- 1.8三角函数图象问题专项测试-2020-2021学年高一数学尖子生同步培优题典(人教A版必修4) 试卷 1 次下载
- 2.1平面向量的实际背景、基本概念及其线性运算-2020-2021学年高一数学尖子生同步培优题典(人教A版必修4) 试卷 0 次下载
- 2.3平面向量的数量积-2020-2021学年高一数学尖子生同步培优题典(人教A版必修4) 试卷 2 次下载
- 3.1两角和与差的余弦、正弦、正切公式-2020-2021学年高一数学尖子生同步培优题典(人教A版必修4) 试卷 1 次下载
- 2.4平面向量中的最值范围问题专项测试-2020-2021学年高一数学尖子生同步培优题典(人教A版必修4) 试卷 0 次下载
2.2平面向量的基本定理及坐标表示-2020-2021学年高一数学尖子生同步培优题典(人教A版必修4)
展开专题2.2 平面向量的基本定理及坐标表示
姓名:__________________ 班级:______________ 得分:_________________
注意事项:
本试卷满分100分,考试时间45分钟,试题共20题.答卷前,考生务必用0.5毫米黑色签字笔将自己的姓名、班级等信息填写在试卷规定的位置.
一、选择题(本大题共12小题,每小题4分,共48分)在每小题所给出的四个选项中,只有一项是符合题目要求的.
1.(2020·广东云浮·高一期末)下列各组向量中,可以作为基底的是( ).
A., B.,
C., D.,
【答案】B
【详解】因为与不共线,其余选项中、均共线,所以B选项中的两向量可以作为基底.
2.(2020·北京二十中高一期末)已知向量,,若,则实数的值为( )
A.-4 B.4 C.-1 D.1
【答案】C
【详解】由题意,向量,,所以,可得,解得.
3.(2020·新绛县第二中学高一)已知,,则与向量共线的单位向量为( )
A.或 B.或
C.或 D.或
【答案】B
【详解】因为,,所以向量,所以与向量共线的单位向量为或.
4.(2020·江西高一期末)已知两个非零向量,不共线,若,,且A、B、D三点共线,则等于( )
A. B. C.2 D.
【答案】C
【详解】,∵A,B,D三点共线,∴设,即,
∴,解得.
5.(2020·四川乐山·)已知平行四边形的顶点,,,则顶点D的坐标为( )
A. B. C. D.
【答案】D
【详解】∵四边形为平行四边形,∴,设,∵,,,
∴,,∴,解得。
6.(2020·陕西咸阳·高一期末)已知向量,.若向量满足,则的值为( )
A.2 B.4 C. D.
【答案】C.
【详解】,,即,解得.
.
7.(2020·眉山市东坡区多悦高级中学)设向量,,若与平行,则实数等于( )
A. B. C.2 D.
【答案】B
【详解】,,则,,,,
,,,,又与平行,
,即.
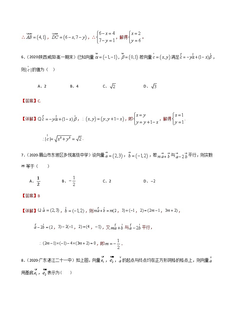
8.(2020·广东湛江二十一中)如上图,向量,,的起点与终点均在正方形网格的格点上,则向量用基底,表示为( )
A.+ B.2- C.-2+ D.2+
【答案】C
【解析】以向量的起点为原点,向量所在直线为x轴建立平面直角坐标系.设正方形的边长为1,则.设,则,
∴,解得,所以.选C.
9.(2020·怀仁市第一中学校云东校区)已知是不共线的向量,,若三点共线,则满足( )
A. B. C. D.
【答案】D
【详解】由三点共线,则、共线,所以存在不为零的实数,使得
即,又因为是不共线的向量,所以,消解得
10.(2020·山西)已知向量,,,则当取最小值时,实数( )
A. B. C. D.
【答案】C
【详解】由知在直线上,当时,最小,如图,,又,∴,,这时,.
11.(2020·衡水市第十四中学)如图,正方形中,分别是的中点,若则( )
A. B. C. D.
【答案】D
【解析】取向量作为一组基底,则有,所以,又,所以,即.
12.(2020·湖南高一期末)如图是由等边和等边构成的六角星,图中,,,,,均为三等分点,两个等边三角形的中心均为,若,则的值为( )
A. B. C. D.1
【答案】D
【详解】如图,以为坐标原点,建立直角坐标系,设等边三角形的边长为,
,,,,,解得,
.
二、填空题(本大题共4小题,每小题4分,共16分.不需写出解答过程,请把答案直接填写在横线上)
13.(2020·新乡市第一中学高一月考)在同一平面内已知,,,若以A,B,C为顶点可以构成一个三角形,则m的取值范围是______________.
【答案】(或写成也对)
【详解】因在同一平面内,故只要A、B、C三点不共线就能构成三角形.由题意,,假设共线,则,解得,所以三点构成三角形时有,
14.(2020·上海杨浦·复旦附中)向量,,在正方形网格中的位置如图所示,若
=λ+μ (λ,μ∈R),则___________.
【答案】4
【详解】以向量,的交点为原点,建立直角坐标系,则=(-1,1), =(6,2), = (-1,-3),由=λ+μ,得,即解得,.
15.(2020·山西省长治市第二中学)中,为边上的中点,动点在线段上移动时,若,则的最小值为______
【答案】
【详解】由A、D、E三点共线,得,因为,为边上的中点,所以,所以,消去t得,
即,当时,s有最小值.
16.(2020·山东滕州市第一中学新校)如图,在中,,是上的一点,若,则实数的值为________.
【答案】
【详解】解法1:因为,所以,又,所以
因为点三点共线,所以,解得:.
解法2:因为,设,所以,因为,
所以,又, 所以,
所以,又,
所以 解得: ,所以.
三、解答题(本大题共4小题,每题9分,共36分.请在答题卡指定区域内作答,解答时应写出文字说明、证明过程或演算步骤)
17.(2020·吴起高级中学高一月考)平面内给定三个向量.
(1)求;(2)求满足的实数的值.
【答案】(1)(2)
【详解】(1),,
(2) ,
, 解之得.
18.(2020·宁夏长庆高级中学高一期中)在平面直角坐标系中,点是坐标原点,已知平行四边形ABCD的三个顶点.
(1)求对角线AC及BD的长;(2)若实数t满足,求t的值.
【答案】(1).(2)
【详解】(1)设,由,得,,,,,
,.
(2),
,.
19.(2020·河南开封·高一期末)如图所示,中,点为中点,点是线段上靠近点的一个三等分点,,相交于点,设,.
(1)用,表示,;(2)若,求.
【答案】(1),.(2)
【详解】(1)∵,∴,
.
(2)∵,又由在上,
与共线,∴存在实数,使.
即,则.解方程组,得.
20.(2020·衡水市第十四中学)已知向量,,,.
(1)若与共线,求实数m. (2)求的最小值及相应的t的值。
【答案】(1)时,最小值为;(2).
【详解】(1). ∵与共线,∴,则.
(2)∵,∴
当时,取得最小值.
21.(2020·辽宁大连·高一期末)如图,平行四边形ABCD中,已知,,设,,
(1)用向量和表示向量,;
(2)若,,求实数x和y的值.
【答案】(1);;(2).
【详解】(1),
(2)因为
. 即
因为与不共线,从而,解得
22.(2020·全国高一课时练习)如图所示,在中,,,与相交于点.设,.
(1)试用向量、表示;
(2)在线段上取一点,在线段上取一点,使过点,设,,
求证:.
【答案】(1);(2)证明见解析.
【详解】(1)不妨设.由于、、三点共线,则存在使得,
即,于是.又,
所以,则,即.①
由于、、三点共线,则存在使得,即,
于是.又,所以,
所以,即.②由①②可得,,所以;
(2)由于、、三点共线,所以存在实数使得,
即,于是.
又,,所以,
所以,则,可得,两式相加得.

