搜索
      上传资料 赚现金

      [精] 学案5.6&5.7 函数y=Asin(ωx+φ)和三角函数的应用(八个重难点突破)-2024-2025学年高一数学重难点突破及易错点分析(人教A版2019必修第一册)

      • 9.25 MB
      • 2025-03-28 08:47:20
      • 73
      • 2
      • 教习网2446778
      加入资料篮
      立即下载
      压缩包含2份文件 展开
      文件列表(2份) 收起
      原卷
      5.6&5.7函数y=Asin(ωx+φ)和三角函数的应用(八个重难点突破)(原卷版).docx
      预览
      解析
      5.6&5.7函数y=Asin(ωx+φ)和三角函数的应用(八个重难点突破)(解析版).docx
      预览
      正在预览:5.6&5.7函数y=Asin(ωx+φ)和三角函数的应用(八个重难点突破)(原卷版).docx
      5.6&5.7函数y=Asin(ωx+φ)和三角函数的应用(八个重难点突破)(原卷版)第1页
      1/18
      5.6&5.7函数y=Asin(ωx+φ)和三角函数的应用(八个重难点突破)(原卷版)第2页
      2/18
      5.6&5.7函数y=Asin(ωx+φ)和三角函数的应用(八个重难点突破)(原卷版)第3页
      3/18
      5.6&5.7函数y=Asin(ωx+φ)和三角函数的应用(八个重难点突破)(解析版)第1页
      1/39
      5.6&5.7函数y=Asin(ωx+φ)和三角函数的应用(八个重难点突破)(解析版)第2页
      2/39
      5.6&5.7函数y=Asin(ωx+φ)和三角函数的应用(八个重难点突破)(解析版)第3页
      3/39
      还剩15页未读, 继续阅读

      数学必修 第一册函数y=Asin(ωx+φ)的图像与性质优秀导学案及答案

      展开

      这是一份数学必修 第一册函数y=Asin(ωx+φ)的图像与性质优秀导学案及答案,文件包含5657函数yAsinωx+φ和三角函数的应用八个重难点突破原卷版docx、5657函数yAsinωx+φ和三角函数的应用八个重难点突破解析版docx等2份学案配套教学资源,其中学案共57页, 欢迎下载使用。

      知识点1的有关概念
      知识点2图象变换
      1.对函数,的图象的影响(左加右减)
      2、()对函数图象的影响
      3、()对的图象的影响
      知识点3的图象经变换得到的图象
      注意:由到的变换:向左平移eq \f(φ,ω)个单位长度而非φ个单位长度.
      重难点一 “五点法”作的图象
      【例1】用“五点法”作的图象时,描出的五个点的横坐标依次是 .
      【答案】
      【详解】用“五点法”作图时,当分别取时,
      的值分别为.
      故答案为:.
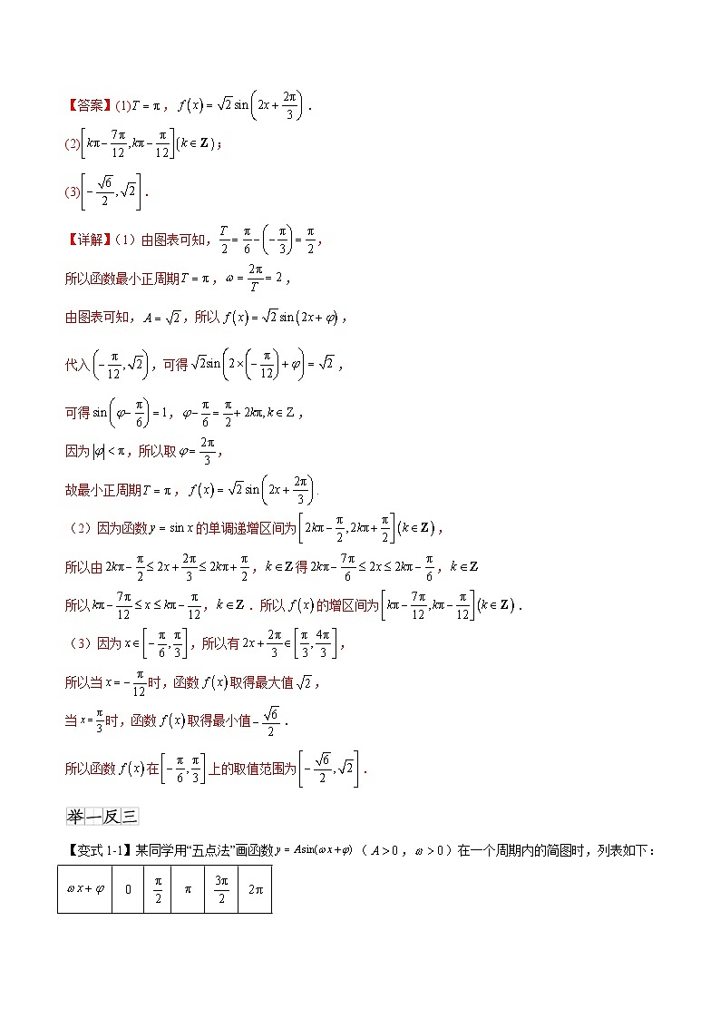
      【例2】已知下表为“五点法”绘制函数图象时的五个关键点的坐标(其中,,).
      (1)请写出函数的最小正周期和解析式;
      (2)求函数的单调递增区间;
      (3)求函数在区间上的取值范围.
      【答案】(1),.
      (2);
      (3).
      【详解】(1)由图表可知,,
      所以函数最小正周期,,
      由图表可知,,所以,
      代入,可得,
      可得,,
      因为,所以取,
      故最小正周期,.
      (2)因为函数的单调递增区间为,
      所以由,得,
      所以,.所以的增区间为.
      (3)因为,所以有,
      所以当时,函数取得最大值,
      当时,函数取得最小值.
      所以函数在上的取值范围为.
      【变式1-1】某同学用“五点法”画函数(,)在一个周期内的简图时,列表如下:
      则有 , , .
      【答案】 2 3
      【详解】函数(,),
      由“五点法”所列表格,得函数的最大值和最小值为2和-2,所以,
      函数最小正周期,解得,
      当时,,解得.
      故答案为:2;3;.
      【变式1-2】某振动物体的运动方程是,下表是用“五点法”画该运动方程在某一个周期内的图象时所列表格.
      (1)①为________,②为________,③为________(直接写出结果即可);
      (2)求该振动物体的振幅、频率、初相.
      【答案】(1)①,②,③
      (2)振幅为2,频率为,初相为.
      【详解】(1)因为,则空②填;
      空③填;空①填.
      (2)根据表中已知数据可得,
      ,因此最小正周期为,,则,
      当时,,(),解得,().
      因为,则,
      ∴函数表达式为.
      因此振幅为2,频率为,初相为.
      【变式1-3】已知函数,.
      (1)在用“五点法”作函数在区间上的图象时,列表如下:
      将上述表格填写完整,并在坐标系中画出函数的图象;

      (2)求函数在区间上的最值以及对应的的值.
      【答案】(1)表格见解析,图像见解析;
      (2)时,取最大值,时,取最小值.
      【详解】(1)在用“五点法”作函数y=fx在区间上的图象时,列表如下:
      描点,连线,可得图象如下:

      (2)因为,可得,
      故当时,即时,取最大值,
      当时,即时,取最小值.
      重难点二 三角函数间的变换
      【例3】要得到函数的图象,只需将的图象 (平移方向和长度).
      【答案】向右平移个单位长度
      【详解】将函数的图象向右平移个单位长度得到的图象.
      故答案为:向右平移个单位长度.
      【例4】(多选)为得到函数的图象,只需将的图象( )
      A.先将横坐标扩大到原来的2倍(纵坐标不变),再向右平移个单位长度
      B.先将横坐标扩大到原来的2倍(纵坐标不变),再向右平移个单位长度
      C.先向右平移个单位长度,再将横坐标扩大到原来的2倍(纵坐标不变)
      D.先向右平移个单位长度,再将横坐标扩大到原来的2倍(纵坐标不变)
      【答案】BC
      【详解】如果是先伸缩再平移,
      那么需先将横坐标扩大到原来的2倍(纵坐标不变),
      得到,再向右平移个单位长度,即得;
      如果是先平移再伸缩,
      需先将向右平移的单位长度,
      得到,再将横坐标扩大到原来的2倍(纵坐标不变),
      即得.
      故选:BC
      【变式2-1】将函数()的图象向右平移个单位后,所得到的函数图象关于轴对称,则 .
      【答案】
      【详解】由题意得变换后图象的解析式为,
      因为的图象关于轴对称,所以,
      所以,即,
      因为,所以.
      故答案为:.
      【变式2-2】(多选)为了得到函数的图象,只要把函数图象上所有的点( )
      A.向右平移个单位后,再把图象上所有点的横坐标扩大到原来的倍,纵坐标不变
      B.向右平移个单位后,再把图象上所有点的横坐标缩小到原来的,纵坐标不变
      C.横坐标扩大到原来的倍,纵坐标不变,再把所得图象向右平移个单位
      D.横坐标缩小到原来的,纵坐标不变,再把所得图象向右平移个单位
      【答案】AC
      【详解】因为,
      为了得到函数的图象,只要把函数图象上所有的点
      向右平移个单位后,再把图象上所有点的横坐标扩大到原来的倍,纵坐标不变,
      或横坐标扩大到原来的倍,纵坐标不变,再把所得图象向右平移个单位,
      故选:AC.
      【变式2-3】为了得到函数的图像,只需把函数的图像上所有的点:
      ①向左平移个单位,再把所得各点的横坐标缩短到原来的(纵坐标不变);
      ②向右平移个单位,再把所得各点的横坐标缩短到原来的(纵坐标不变);
      ③向左平移个单位,再把所得各点的横坐标伸长到原来的3倍(纵坐标不变);
      ④向右平移个单位,再把所得各点的横坐标伸长到原来的3倍(纵坐标不变).
      其中正确的是 (填序号)
      【答案】③
      【详解】对于①,把函数,的图象上所有的点向左平移个单位长度,再把所得各点的横坐标伸长到原来的倍(纵坐标不变)得到函数的图象,故①不正确;
      对于②,把函数,的图象上所有的点向右平移个单位长度,再把所得各点的横坐标伸长到原来的倍(纵坐标不变)得到函数的图象,故②不正确;
      对于③,把函数,的图象上所有的点向左平移个单位长度,再把所得各点的横坐标伸长到原来的倍(纵坐标不变)得到函数的图象,故③正确;
      对于④,把函数,的图象上所有的点向右平移个单位长度,再把所得各点的横坐标伸长到原来的倍(纵坐标不变)得到函数的图象,故④不正确.
      故答案为:③.
      重难点三 与三角恒等变换有关的图象变换问题
      【例5】已知函数,其中最大值为2.则函数的图象向右平移 个单位长度得到的图象.
      【答案】/
      【详解】

      由题意可得,解得,
      故.
      因为,且,
      所以将函数的图象向右平移个单位长度,可得函数的图象,
      再将的图象向左平移个单位长度,可得函数的图象.
      即函数的图象可以由函数的图象向右平移个单位长度得到.
      故答案为:.
      【例6】为了得到的图象只需将函数的图象 .
      【答案】向右平移个单位长度
      【详解】由题意

      只需把的图象向右平移个单位长度即得到的图象.
      故答案为:向右平移个单位长度.
      【变式3-1】若函数的一个零点为,则 ;将函数的图象向左至少平移 个单位,得到函数的图象.
      【答案】 1 /
      【详解】函数的一个零点为,得,解得;
      则,显然,
      所以的图象向左至少平移个单位,得到函数的图象.
      故答案为:1;
      【变式3-2】将函数的图象向右平移个单位长度,得到函数的图象,则的最小值为 .
      【答案】
      【详解】因为,
      所以把的图象向右平移个单位长度,可以得到的图象,则的最小值为.
      故答案为:
      【变式3-3】将函数的图象向左平移个单位得到的图象,则的值可以是 (只需写出一个符合题意的值).
      【答案】(答案不唯一,符合即可)
      【详解】根据题意可知将函数的图象向左平移个单位可以得到,
      即可得,
      可得,,解得.
      则可取.
      故答案为:
      重难点四 求图象变换前(后)的解析式
      【例7】将函数的图象上所有点的横坐标变为原来的3倍,再向右平移个单位长度得到函数的图象,则 .
      【答案】32/1.5
      【详解】由题意知,所以.
      故答案为:
      【例8】将函数图象向左平移个单位长度,再将横坐标变为原来的倍,纵坐标变为原来的倍,得到函数的图象,则函数的最小正周期为 .
      【答案】
      【详解】,
      将图象向左平移个单位长度可得:,
      将的横坐标变为原来的倍可得:,
      将的纵坐标变为原来的倍可得:,
      的最小正周期.
      故答案为:.
      【变式4-1】将函数的图象上每一个点的横坐标变为原来的,纵坐标不变,得到函数的图象,则的值为 .
      【答案】
      【详解】由题得,则.
      故答案为:.
      【变式4-2】已知函数,现将的图象向左平移个单位长度,再将所得图象上各点的横坐标伸长为原来的2倍,纵坐标不变,得到函数的图象,则 .
      【答案】1
      【详解】的图象向左平移个单位长度得到
      的图象,
      的图象上各点的横坐标伸长为原来的2倍,纵坐标不变,
      得到的图象,

      故答案为:1
      【变式4-3】已知函数,若将函数的图象上各点的纵坐标不变,横坐标伸长为原来的2倍,再将得到的图象向右平移个单位长度,得到的函数图象关于轴对称,则 .
      【答案】
      【详解】,变换后函数式为
      ,它的图象关于轴对称,
      则,,
      又,所以,
      故答案为:.
      重难点五 由部分图象求函数的解析式
      【例9】已知函数的部分图象如图所示,且,,则 .
      【答案】
      【详解】由题意,知,最小正周期①.注意到②.
      结合①②,解得.
      将点代入,得.
      因为,所以或.
      依题意,得.当时,,取,得,满足题意;
      当时,,不存在使成立的整数,舍去.
      故答案为:.
      【例10】已知函数(,)的部分图象如图所示,图象的一个最高点为M,图象与x轴的一个交点为,且点M,N之间的距离为5,则 .
      【答案】2
      【详解】由于的最大值为4,且M,N之间的距离为5,
      所以,所以,故,
      ,
      故,结合,所以,
      故,因此,
      故答案为:2
      【变式5-1】如图所示为的部分图像,点A和点B之间的距离为5,那么 .

      【答案】
      【详解】根据函数,的部分图象,,两点之间的距离为5,
      可得,求得.
      根据图象过,可得,求得,

      ,可得,
      故,
      故答案为:.
      【变式5-2】已知函数的图象如图所示,M,N是直线与曲线y=fx的两个交点,且,则的值为
      【答案】
      【详解】由图像可知,
      设,
      由可得,
      令,可得,
      则,
      把代入结合五点法可得,
      所以,
      故答案为:.
      【变式5-3】已知函数的部分图象如图所示,且,则不等式在区间0,4上的解集为 .
      【答案】
      【详解】由图可知,解得,
      由图可知,,
      又,所以或,
      当时,,
      因为,所以当时,显然有,
      因此函数先是增函数,显然不符合图象,
      当时,
      因为,所以当时,显然有,
      因此函数先是减函数,符合图象特征,
      令,或,因为,
      所以,
      即,

      所以有,
      因为,
      所以令,则有,
      而,所以,
      故答案为:
      【点睛】关键点睛:本题的关键是根据函数的单调性确定的值.
      知识点4三角函数模型的作用
      三角函数作为描述现实世界中周期现象的一种数学模型,可以用来研究很多问题,在刻画周期变化规律、预测未来等方面发挥重要作用.
      用函数模型解决实际问题的一般步骤:收集数据→画散点图→选择函数模型→求解函数模型→检验.
      重难点六 三角函数在物理学中的应用
      【例11】(多选)如图,弹簧挂着的小球做上下运动,将小球的球心视为质点,它在(单位:s)时相对于平衡位置(图中处)的高度(单位:cm)由关系式确定,其中,,,.小球从最高点出发,经过0.5s后,第一次到达最低点,经过的路程为10cm,则下列说法正确的是( )
      A.B.
      C.小球在内经过的路程为10cmD.时,小球正在向上运动
      【答案】ABD
      【详解】由题意,,,,
      当时,小球位于最高点,则,,,故A,B正确;
      对于C,由题意,当,小球经过一个周期,则其路程为,故C错误;
      对于D,当时,由周期性,等价于,
      此时,
      由正弦函数的图像可知,图像自下而上穿过轴,小球正在向上运动,故D正确,
      故选:ABD.
      【例12】如图是两个齿轮旋转的示意图,被动轮随着主动轮的旋转而旋转,而且被动轮与主动轮有相反的旋转方向.两点分别位于该齿轮的主动轮与被动轮上,初始位置如图①所示,两点到两齿轮中心所在直线的距离随时间的变化满足如图②所示的函数图象,已知主动轮转动一圈的时间小于被动轮转动一圈的时间,则两点再次同时回到初始位置所经过的时间为 s.
      【答案】4
      【详解】设主动轮、被动轮的周期分别为,则,
      故,所以,故需要经过4s,同时回到起点.
      故答案为:
      【变式6-1】如图,单摆从某点开始来回摆动,离开平衡位置O的距离s(单位:cm)和时间t(单位:s)的函数关系为,那么单摆摆动的频率为 ,第二次到达平衡位置O所需要的时间为 s.

      【答案】 /0.5
      【详解】单摆摆动的频率
      当时,,故第一次到达平衡位置O的所需要的时间为.
      所以第二次到达平衡位置O所需要的时间为
      故答案为:;.
      【变式6-2】如图,在匀强磁场中,一不计重力的带电粒子在磁场作用下逆时针做匀速圆周运动,以运动轨迹的中心为圆心,建立坐标系,已知轨迹半径为3cm,粒子旋转一周需要的时间为2s.若从点处开始计时,则该带电粒子运动的过程中与轴所在平面的距离与时间的函数关系式可以为( )

      A.B.
      C.D.
      【答案】B
      【详解】由题意知,表示距离为非负数,A,C错误;
      粒子从起始位置开始运动,到轴的距离逐步增加,达到最大值后开始减小,
      中,当时,,函数单调递增,满足题意,B正确;
      中,当时,,函数单调递减,D错误.
      故选;B
      【变式6-3】如图,一根绝对刚性且长度不变、质量可忽略不计的线,一端固定,另一端悬挂一个沙漏.让沙漏在偏离平衡位置一定角度(最大偏角)后在重力作用下在铅垂面内做周期摆动,沙漏摆动时离开平衡位置的位移(单位:)与时间(单位:)满足函数关系,若函数在区间上的最大值为,最小值为,则的最小值为 .

      【答案】
      【详解】由函数的图象,可得,解得,所以,
      又由,可得,解得
      因为,所以,所以,
      由区间的区间长度为,即区间长度为个周期,
      当区间在同一个单调区间时,不妨设,可得
      则,
      因为,可得,当或时,取最小值;
      当区间在不同一个单调区间时,不妨设,可得,
      此时函数在上先增后减,此时,
      不妨设,则

      .
      综上可得,最小值为.
      故答案为:.
      重难点七 三角函数在圆周运动中的应用
      【例13】筒车亦称“水转筒车”,是一种以水流作动力,取水灌田的工具,唐陈廷章《水轮赋》:“水能利物,轮乃曲成.升降满农夫之用,低徊随匠氏之程.始崩腾以电散,俄宛转以风生.虽破浪于川湄,善行无迹;既斡流于波面,终夜有声.”如图,一个半径为4的筒车按逆时针方向每分钟转一圈,筒车的轴心O距离水面的高度为.在筒车转动的一圈内,盛水筒P距离水面的高度不低于的时间为( )
      A.9秒B.12秒C.15秒D.20秒
      【答案】D
      【详解】假设所在直线垂直于水面,且米,如下示意图,
      由已知可得,
      所以,处在劣弧时高度不低于米,
      转动的角速度为/每秒,
      所以水筒P距离水面的高度不低于的时间为秒,
      故选:D.
      【例14】已知现代600千瓦风力发电机上,每个扇叶长度为20m,对应塔高(旋转中心距离地面的高度)为60m,扇叶逆时针方向每分钟旋转27转.若点为扇叶尖上一点,当位于最低点时开始计时,则离地面的距离(单位:m)与其转动时间(单位:s)的函数关系式为( )(角速度圆半径转过的弧度/运动时间)
      A.B.
      C.D.
      【答案】A
      【详解】以旋转中心为原点,扇叶长度为半径建立平面直角坐标系.
      由题意可得点作匀速圆周运动的角速度为,
      可得秒后点旋转过的弧度为,
      设函数,由题可得,
      所以,当时,,
      代入可得,则得,
      则.
      故选:A.
      【变式7-1】筒车亦称“水转筒车”,一种以水流作动力,取水灌田的工具,如图是某公园的筒车,假设在水流稳定的情况下,筒车上的每一个盛水筒都做逆时针方向匀速圆周运动.现有一半径为2米的筒车,在匀速转动过程中,筒车上一盛水筒距离水面的高度(单位:米,记水筒在水面上方时高度为正值,在水面下方时高度为负值)与转动时间(单位:秒)满足函数关系式,,且时,盛水筒位于水面上方米处,当筒车转动到第秒时,盛水筒距离水面的高度为( )米.
      A.B.C.D.
      【答案】B
      【详解】依题意可得,即,又,所以,
      所以,
      则当时,
      即当筒车转动到第秒时,盛水筒距离水面的高度为米.
      故选:B
      【变式7-2】筒车亦称“水转筒车”,是利用水力转动的筒车,必须架设在水流湍急的岸边.水激轮转,浸在水中的小筒装满了水带到高处,筒口向下,水即自筒中倾泻入轮旁的水槽而汇流入田.某乡间有一筒车,其最高点到水面的距离为6 m,筒车直径为8 m,设置有8个盛水筒,均匀分布在筒车转轮上,筒车上的每一个盛水筒都做逆时针匀速圆周运动,筒车转一周需要24 s,如图,盛水筒A(视为质点)的初始位置P0距水面的距离为4 m.

      (1)盛水筒A经过t s后距离水面的高度为h(单位:m),求筒车转动一周的过程中,h关于t的函数h=f(t)的解析式;
      (2)盛水筒B(视为质点)与盛水筒A相邻,设盛水筒B在盛水筒A的顺时针方向相邻处,求盛水筒B与盛水筒A的高度差的最大值(结果用含π的代数式表示),及此时对应的t.
      (参考公式:sin θ-sin φ=2cs ·sin ,cs θ-cs φ=2sin sin )
      【答案】(1)h=4sin(t+)+2,t∈[0,24]
      (2)8sinm,t=11.5或t=23.5.
      【详解】解:(1) 以筒车转轮的中心O为原点,与水面平行的直线为x轴建立平面直角坐标系.
      设h=M sin (ωt+φ)+N,t∈[0,24].
      由题意知,2M=8,M+N=6,
      ∴ M=4,N=2,即h=4sin (ωt+φ)+2.
      当t=0时,h=4sin φ+2=4,解得sin φ=,结合图象初始位置可知φ=.
      ∵ T==24,∴ ω=.
      综上,h=4sin (t+)+2,t∈[0,24].

      (2) 经过t s后A距离水面的高度h=4sin (t+)+2.
      由题意知∠AOB==,所以经过t s后B距离水面的高度h′=4sin (t-)+2,则盛水筒B与盛水筒A的高度差为H=|h-h′|=4|sin (t+)-sin (t-)|,
      利用sin θ-sin φ=2cs sin ,H=4|sin (t+)-sin (t-)|=8sin |cs (t+)|,当t+=kπ,k∈Z,
      即t=-+12k,k∈Z时,H取最大值8sin (m).
      ∵ t∈[0,24],∴ 当t=11.5或t=23.5时,H取最大值.
      综上,盛水筒B与盛水筒A的高度差的最大值约为8sin m,此时t=11.5或t=23.5.
      【考查意图】
      三角函数模型下相关实际应用问题.
      【变式7-3】如图,某公园摩天轮的半径为40m,其中心O距地面的高度为50m,该摩天轮按顺时针做匀速转动,每3min转一圈,轮上的点P的起始位置在最低点处.

      (1)已知在时刻t(单位:min)时,点P距离地面的高度(单位:m),求2024min时,点P距离地面的高度;
      (2)当离地面的高度大于时,可以看到公园的全貌,求摩天轮转动一圈过程中,有多少时间可以看到公园全貌.
      【答案】(1)70m;
      (2)0.5min.
      【详解】(1)依题意,,,,则,
      由于点P的起始位置在最低点处,则可取,
      摩天轮按顺时针做匀速转动,则点P旋转tmin所得的角为,
      因此,
      于是,
      所以2024min时点P距离地面的高度为70m.
      (2)由(1)知,令,
      即,整理得,
      则有,解得,
      显然,
      所以转动一圈过程中,有0.5min时间可以看到公园全貌.
      重难点八 三角函数在生活中的周期性变化
      【例15】某兴趣小组以某闰年春分为起始时间(已知春分时太阳直射点在赤道上),测量了一整年内太阳直射点纬度,并通过正弦函数来模拟该闰年太阳直射点的变化.已知太阳直射点移至最北端时纬度约为北纬,用代表天数,代表太阳直射点纬度,太阳直射北半球时取正值,直射南半球时取负值,则该年太阳直射点的变化近似满足下列哪个函数( )
      A.B.
      C.D.
      【答案】B
      【详解】设,又,则,
      因为太阳直射点移至最北端时纬度约为北纬,
      且太阳直射北半球时取正值,直射南半球时取负值,所以,
      则近似满足函数.
      故选:B.
      【例16】某城市在某天的气温变化(单位:℃)与时间(单位:h)的关系可以近似表示为,则下列说法中错误的是( )
      A.当日最大温差为16℃B.中午十二点时达到当日最高温
      C.午夜两点之后温度开始逐步上升D.早晚八点时温度相同
      【答案】B
      【详解】最高温度为,最低温度为,
      所以当日最大温差为,A正确;
      将代入,解得,B错误;
      令,解得时,即,
      所以函数在上单调递增,C正确;
      将分别代入原函数中解得,即早晚八点时温度相同,D正确.
      故选:B
      【变式8-1】海水受日月引力会产生潮汐.以海底平面为基准,涨潮时水面升高,退潮时水面降低.现测得某港口某天的时刻与水深的关系表如下所示:(3.1时即为凌晨3点06分)
      (1)根据以上数据,可以用函数来近似描述这一天内港口水深与时间的关系,求出这个函数的解析式;
      (2)某条货船的吃水深度(水面高于船底的距离)为4.2米.安全条例规定,在本港口进港和在港口停靠时,船底高于海底平面的安全间隙至少有2米,根据(1)中的解析式,求出这条货船最早可行的进港时间及这条货船一天最多可以在港口中停靠的总时长.
      【答案】(1)
      (2)最早可行的进港时间为 1 时 2 分, 5 时 10 分出港;这条货船一天中最多可以在港口中停靠的总时长为8小时16分.
      【详解】(1)由表格可知y的最大值为7.4,最小值为2.6,
      所以,
      由表格可知,
      所以,
      所以,
      将点代入可得:,
      所以,
      解得,
      因为,所以,
      所以.
      (2)货船需要的安全水深为 米,
      所以进港条件为 .
      令 ,
      即,
      所以,
      解得,
      因为,
      所以时,,
      k=1时,
      因为(时) =1 时 2 分, (时) 时 10 分.
      (时) 时 26 分,(时) 时 34 分.
      因此,货船可以在 1 时 2 分进港,早晨 5 时 10 分出港;或在下午 13 时 26 分进港,下午 17 时 34 分出港.
      则该货船最早进港时间为1时2分,停靠总时长为8小时16分钟.
      【变式8-2】(多选)从出生之日起,人的体力、情绪、智力呈周期性变化,在前30天内,它们的变化规律如图所示(均为可向右无限延伸的正弦型曲线模型):
      记智力曲线为,情绪曲线为,体力曲线为,且三条曲线的起点位于坐标系的同一点处,则( )
      A.体力曲线的最小正周期是三个曲线中最大的
      B.第462天时,智力曲线处于上升期、情绪曲线处于下降期
      C.智力、情绪、体力三条曲线存在无数个公共点
      D.存在正整数,使得第天时,智力、情绪、体力三条曲线同时处于最高点或最低点
      【答案】BC
      【详解】由图象,体力的最小正周期是三个曲线中最小的,A错;
      由图象,智力周期为33天,情绪周期为28天,相当于的起点,,相当于的中间点,B正确;
      体力周期是23,只要是的公倍数都是它们的公共点横坐标,C正确;
      智力曲线处于最高点的天数为,情绪曲线处于最高点的天数为,体力曲线处于最高点的天数为,只有情绪曲线是整数天处于最高点,另外两个曲线处于最高点的天数都不是整数,同样最低点也是如此,因此D错.
      故选:BC.
      【变式8-3】某“帆板”集训队在一海滨区域进行集训,该海滨区域的海浪高度y(米)随着时间t(,单位:小时)呈周期性变化,每天各时刻t的浪高数据的平均值如表:
      (1)从,,中选择一个合适的函数模型,并求出该拟合模型的解析式;
      (2)如果确定在一天内的7时至19时之间,当浪高不低于0.8米时才进行训练,试安排恰当的训练时间.
      【答案】(1)选择较合适,();
      (2)应安排在11时到19时训练较恰当
      【详解】(1)把表格中的数据在坐标系内描出,如下,
      由所描点知:应选择,
      令,,,
      依题意,函数的最大值为,最小值为,周期为,
      则,,,
      于是,代入点,得,
      即,则,又,因此,
      所以该模型的解析式为:.
      (2)令,得,则,
      解得,而,
      当时,,则;当时,,则;
      当时,,则,因此或或,
      依题意,应在白天11点到19点之间训练较恰当.
      一、单选题
      1.要得到函数的图象,只需将函数的图象( )
      A.向左平移个单位长度
      B.向右平移个单位长度
      C.向左平移个单位长度
      D.向右平移个单位长度
      【答案】D
      【详解】由题意可得,所以函数的图象向右平移个单位长度可得.
      故选:D.
      2.已知函数的部分图象如图所示,则( )
      A.1B.C.D.2
      【答案】B
      【详解】由图可知,函数的最小正周期,且,
      故.
      故选:B.
      3.已知函数,将的图象先向左平移个单位长度,然后再向下平移1个单位长度,得到函数的图象,若图象关于对称,则为( )
      A.B.C.D.
      【答案】A
      【详解】由辅助角公式得,
      的图象先向左平移个单位长度,然后再向下平移1个单位长度,
      得到函数,
      若图象关于对称,
      故,
      所以,由于,所以.
      故选:A
      4.将函数的图象向右平移个单位长度后与函数的图象重合,则的最小值为( )
      A.B.C.D.
      【答案】B
      【详解】将函数的图象向右平移个单位长度后
      得到的图象,
      又,,
      由题可知,,,解得,,
      又,当时,取得最小值.
      故选:B.
      5.已知某垂直于地面放置的时钟时针长度为6cm,时针绕中心点匀速旋转,记时针端点到点所在水平面的距离为,当时,时针指向的数字不可能是( )
      A.2B.4C.5D.8
      【答案】C
      【详解】假设距离与时间之间的关系为,可易得,
      则时针每小时转,即,所以,
      当时,解得.
      故选:C
      6.将函数的图象向左平移个单位,再将横坐标变为原来的,得到函数的图象,若,则( )
      A.B.C.1D.
      【答案】B
      【详解】由函数的图象向左平移个单位,再将横坐标变为原来的,得到得,
      由可得,,得或,
      解得或,又,所以,则.
      故选:B.
      二、多选题
      7.已知函数与,下列说法正确的是( )
      A.将的图象上所有点的横坐标变为原来的,并向左平移个单位可以得到的图象
      B.与的图象存在相同的对称中心
      C.与在区间上单调性相同
      D.当时,与的图象有且仅有个交点
      【答案】ACD
      【详解】对于A,将的图象上所有点的横坐标变为原来的,得到,
      再将向左平移个单位,得的图象,A正确;
      对于B,的图象对称中心的横坐标满足,
      又的图象对称中心横坐标满足,,
      解得,两个方程无公共解,
      所以两个函数图象不存在相同的对称中心,选项B错误;
      对于C,令,则,
      则与在区间上均单调递增,故选项C正确;
      对于D,令,得或,
      解得或,
      所以时,零点有,共有个,选项D正确.
      故选:ACD
      8.(多选)函数的部分图象如图所示,则下列说法正确的是( )
      A.的图象的最小正周期为
      B.
      C.将的图象上各点的横坐标伸长到原来的5倍,再向上移动3个单位长度后得到的函数图象的解析式为
      D.不等式的解集为
      【答案】BCD
      【详解】A选项,的最小正周期,A错误;
      B选项,,
      则,即,
      由可得,,即,B正确;
      C选项,将的图象上各点的横坐标伸长到原来的5倍,得到,
      再向上移动3个单位长度后得到的解析式为,C正确;
      D选项,由可得,,即,
      所以,解得,
      即不等式的解集为,D正确.
      故选:BCD
      9.如图,弹簧挂着的小球做上下运动,它在时相对于平衡位置的高度(单位:)由关系式,确定,其中,,.小球从最高点出发,经过后,第一次回到最高点,则( )

      A.
      B.
      C.与时的相对于平衡位置的高度之比为
      D.与时的相对于平衡位置的高度之比为
      【答案】BC
      【详解】对于AB,由题可知小球运动的周期,又,所以,解得,
      当时,,又,所以,故A错误,B正确;
      对于CD,则,
      所以与时的相对于平衡位置的高度之比为
      ,故C正确D错误.
      故选:BC.
      三、填空题
      10.某地为发展旅游事业,在旅游手册中给出了当地一年12个月每个月的平均气温表(气温单位:℃),如图.根据图中提供的数据,试用近似地拟合出月平均气温与时间(单位:月)的函数关系式为 .

      【答案】
      【详解】若以1月份为最低气温15,8月份为最高气温27,
      则可得
      故,
      将最高点代入可得,故,
      解得,由于,则,
      所以函数解析式为.
      故答案为:
      11.将函数的图象先向右平移个单位长度,再把所得函数图象的横坐标变为原来的倍,纵坐标不变,得到函数的图象,若函数在上没有零点,则的取值范围是 .
      【答案】
      【详解】将函数的图象先向右平移个单位长度,得到函数的图象,
      再把所得函数图象的横坐标变为原来的倍,纵坐标不变,得到函数的图象,
      当时,.
      由在上没有零点,得,
      即,解得或.
      故答案为:.
      12.已知函数的图象与轴在原点右侧的第一个交点为,在轴右侧的第一个最高点为,则 .
      【答案】
      【详解】由的图象与轴在原点右侧的第一个交点为,在轴右侧的第一个最高点为得,或,
      当时,,所以,代入点得,
      又因为,所以,所以,;
      当时,所以,代入点得,
      又因为,所以,所以,.
      综上,.
      故答案为:.
      四、解答题
      13.已知函数的部分图象如图所示,点,
      (1)求的解析式;
      (2)将的图象上各点的纵坐标保持不变,横坐标伸长为原来的2倍,再将所得图象向左平移个单位长度,得到的图象,求在区间上的最值.
      【答案】(1)
      (2)最小值为,最大值为1
      【详解】(1)由图象知.
      因为的图象过点,所以,
      又,所以,所以.
      又的图象过点,由“五点作图法”可得,
      所以.所以.
      (2)由题意知,
      当时,,
      所以,
      则,
      所以在区间上的最小值为,最大值为1.
      14.将函数图象上每一点的横坐标缩短为原来的一半,纵坐标不变,再向右平移个单位长度得到的图象,求的值.
      【答案】
      【详解】的图象向左平移个单位长度,得到的图象,
      再将每一点横坐标伸长为原来的2倍(纵坐标不变),得到的图象,
      即为的图象,
      ∴,.
      15.如图,弹簧挂着的小球上下振动.设小球相对于平衡位置(即静止时的位置)的距离与时间之间的函数表达式是,,作出这个函数的大致图象,并回答下列问题:
      (1)小球开始振动(即)时的位置在哪里?
      (2)小球最高点和最低点与平衡位置的距离分别是多少?
      (3)经过多少时间小球往复振动一次?
      (4)每秒钟小球往复振动多少次?
      【答案】(1)图象见解析,相对于平衡位置(即静止时的位置)的距离
      (2)
      (3)2秒
      (4)次
      【详解】(1)的图象如图,
      因为,
      所以当时,,
      则小球开始振动(即)时的位置相对于平衡位置(即静止时的位置)的距离.
      (2)对于,振幅为,
      所以小球最高点和最低点与平衡位置的距离都是;
      (3)对于,,
      所以,即经过2秒小球往复振动一次;
      (4)因为,所以每秒钟小球往复振动次.
      16.主动降噪耳机工作的原理是先通过微型麦克风采集周围的噪声,然后降噪芯片生成与噪声振幅相同、相位相反的声波来抵消噪声(如图所示),已知某噪声声波曲线,其振幅为2,且经过点.
      (1)求该噪声声波曲线f(x)的解析式以及降噪芯片生成的降噪声波曲线g(x)的解析式;
      (2)证明:为定值.
      【答案】(1)
      (2)证明见解析
      【详解】(1)由振幅为2,,可得,,
      由噪声声波曲线经过点,得,
      而,,
      则,则,
      又降噪声波曲线与噪声声波曲线的振幅相同、相位相反,
      所以.
      (2)由(1),


      即为定值0.
      一、“五点法”作的图象
      五、由部分图象求函数的解析式
      二、三角函数间的变换
      六、三角函数在物理学中的应用
      三、与三角恒等变换有关的图象变换问题
      七、三角函数在圆周运动中的应用
      四、求图象变换前(后)的解析式
      八、三角函数在生活中的周期性变化
      振幅
      周期
      频率
      相位
      初相
      A
      x
      0
      x
      y
      0
      2
      0
      –2
      0
      0



      0
      2
      0
      0
      0
      0
      0

      0
      2
      0
      时刻:x(时)
      0
      3.1
      6.2
      9.3
      12.4
      15.5
      18.6
      21.7
      24
      水深:y(米)
      5.0
      7.4
      5.0
      2.6
      5.0
      7.4
      5.0
      2.6
      4.0
      t/时
      0
      3
      6
      9
      12
      15
      18
      21
      24
      y/米
      1.0
      1.4
      1.0
      0.6
      1.0
      1.4
      0.9
      0.6
      1.0

      相关学案

      数学必修 第一册函数y=Asin(ωx+φ)的图像与性质优秀导学案及答案:

      这是一份数学必修 第一册函数y=Asin(ωx+φ)的图像与性质优秀导学案及答案,文件包含5657函数yAsinωx+φ和三角函数的应用八个重难点突破原卷版docx、5657函数yAsinωx+φ和三角函数的应用八个重难点突破解析版docx等2份学案配套教学资源,其中学案共57页, 欢迎下载使用。

      人教A版 (2019)必修 第一册3.4 函数的应用(一)导学案:

      这是一份人教A版 (2019)必修 第一册3.4 函数的应用(一)导学案,文件包含34函数的应用一五个重难点突破原卷版docx、34函数的应用一五个重难点突破解析版docx等2份学案配套教学资源,其中学案共49页, 欢迎下载使用。

      人教A版 (2019)必修 第一册5.6 函数 y=Asin( ωx + φ)优秀学案:

      这是一份人教A版 (2019)必修 第一册5.6 函数 y=Asin( ωx + φ)优秀学案,共20页。

      资料下载及使用帮助
      版权申诉
      • 1.电子资料成功下载后不支持退换,如发现资料有内容错误问题请联系客服,如若属实,我们会补偿您的损失
      • 2.压缩包下载后请先用软件解压,再使用对应软件打开;软件版本较低时请及时更新
      • 3.资料下载成功后可在60天以内免费重复下载
      版权申诉
      若您为此资料的原创作者,认为该资料内容侵犯了您的知识产权,请扫码添加我们的相关工作人员,我们尽可能的保护您的合法权益。
      入驻教习网,可获得资源免费推广曝光,还可获得多重现金奖励,申请 精品资源制作, 工作室入驻。
      版权申诉二维码
      高中数学人教A版 (2019)必修 第一册电子课本

      5.6.2 函数y=Asin(ωx +φ)的图像与性质

      版本: 人教A版 (2019)

      年级: 必修 第一册

      切换课文
      • 课件
      • 教案
      • 试卷
      • 学案
      • 更多
      欢迎来到教习网
      • 900万优选资源,让备课更轻松
      • 600万优选试题,支持自由组卷
      • 高质量可编辑,日均更新2000+
      • 百万教师选择,专业更值得信赖
      微信扫码注册
      手机号注册
      手机号码

      手机号格式错误

      手机验证码 获取验证码 获取验证码

      手机验证码已经成功发送,5分钟内有效

      设置密码

      6-20个字符,数字、字母或符号

      注册即视为同意教习网「注册协议」「隐私条款」
      QQ注册
      手机号注册
      微信注册

      注册成功

      返回
      顶部
      学业水平 高考一轮 高考二轮 高考真题 精选专题 初中月考 教师福利
      添加客服微信 获取1对1服务
      微信扫描添加客服
      Baidu
      map