搜索
      上传资料 赚现金
      独家版权

      [精] 专题20 放缩证明数列不等式 讲义-2025届高三数学二轮复习 含答案

      • 239.14 KB
      • 2025-07-08 07:03:37
      • 62
      • 4
      • 教习网8636171
      加入资料篮
      立即下载
      查看完整配套(共3份)
      包含资料(3份) 收起列表
      教师
      专题20 放缩法证明数列不等式(教师版).docx
      预览
      学生
      专题20 放缩法证明数列不等式(学生版答案解析).docx
      预览
      学生
      专题20 放缩法证明数列不等式(学生版).docx
      预览
      正在预览:专题20 放缩法证明数列不等式(教师版).docx
      专题20 放缩法证明数列不等式(教师版)第1页
      高清全屏预览
      1/10
      专题20 放缩法证明数列不等式(教师版)第2页
      高清全屏预览
      2/10
      专题20 放缩法证明数列不等式(教师版)第3页
      高清全屏预览
      3/10
      专题20 放缩法证明数列不等式(学生版答案解析)第1页
      高清全屏预览
      1/7
      专题20 放缩法证明数列不等式(学生版答案解析)第2页
      高清全屏预览
      2/7
      专题20 放缩法证明数列不等式(学生版答案解析)第3页
      高清全屏预览
      3/7
      专题20 放缩法证明数列不等式(学生版)第1页
      高清全屏预览
      1/5
      专题20 放缩法证明数列不等式(学生版)第2页
      高清全屏预览
      2/5
      还剩7页未读, 继续阅读

      专题20 放缩证明数列不等式 讲义-2025届高三数学二轮复习 含答案

      展开

      这是一份专题20 放缩证明数列不等式 讲义-2025届高三数学二轮复习 含答案,文件包含专题20放缩法证明数列不等式教师版docx、专题20放缩法证明数列不等式学生版答案解析docx、专题20放缩法证明数列不等式学生版docx等3份学案配套教学资源,其中学案共22页, 欢迎下载使用。
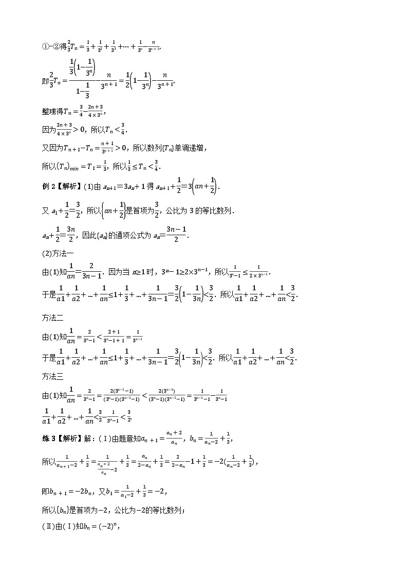
      在证明数列不等式问题中,有些数列可通过求和后再利用数列有关性质进行放缩求证不等式,有些数列不能用常规求和方法直接求和,我们可以通过将不规则或不能求和的数列放缩变为可求和的数列,从而达到证明的目的.

      题型一:先求和再证明不等式
      常见的数列求和再放缩的通项公式特点:
      ① 等比数列求和公式:Sn=a1qn−1q−1q≠1,an=k∙qn(关于n的指数类函数);
      ② 错位相减:通项公式为“等差等比”的形式;
      ③ 裂项相消:通项公式可拆成两个相邻项的差,且原数列的每一项裂项之后正负能够相消,进而在求和后式子中仅剩有限项.
      例1设{an}是首项为1的等比数列,数列{bn}满足bn=nan3.已知a1,3a2,9a3成等差数列.
      (1)求{an}和{bn}的通项公式;
      (2)记Sn和Tn别为{an}和{bn}的前n项和.证明:Tn

      相关学案

      专题20 放缩证明数列不等式 讲义-2025届高三数学二轮复习 含答案:

      这是一份专题20 放缩证明数列不等式 讲义-2025届高三数学二轮复习 含答案,文件包含专题20放缩法证明数列不等式教师版docx、专题20放缩法证明数列不等式学生版答案解析docx、专题20放缩法证明数列不等式学生版docx等3份学案配套教学资源,其中学案共22页, 欢迎下载使用。

      2025年高考数学二轮复习(新高考通用)专题12数列不等式放缩技巧(讲义)(学生版+解析):

      这是一份2025年高考数学二轮复习(新高考通用)专题12数列不等式放缩技巧(讲义)(学生版+解析),文件包含2025年高考数学二轮复习新高考通用专题12数列不等式放缩技巧讲义教师版docx、2025年高考数学二轮复习新高考通用专题12数列不等式放缩技巧讲义学生版docx等2份学案配套教学资源,其中学案共84页, 欢迎下载使用。

      专题7 导数与数列不等式讲义-2025届高三数学二轮复习 含答案:

      这是一份专题7 导数与数列不等式讲义-2025届高三数学二轮复习 含答案,文件包含专题7导数与数列不等式教师版docx、专题7导数与数列不等式学生版答案解析docx、专题7导数与数列不等式学生版docx等3份学案配套教学资源,其中学案共54页, 欢迎下载使用。

      资料下载及使用帮助
      版权申诉
      • 1.电子资料成功下载后不支持退换,如发现资料有内容错误问题请联系客服,如若属实,我们会补偿您的损失
      • 2.压缩包下载后请先用软件解压,再使用对应软件打开;软件版本较低时请及时更新
      • 3.资料下载成功后可在60天以内免费重复下载
      版权申诉
      若您为此资料的原创作者,认为该资料内容侵犯了您的知识产权,请扫码添加我们的相关工作人员,我们尽可能的保护您的合法权益。
      入驻教习网,可获得资源免费推广曝光,还可获得多重现金奖励,申请 精品资源制作, 工作室入驻。
      版权申诉二维码
      高考专区
      • 精品推荐
      • 所属专辑26份
      欢迎来到教习网
      • 900万优选资源,让备课更轻松
      • 600万优选试题,支持自由组卷
      • 高质量可编辑,日均更新2000+
      • 百万教师选择,专业更值得信赖
      微信扫码注册
      手机号注册
      手机号码

      手机号格式错误

      手机验证码 获取验证码 获取验证码

      手机验证码已经成功发送,5分钟内有效

      设置密码

      6-20个字符,数字、字母或符号

      注册即视为同意教习网「注册协议」「隐私条款」
      QQ注册
      手机号注册
      微信注册

      注册成功

      返回
      顶部
      学业水平 高考一轮 高考二轮 高考真题 精选专题 初中月考 教师福利
      添加客服微信 获取1对1服务
      微信扫描添加客服
      Baidu
      map