初中数学第十六章 二次根式综合与测试课时训练
展开
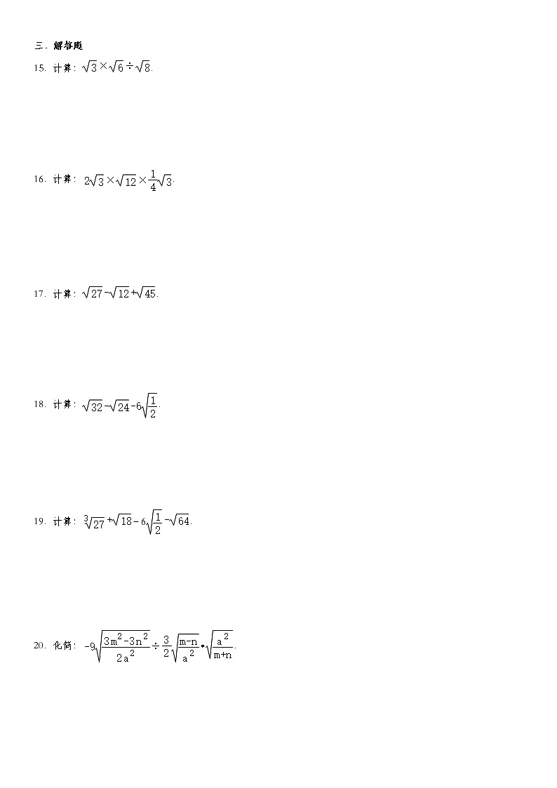
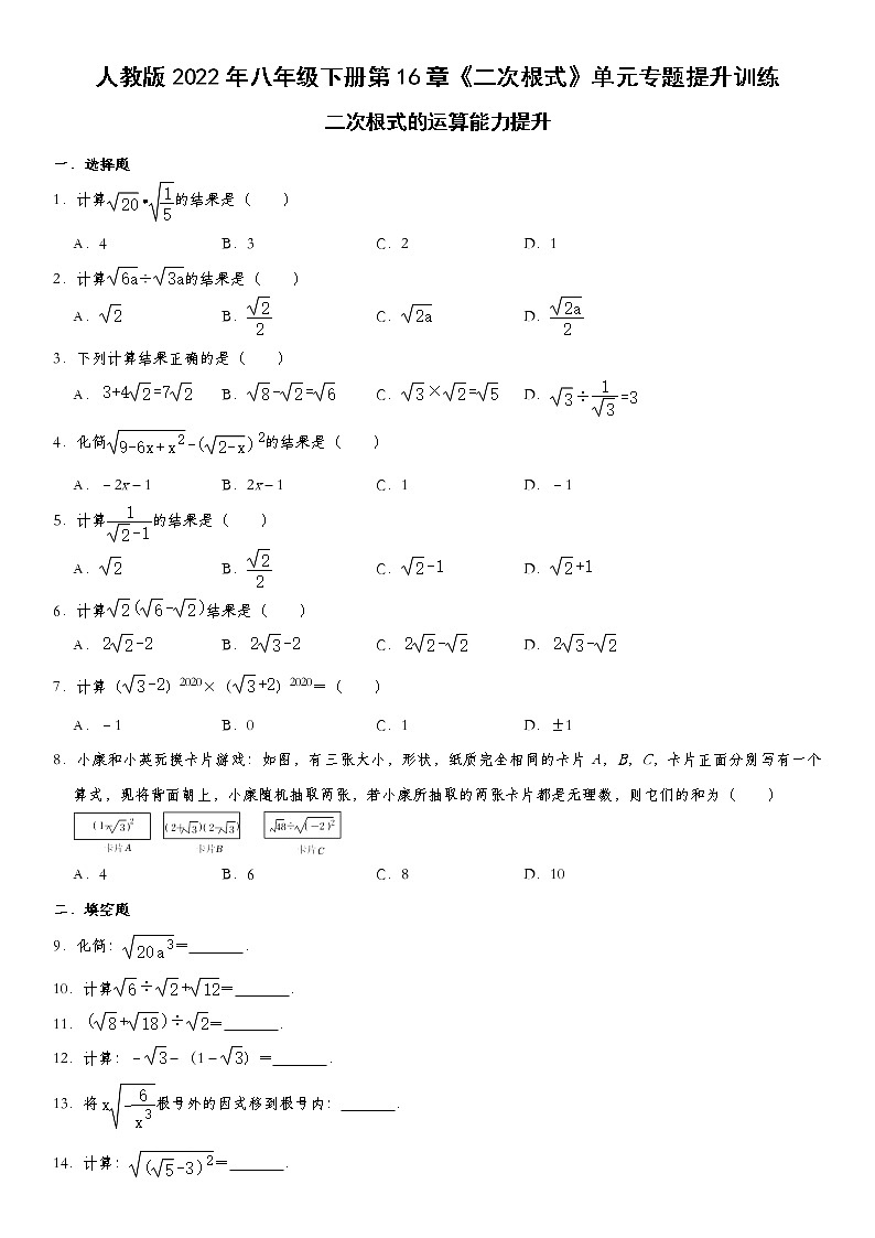
这是一份初中数学第十六章 二次根式综合与测试课时训练,共7页。试卷主要包含了计算的结果是,计算÷的结果是,下列计算结果正确的是,化简的结果是,计算结果是,计算,小康和小英玩摸卡片游戏,化简等内容,欢迎下载使用。
人教版2022年八年级下册第16章《二次根式》单元专题提升训练二次根式的运算能力提升一.选择题1.计算的结果是( )A.4 B.3 C.2 D.12.计算÷的结果是( )A. B. C. D.3.下列计算结果正确的是( )A. B. C. D.4.化简的结果是( )A.﹣2x﹣1 B.2x﹣1 C.1 D.﹣15.计算的结果是( )A. B. C. D.6.计算结果是( )A. B. C. D.7.计算()2020×()2020=( )A.﹣1 B.0 C.1 D.±18.小康和小英玩摸卡片游戏:如图,有三张大小,形状,纸质完全相同的卡片A,B,C,卡片正面分别写有一个算式,现将背面朝上,小康随机抽取两张,若小康所抽取的两张卡片都是无理数,则它们的和为( )A.4 B.6 C.8 D.10二.填空题9.化简:= .10.计算= .11.= .12.计算:﹣﹣(1﹣)= .13.将根号外的因式移到根号内: .14.计算:= .三.解答题15.计算:. 16.计算:. 17.计算:. 18.计算:. 19.计算:﹣6. 20.化简:. 21.计算:. 22.计算:÷﹣×+(+1)(﹣1). 23.设a,b,c为△ABC的三边,化简:++﹣. 24.已知,b=.求:(1)ab﹣a+b的值;(2)求a2+b2+2的值. 25.(一)阅读下面内容:==; ==﹣;==﹣2.(二)计算:(1); (2)(n为正整数).(3)+++…+. 参考答案一.选择题1.解:×===2.故选:C.2.解:原式==,故选:A.3.解:A、3与4不是同类二次根式,不能合并计算,故此选项不符合题意;B、原式=2﹣=,故此选项不符合题意;C、原式=,故此选项不符合题意;D、原式==3,故此选项符合题意;故选:D.4.解:由题意得:2﹣x≥0,解得:x≤2,则原式=﹣()2=3﹣x﹣2+x=1,故选:C.5.解:原式==+1.故选:D.6.解:=﹣=﹣=2﹣2,故选:B.7.解:原式=[(﹣2)(+2)]2020=[()2﹣22]2020=(3﹣4)2020=(﹣1)2020=1,故选:C.8.解:,卡片A,C上的数是无理数,卡片B上的数是有理数,==4﹣=4.故选:A.二.填空题9.解:由题意可得:20a3≥0,∴a≥0,∴原式=2a,故答案为:2a.10.解:原式=+2=3,故答案为:3.11.解:原式=(2+3)÷=5÷=5.故答案为:5.12.解:原式=﹣﹣1+=﹣1.故答案为:﹣1.13.解:由题意得:≥0,∴≤0,∵x≠0,∴<0,∴x3<0,∴x<0,∴将=﹣(﹣x)=﹣=﹣,故答案为:﹣.14.解:=3﹣.故答案为:3﹣.三.解答题15.解:原式====.16.解:原式=2××=2××=×6=3.17.解:原式=3﹣2+3=+3.18.解:原式=4﹣2﹣3=﹣2.19.解:原式=+﹣6﹣=3+3﹣3﹣8=﹣5.20.解:原式=﹣9×=﹣6=﹣3|a|.21.解:原式=﹣+=2﹣+=.22.解:原式=﹣+3﹣1=3﹣+3﹣1=5﹣.23.解:根据a,b,c为△ABC的三边,得到a+b+c>0,a﹣b﹣c<0,b﹣a﹣c<0,c﹣b﹣a<0,则原式=|a+b+c|+|a﹣b﹣c|+|b﹣a﹣c|﹣|c﹣b﹣a|=a+b+c+b+c﹣a+a+c﹣b+c﹣a﹣b=4c.24.解:(1)a==,b==,∴ab=()()=6﹣5=1,a﹣b=(+)﹣()=+﹣+=2,∴原式=ab﹣(a﹣b)=1﹣2,即ab﹣a+b的值为1﹣2(2)原式=(a﹣b)2+2ab+2=(2)2+2×1+2=20+2+2=24,即a2+b2+2的值为24.25.解:(二)(1)原式=﹣;(2)﹣;(3)原式=﹣1+﹣+﹣+…+﹣+﹣=﹣1=9.
相关试卷
这是一份初中华师大版21.1 二次根式习题,共15页。
这是一份初中人教版第十五章 分式综合与测试课时训练,文件包含答案docx、A卷docx等2份试卷配套教学资源,其中试卷共16页, 欢迎下载使用。
这是一份人教版八年级下册16.3 二次根式的加减课后练习题,共6页。试卷主要包含了下列二次根式中,能与合并的是,计算+的结果是,下列运算正确的是,计算的结果是,计算,计算= 等内容,欢迎下载使用。

