高中数学人教A版 (2019)必修 第一册第二章 一元二次函数、方程和不等式本章综合与测试当堂检测题
展开1.不等式的解集为( )
A.B.
C.D.
2.若,,,且,则下列不等式一定成立的是( )
A.B.C.D.
3.已知不等式的解集是,则的值为( )
A.1B.C.0D.
4.若不等式组的解集非空,则实数a的取值范围是( )
A.B.或C.D.或
5.已知关于的不等式对任意恒成立,则的取值范围是( )
A.B.
C.D.
6.已知不等式对任意实数、恒成立,则实数的最小值为( )
A.B.C.D.
7.已知,则使得都成立的取值范围是( )
A.B.C.D.
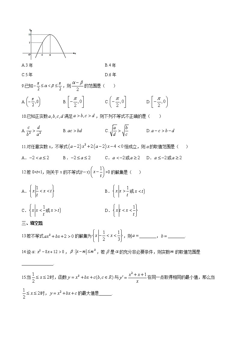
8.如图,某汽车运输公司刚买了一批豪华大客车投入营运,据市场分析每辆客车营运的总利润y(单位:10万元)与营运年数x(x∈N)为二次函数关系,若使营运的年平均利润最大,则每辆客车应营运( )
A.3年B.4年
C.5年D.6年
9.已知,则的范围是( )
A.B.C.D.
10.已知正实数满足,则下列不等式不正确的是( )
A.B.C.D.
11.对任意实数x,不等式恒成立,则a的取值范围是( )
A.B.C.或D.或
12.若0
A.B.或
C.或D.
三、填空题
13.若不等式的解集为,则________,________.
14.设,,若是的充分非必要条件,则实数的取值范围是_______________.
15.当时,函数与在同一点取得相同的最小值,那么当时,的最大值是______.
16.已知正数,,,满足,,则的最小值为______.
四、解答题
17.当都为正数且时,试比较代数式与的大小.
18.已知,求的最小值,并求取到最小值时x的值;
已知,,,求xy的最大值,并求取到最大值时x、y的值.
19.设均为正数,且.
(1)证明:;
(2)证明:.
第二章 一元二次函数、方程和不等式【过关测试】-2022-2023学年高一数学单元复习(人教A版2019必修第一册): 这是一份第二章 一元二次函数、方程和不等式【过关测试】-2022-2023学年高一数学单元复习(人教A版2019必修第一册),文件包含第二章一元二次函数方程和不等式过关测试解析版docx、第二章一元二次函数方程和不等式过关测试原卷版docx等2份试卷配套教学资源,其中试卷共13页, 欢迎下载使用。
高中数学第二章 一元二次函数、方程和不等式本章综合与测试练习: 这是一份高中数学第二章 一元二次函数、方程和不等式本章综合与测试练习,共10页。试卷主要包含了单选题,填空题,解答题等内容,欢迎下载使用。
2021学年第二章 一元二次函数、方程和不等式本章综合与测试优秀课后作业题: 这是一份2021学年第二章 一元二次函数、方程和不等式本章综合与测试优秀课后作业题,文件包含一元二次函数方程及不等式单元检测解析版docx、一元二次函数方程和不等式单元检测原卷版docx等2份试卷配套教学资源,其中试卷共12页, 欢迎下载使用。

