所属成套资源:(人教A版)必修第一册高一数学上学期期末考点复习训练(2份,原卷版+解析版)
- (人教A版)必修第一册高一数学上学期期末押题卷01(测试范围:必修第一册全部)(2份,原卷版+解析版) 试卷 0 次下载
- (人教A版)必修第一册高一数学上学期期末押题卷03(测试范围:必修第一册全部)(2份,原卷版+解析版) 试卷 0 次下载
- (人教A版)必修第一册高一数学上学期期末考点复习训练专题01 集合的基本运算(2份,原卷版+解析版) 试卷 0 次下载
- (人教A版)必修第一册高一数学上学期期末考点复习训练专题02 充分必要条件与量词(2份,原卷版+解析版) 试卷 0 次下载
- (人教A版)必修第一册高一数学上学期期末考点复习训练专题03 含参数与新定义的集合问题(2份,原卷版+解析版) 试卷 0 次下载
(人教A版)必修第一册高一数学上学期期末押题卷02(测试范围:必修第一册全部)(2份,原卷版+解析版)
展开
这是一份(人教A版)必修第一册高一数学上学期期末押题卷02(测试范围:必修第一册全部)(2份,原卷版+解析版),文件包含人教A版必修第一册高一数学上学期期末押题卷02测试范围必修第一册全部原卷版docx、人教A版必修第一册高一数学上学期期末押题卷02测试范围必修第一册全部解析版docx等2份试卷配套教学资源,其中试卷共14页, 欢迎下载使用。
1.已知集合,则( )
A.B.
C.D.
2.若为第三象限角,且,则( )
A.B.C.D.
3.用二分法求方程在内的近似解时,记,若,,,,据此判断,方程的根应落在区间( )
A.B.C.D.
4.若函数为上的奇函数,且当时,,则( )
A.B.1C.D.3
5.函数的增区间为( )
A.B.C.D.
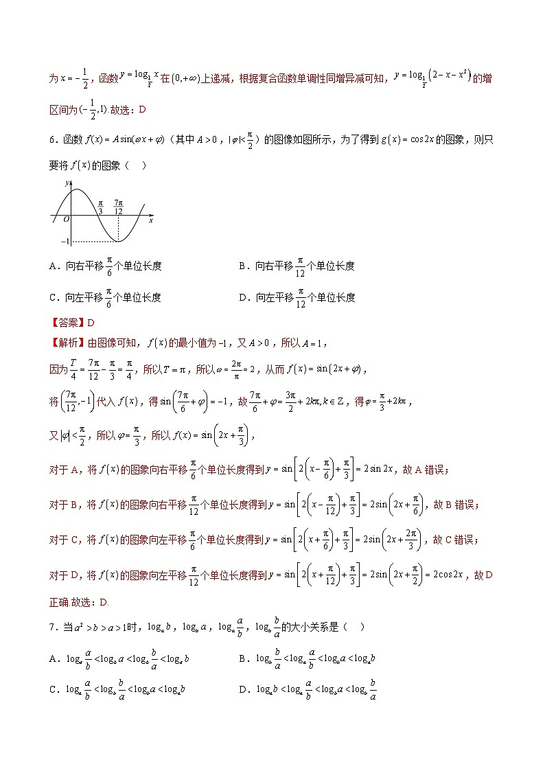
6.函数(其中,)的图像如图所示,为了得到的图象,则只要将的图象( )
A.向右平移个单位长度B.向右平移个单位长度
C.向左平移个单位长度D.向左平移个单位长度
7.当时,,,,的大小关系是( )
A.B.
C.D.
8.函数,若关于x的方程有4个不同的根,则a的取值范围( )
A.B.C.D.
二、多选题:
9.若不等式的解集是,则下列对于系数,,的结论中,正确的是( )
A.B.C.D.
10.已知函数,将函数的图象上所有点的横坐标伸长为原来的3倍,纵坐标不变,再向左平移个单位长度,向上平移2个单位长度,得到函数的图象,则以下结论正确的是( )
A.的最大值为1
B.函数的单调递增区间为
C.直线是函数图象的一条对称轴
D.是函数图象的一个对称中心
11.已知定义在R上的奇函数满足,且当时,,则( )
A.关于x的方程在区间上的所有实数根的和为
B.关于x的方程在区间上的所有实数根的和为
C.若函数与的图象恰有5个不同的交点,则或
D.若函数与的图象恰有5个不同的交点,则或
三、填空题:
12.学校举办运动会时,高一(1)班共有28名同学参加比赛,有15人参加游泳比赛,有8人参加田径比赛,有14人参加球类比赛,同时参加游泳比赛和田径比赛的有3人,同时参加游泳比赛和球类比赛的有3人,没有人同时参加三项比赛.那么只参加游泳一项比赛的有____人.
13.设函数,满足对于任意实数,都有成立,则实数的取值范围是______.
14.已知是在定义域上的单调函数,且对任意都满足:,则满足不等式的的取值范围是________.
四、解答题:
15.已知函数,.
(1)求的最小正周期;
(2)求的单调递增区间;
(3)当时,求的最大值和最小值.
16.设函数(且,,),若是定义在上的奇函数且.
(1)求k和a的值;
(2)判断其单调性(无需证明),并求关于t的不等式成立时,实数t的取值范围;
(3)函数,,求的值域.
17.已知扇形(如图所示),圆心角,半径,在弧上取一点P,作扇形的内接矩形,记,矩形的面积为y.
(1)写出y与x的函数关系式,并化简;
(2)求矩形面积的最大值,并求此时x的取值.
18.已知函数在定义域R上单调递增,且对任意的x,y都满足.
(1)判断并证明函数的奇偶性;
(2)若对所有的均成立,求实数m的取值范围.
19.已知函数,,其中.
(1)若的图象与直线没有公共点,求实数a的取值范围;
(2)当时,函数的最小值为,求实数m的值.
相关试卷
这是一份(人教A版)必修第一册高一数学上册期末考点提升练习期末考试押题卷二(考试范围:必修第一册全部)(2份,原卷版+解析版),文件包含人教A版必修第一册高一数学上册期末考点提升练习期末考试押题卷二考试范围必修第一册全部原卷版docx、人教A版必修第一册高一数学上册期末考点提升练习期末考试押题卷二考试范围必修第一册全部解析版docx等2份试卷配套教学资源,其中试卷共14页, 欢迎下载使用。
这是一份(人教A版)必修第一册高一数学上册期末考点提升练习期末考试押题卷一(考试范围:必修第一册全部)(2份,原卷版+解析版),文件包含人教A版必修第一册高一数学上册期末考点提升练习期末考试押题卷一考试范围必修第一册全部原卷版docx、人教A版必修第一册高一数学上册期末考点提升练习期末考试押题卷一考试范围必修第一册全部解析版docx等2份试卷配套教学资源,其中试卷共13页, 欢迎下载使用。
这是一份(人教A版)选择性必修一高二数学上册 期末考试押题卷02(考试范围:选择性必修第一、二册)(2份,原卷版+解析版),文件包含人教A版选择性必修一高二数学上册期中考试押题卷测试范围第一章第二章31椭圆原卷版docx、人教A版选择性必修一高二数学上册期末考试押题卷02考试范围选择性必修第一二册原卷版docx、人教A版选择性必修一高二数学上册期末考试押题卷02考试范围选择性必修第一二册解析版docx、人教A版选择性必修一高二数学上册期中考试押题卷测试范围第一章第二章31椭圆解析版docx等4份试卷配套教学资源,其中试卷共36页, 欢迎下载使用。
相关试卷 更多
- 1.电子资料成功下载后不支持退换,如发现资料有内容错误问题请联系客服,如若属实,我们会补偿您的损失
- 2.压缩包下载后请先用软件解压,再使用对应软件打开;软件版本较低时请及时更新
- 3.资料下载成功后可在60天以内免费重复下载
免费领取教师福利

