还剩3页未读,
继续阅读
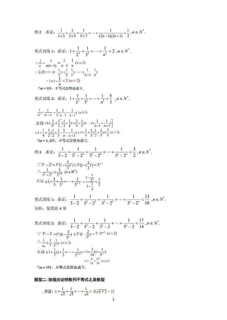
高考数学二轮专题第57讲 放缩法证明数列不等式教师版
展开
这是一份高考数学二轮专题第57讲 放缩法证明数列不等式教师版,共5页。
相关试卷
微专题12 数列中的不等式证明及放缩问题-2024年高考数学二轮微专题系列:
这是一份微专题12 数列中的不等式证明及放缩问题-2024年高考数学二轮微专题系列,共13页。
新高考数学二轮培优专题 利用函数放缩证明不等式、数列(原卷版+解析版):
这是一份新高考数学二轮培优专题 利用函数放缩证明不等式、数列(原卷版+解析版),共23页。
专题16 数列放缩证明不等式必刷100题:
这是一份专题16 数列放缩证明不等式必刷100题,文件包含专题16数列放缩证明不等式必刷100题原卷版docx、专题16数列放缩证明不等式必刷100题解析版docx等2份试卷配套教学资源,其中试卷共145页, 欢迎下载使用。

