D.
【答案】A
【解析】由根与系数关系得:x1+x2=3,x1x2=;∴===2,故选A.
4、已知关于x的一元二次方程(a2-3)x2-(a-1)x+1=0的两个实数根互为倒数,则a的值为( )
A.2或-2 B.2 C.-2 D.0
【答案】C.
【解析】设方程的两根为x1,x2,∵关于x的一元二次方程(a2-3)x2-(a-1)x+1=0的两个实数根互为倒数
∴a2-3≠0,x1•x2==1,∴a2=4,∴a=2或-2,当a=2时,原方程变形为x2-x+1=0,△=1-4<0,此方程无
实数根,∴a=-2,故选C.
5、已知是关于的一元二次方程的根,则常数k的值为( )
A.0或1 B.1 C.-1 D.1或-1
【答案】C.
【解析】设方程的另一根为x1,由根与系数关系则有,0·x1==,即k2-1=0,其一 解得:k=±1, 又1-k≠0, 解得:k≠1,∴k=-1,故选C.
6、已知方程2x2+4x﹣3=0两根分别是x1和x2,则x1•x2的值等于( )
A.﹣3 B.﹣ C.3 D.
【答案】B
【解析】∵方程2x2+4x﹣3=0两根分别是x1和x2,∴x1•x2=﹣,故选B.
二、填空题(共30分)
7、2、如果x1、x2是一元二次方程2x2+14x-5=0的两个实数根,则x1+x2=_________.
【答案】-7.
【解析】:由根与系数的关系得x1+x2=-7.
8、设x1,x2是方程2x2-6x+3=0的两根,则x12+x22的值为_________
【答案】6.
【解析】∵x1,x2是方程2x2-6x+3=0的两个实数根,∴x1+x2=3,x1x2=,∴a2+b2=(a+b)2-2ab=32-3=9=6.
9、已知关于x的一元二次方程x2-x-3=0的两个实数根分别为α、β,则αβ= .
【答案】-3.
【解析】根据题意得αβ=-3.
10、若关于x的方程x2–5x+k=0的一个根是0,则另一个根是 .
【答案】5.
【解析】设方程x2–5x+k=0的另外一个根为x,则x+0=5,解得:x=5.
11、写出一个以3,-1为根的一元二次方程 。
【答案】x2-5x+6=0(答案不唯一).
【解析】根据根与系数的关系:两根之和,两根之积,首先写出两根之和,再写出两根之积,可直接得到方程:
∵2+3=5,2×3=6,∴方程可以为为:x2-5x+6=0.
12、已知a,b为一元二次方程x2+2x-9=0的两根,那么a2+a-b的值为 .
【答案】11
【解析】、将x=a代入方程可得:+2a=9,根据韦达定理可得:a+b=-2,则原式=+2a-a-b=9-(a+b)=9-(-2)=9+2=11.
三、解答题(共40分)
13、(10分)已知x1、x2是关于x的方程x2+m2x+n=0(n<0)的两个实数根,y1、y2是关于y的方程y2+5my+7=0的两个实数根,且x1﹣y1=2,x2﹣y2=2,求m的值.
【答案】4
【解析】、根据题意得x1+x2=﹣m2y1+y2=﹣5m,∵x1﹣y1=2,x2﹣y2=2,∴x1+x2﹣(y1+y2)=4,∴﹣m2+5m=4,
整理得m2﹣5m+4=0,解得m=4或m=1,而m=1时,方程y2+5y+7=0没有实数根,故m=1舍去.
∴m的值为4.
14、(15分)已知:关于x的一元二次方程x2+ax+a﹣2=0.
(1)求证:无论a取任何实数,此方程总有两个不相等的实数根;
(2)当方程的一个根为﹣2时,求方程的另一个根.
【答案】(1)证明见解析;(2)方程的另一个根为0.
【解析】(1)△=a2﹣4×1×(a﹣2)=a2﹣4a+8=(a﹣2)2+4
∵(a﹣2)2≥0,∴(a﹣2)2+4>0,∴△>0,∴无论a取任何实数时,方程总有两个不相等的实数根.
(2)∵此方程的一个根为﹣2,∴4﹣2a+a﹣2=0,∴a=2,∴一元二次方程为:x2+2x=0,∴方程的根为:x1=﹣2,x2=0,∴方程的另一个根为0.
15、(15分)已知关于的一元二次方程有两个实数根和.
(1)求实数的取值范围;
(2)当时,求的值.
【答案】(1)m≤;(2)m=.
【解析】(1)因为一元二次方程x2+(2m-1)x+m2=0有两个实数根,∴△= b2-4ac=(2m-1)2-4×1×m2=-4m+1≥0,∴m≤,即实数m的取值范围为m≤;
(2)当x12-x22=0时,即(x1+x2)(x1-x2)=0,∴x1+x2=0或x1-x2=0,当x1+x2=0,依据一元二次方程根与系数的关系可得x1+x2=-(2m-1),∴-(2m-1)=0,∴m= ,又∵由(1)一元二次方程x2+(2m-1)x+m2=0有两个实数根时的取值范围是m≤,∴m=不成立,故m无解;当x1-x2=0时,x1=x2,方程有两个相等的实数根, ∴△=(2m-1)2-4×1×m2=-4m+1=0,∴m=,综上所述,当x12-x22=0时,m=.
2020-2021学年21.2.4 一元二次方程的根与系数的关系图文ppt课件: 这是一份2020-2021学年21.2.4 一元二次方程的根与系数的关系图文ppt课件,共9页。PPT课件主要包含了-ba等内容,欢迎下载使用。
人教版九年级上册21.2.4 一元二次方程的根与系数的关系教学课件ppt: 这是一份人教版九年级上册21.2.4 一元二次方程的根与系数的关系教学课件ppt,共13页。PPT课件主要包含了请同学们观察下表,又+2,∴k-7,x1x2,x1+x2等内容,欢迎下载使用。
2021学年第二十一章 一元二次方程21.2 解一元二次方程21.2.4 一元二次方程的根与系数的关系示范课ppt课件: 这是一份2021学年第二十一章 一元二次方程21.2 解一元二次方程21.2.4 一元二次方程的根与系数的关系示范课ppt课件,共24页。PPT课件主要包含了学习目标,导入新课,复习引入,讲授新课,x1+x2-3,x1·x2-4,x1+x25,x1·x26,猜一猜,x2+px+q0等内容,欢迎下载使用。

