还剩31页未读,
继续阅读
所属成套资源:人教A版(2019)高中数学选择性必修第二册 PPT课件
成套系列资料,整套一键下载
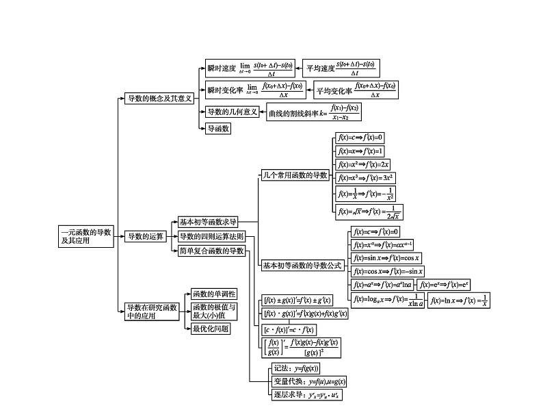
- 5.2.1 基本初等函数的导数 5.2.2 导数的四则运算法则-人教A版(2019)高中数学选择性必修第二册课件(共36张PPT) 课件 0 次下载
- 5.2.3 简单复合函数的导数-人教A版(2019)高中数学选择性必修第二册课件(共27张PPT) 课件 0 次下载
- 5.3.1 函数的单调性-人教A版(2019)高中数学选择性必修第二册课件(共46张PPT) 课件 0 次下载
- 5.3.2 第1课时 函数的极值-人教A版(2019)高中数学选择性必修第二册课件(共41张PPT) 课件 0 次下载
- 5.3.2 第2课时 函数的最大(小)值-人教A版(2019)高中数学选择性必修第二册课件(共58张PPT) 课件 0 次下载
第五章 章末整合-人教A版(2019)高中数学选择性必修第二册课件(共39张PPT)
展开
这是一份第五章 章末整合-人教A版(2019)高中数学选择性必修第二册课件(共39张PPT),共39页。
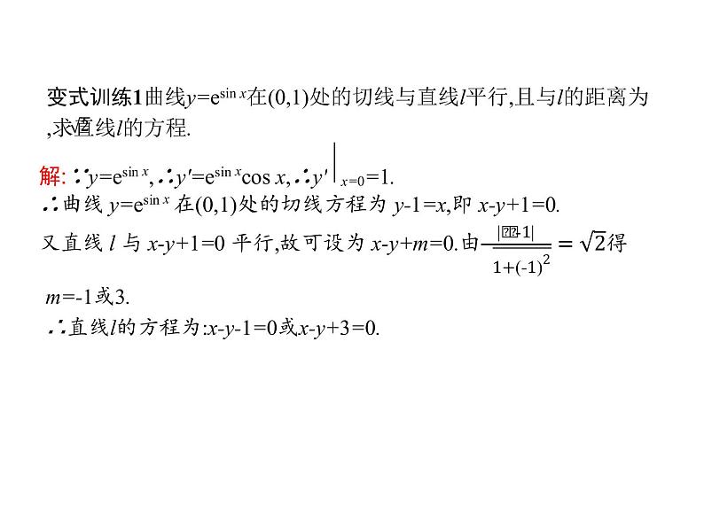
章末整合专题一 导数的几何意义 例1已知函数f(x)=x3+x-16.(1)求曲线y=f(x)在点(2,-6)处的切线方程;(2)直线l为曲线y=f(x)的切线,且经过原点,求直线l的方程及切点坐标;(3)如果曲线y=f(x)的某一切线与直线y=- x+3垂直,求切点坐标与切线的方程.解:(1)∵f'(x)=(x3+x-16)'=3x2+1,∴f(x)在点(2,-6)处的切线的斜率为k=f'(2)=13.∴切线的方程为y=13(x-2)+(-6),即y=13x-32.(2)法一:设切点为(x0,y0),∴x0=-2.∴y0=(-2)3+(-2)-16=-26.k=3×(-2)2+1=13.∴直线l的方程为y=13x,切点坐标为(-2,-26).法二:设直线l的方程为y=kx,切点为(x0,y0), ∴y0=(-2)3+(-2)-16=-26.k=3×(-2)2+1=13.∴直线l的方程为y=13x,切点坐标为(-2,-26).∴切线的斜率k=4.设切点坐标为(x0,y0),即切点为(1,-14)或(-1,-18).切线方程为y=4(x-1)-14或y=4(x+1)-18.即y=4x-18或y=4x-14.规律方法1.导数的几何意义的应用:利用导数的几何意义可以求出曲线上任意一点处的切线方程y-y0=f'(x0)(x-x0),明确“过点P(x0,y0)的曲线y=f(x)的切线方程”与“在点P(x0,y0)处的曲线y=f(x)的切线方程”的异同点.2.围绕着切点有三个等量关系:已知切点(x0,y0),则(1)k=f'(x0);(2)y0=f(x0);(3)(x0,y0)满足切线方程.变式训练1曲线y=esin x在(0,1)处的切线与直线l平行,且与l的距离为 ,求直线l的方程. m=-1或3.∴直线l的方程为:x-y-1=0或x-y+3=0.专题二 利用导数研究函数的单调性问题 例2(1)f(x)是定义在(0,+∞)上的非负可导函数,且满足xf'(x)-f(x)≤0,对任意正数a,b,若a0,函数f(x)在(0,+∞)上单调递增.当a<0时,令g(x)=ax2+(2a+2)x+a,由于Δ=(2a+2)2-4a2=4(2a+1),所以x∈(0,x1)时,g(x)<0,f'(x)<0,函数f(x)单调递减,x∈(x1,x2)时,g(x)>0,f'(x)>0,函数f(x)单调递增,x∈(x2,+∞)时,g(x)<0,f'(x)<0,函数f(x)单调递减,综上,当a≥0时,函数f(x)在(0,+∞)上单调递增;规律方法(1)解决问题的过程中,只能在函数的定义域内进行.(2)在划分函数的单调区间时,除了必须确定使导数等于0的点外,还要注意定义区间内的不连续点或不可导点.此外,求得的根要判断是否在定义域中.(3)涉及含参数的函数的单调性或单调区间问题,一定要弄清参数对导数在某一区间内的符号是否有影响.若有影响,则必须分类讨论.变式训练2(1)已知函数f(x)=xekx-1,g(x)=ln x+kx,若f(x)在(1,+∞)上为减函数,g(x)在(0,1)上为增函数,求实数k的值;(2)已知函数f(x)=- a(x-1)2+x-ln x,其中a>0,求函数f(x)的单调区间.当a=1时,f'(x)≤0在(0,+∞)内恒成立,所以f(x)在(0,+∞)内单调递减,无单调递增区间;专题三 利用导数研究函数的极值、最大(小)值问题 解:(1)f'(x)=3x2+3(1-a)x-3a=3(x-a)(x+1),令f'(x)=0,解得x1=-1,x2=a,因为a>0,所以x10,x取足够小的负数时,有f(x)<0,所以曲线y=f(x)与x轴至少有一个交点.变式训练4已知函数f(x)=x3+ax2+b的图象上一点P(1,0)且在点P处的切线与直线3x+y=0平行.(1)求函数f(x)的解析式;(2)求函数f(x)在区间[0,t](00,f(x)在区间(64,640)内为增函数,所以f(x)在x=64处取得最小值.专题五 导数的综合应用 角度1 利用导数研究方程的根(函数的零点)例5设a为实数,函数f(x)=x3-x2-x+a.(1)求f(x)的极值;(2)若方程f(x)=0只有一个实数根,求实数a的取值范围.解:(1)由已知得f' (x)=3x2-2x-1,令f' (x)=0,得x=- 或x=1,当x变化时,f' (x),f(x)变化情况如下表:规律总结根据方程的根求参数的解题策略方程f(x)=0的根,就是函数y=f(x)的零点,以及y=f(x)图象与x轴交点的横坐标.因此与方程的根(函数的零点)有关的参数范围问题,往往利用导数研究函数的单调区间与极值点,并结合特殊点,得到函数的大致图象,结合图象讨论它与x轴的位置关系,进而确定参数的取值范围.变式训练6设函数f(x)=x3-6x+5,x∈R.(1)求f(x)的极值点;(2)若关于x的方程f(x)=a有3个不同实根,求实数a的取值范围;(3)已知当x∈(1,+∞)时,f(x)≥k(x-1)恒成立,求实数k的取值范围.(3)法一:f(x)≥k(x-1),即(x-1)(x2+x-5)≥k(x-1),因为x>1,所以k≤x2+x-5在(1,+∞)上恒成立,令g(x)=x2+x-5,由二次函数的性质得g(x)在(1,+∞)上是增函数,所以g(x)>g(1)=-3,所以所求k的取值范围为(-∞,-3].法二:直线y=k(x-1)过定点(1,0)且f(1)=0,曲线f(x)在点(1,0)处切线斜率f'(1)=-3,由(2)中草图知要使x∈(1,+∞)时,f(x)≥k(x-1)恒成立需k≤-3.故实数k的取值范围为(-∞,-3].角度2 利用导数研究不等式问题例6已知f(x)=xln x,g(x)=x3+ax2-x+2.(1)求函数f(x)的单调区间;(2)若对任意x∈(0,+∞),2f(x)≤g'(x)+2恒成立,求实数a的取值范围.分析:(1)可通过解不等式f'(x)>0和f'(x)<0得到单调区间;(2)先将不等式进行参数分离,把待求范围的参数a移至不等式的一边,再利用导数求另一边函数的最值,从而求得参数的取值范围.解:(1)∵函数f(x)=xln x的定义域为(0,+∞),∴f'(x)=ln x+1. 当x变化时,h'(x),h(x)的变化情况如下表: ∴当x=1时,h(x)取得最大值,且h(x)max=h(1)=-2,∴若a≥h(x)在x∈(0,+∞)上恒成立,则a≥h(x)max=-2,即a≥-2,故a的取值范围是[-2,+∞).规律方法不等式恒成立问题的解法有关不等式的恒成立问题,一般是转化为求函数的最值问题.求解时,要确定这个函数,看哪一个变量的范围已知,即函数应该是以已知范围的变量为自变量的函数,然后利用导数研究其最值,最后求得参数的取值范围.一般地,λ≥f(x)恒成立⇔λ≥f(x)max;λ≤f(x)恒成立⇔λ≤f(x)min.变式训练7已知函数f(x)=x3- x2+bx+c.(1)若f(x)有极值,求b的取值范围;(2)当f(x)在x=1处取得极值时,试证明对[-1,2]内的任意两个值x1,x2,都有|f(x1)-f(x2)|≤ .
章末整合专题一 导数的几何意义 例1已知函数f(x)=x3+x-16.(1)求曲线y=f(x)在点(2,-6)处的切线方程;(2)直线l为曲线y=f(x)的切线,且经过原点,求直线l的方程及切点坐标;(3)如果曲线y=f(x)的某一切线与直线y=- x+3垂直,求切点坐标与切线的方程.解:(1)∵f'(x)=(x3+x-16)'=3x2+1,∴f(x)在点(2,-6)处的切线的斜率为k=f'(2)=13.∴切线的方程为y=13(x-2)+(-6),即y=13x-32.(2)法一:设切点为(x0,y0),∴x0=-2.∴y0=(-2)3+(-2)-16=-26.k=3×(-2)2+1=13.∴直线l的方程为y=13x,切点坐标为(-2,-26).法二:设直线l的方程为y=kx,切点为(x0,y0), ∴y0=(-2)3+(-2)-16=-26.k=3×(-2)2+1=13.∴直线l的方程为y=13x,切点坐标为(-2,-26).∴切线的斜率k=4.设切点坐标为(x0,y0),即切点为(1,-14)或(-1,-18).切线方程为y=4(x-1)-14或y=4(x+1)-18.即y=4x-18或y=4x-14.规律方法1.导数的几何意义的应用:利用导数的几何意义可以求出曲线上任意一点处的切线方程y-y0=f'(x0)(x-x0),明确“过点P(x0,y0)的曲线y=f(x)的切线方程”与“在点P(x0,y0)处的曲线y=f(x)的切线方程”的异同点.2.围绕着切点有三个等量关系:已知切点(x0,y0),则(1)k=f'(x0);(2)y0=f(x0);(3)(x0,y0)满足切线方程.变式训练1曲线y=esin x在(0,1)处的切线与直线l平行,且与l的距离为 ,求直线l的方程. m=-1或3.∴直线l的方程为:x-y-1=0或x-y+3=0.专题二 利用导数研究函数的单调性问题 例2(1)f(x)是定义在(0,+∞)上的非负可导函数,且满足xf'(x)-f(x)≤0,对任意正数a,b,若a0,函数f(x)在(0,+∞)上单调递增.当a<0时,令g(x)=ax2+(2a+2)x+a,由于Δ=(2a+2)2-4a2=4(2a+1),所以x∈(0,x1)时,g(x)<0,f'(x)<0,函数f(x)单调递减,x∈(x1,x2)时,g(x)>0,f'(x)>0,函数f(x)单调递增,x∈(x2,+∞)时,g(x)<0,f'(x)<0,函数f(x)单调递减,综上,当a≥0时,函数f(x)在(0,+∞)上单调递增;规律方法(1)解决问题的过程中,只能在函数的定义域内进行.(2)在划分函数的单调区间时,除了必须确定使导数等于0的点外,还要注意定义区间内的不连续点或不可导点.此外,求得的根要判断是否在定义域中.(3)涉及含参数的函数的单调性或单调区间问题,一定要弄清参数对导数在某一区间内的符号是否有影响.若有影响,则必须分类讨论.变式训练2(1)已知函数f(x)=xekx-1,g(x)=ln x+kx,若f(x)在(1,+∞)上为减函数,g(x)在(0,1)上为增函数,求实数k的值;(2)已知函数f(x)=- a(x-1)2+x-ln x,其中a>0,求函数f(x)的单调区间.当a=1时,f'(x)≤0在(0,+∞)内恒成立,所以f(x)在(0,+∞)内单调递减,无单调递增区间;专题三 利用导数研究函数的极值、最大(小)值问题 解:(1)f'(x)=3x2+3(1-a)x-3a=3(x-a)(x+1),令f'(x)=0,解得x1=-1,x2=a,因为a>0,所以x1
相关资料
更多

