人教A版 (2019)必修 第一册第五章 三角函数5.6 函数 y=Asin( ωx + φ)学案设计
展开
这是一份人教A版 (2019)必修 第一册第五章 三角函数5.6 函数 y=Asin( ωx + φ)学案设计,共11页。学案主要包含了求解析式,伸缩平移,综合运用等内容,欢迎下载使用。
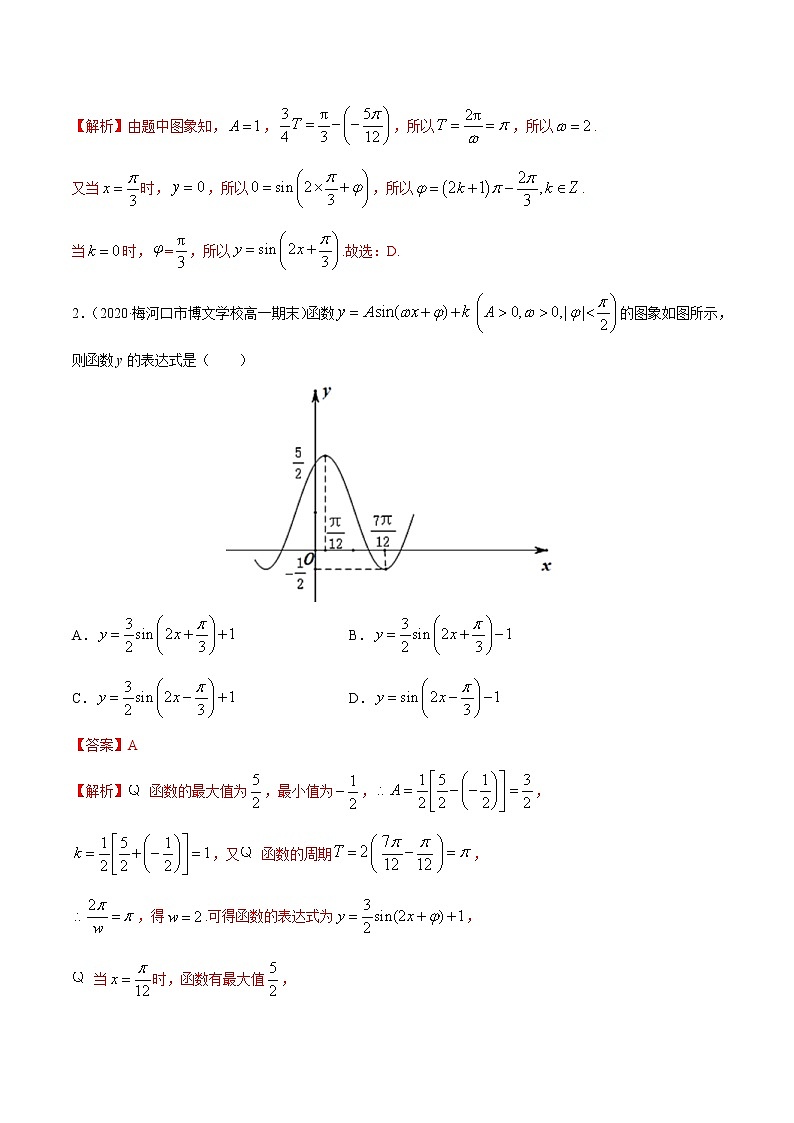
5.6 函数考点一 求解析式【例1】(2020·韶关市第一中学期末)已知,其部分图象如图所示,则的解析式为( )A. B.C. D.【答案】D【解析】由图可知,解得;又因为,故可得;由五点作图法可知,解得,故.故选:D.【一隅三反】1.(2020·全国高三课时练习(理))函数的部分图象如图所示,则( )A. B.C. D.【答案】D【解析】由题中图象知,,,所以,所以.又当时,,所以,所以.当时,=,所以.故选:D.2.(2020·梅河口市博文学校高一期末)函数的图象如图所示,则函数y的表达式是( )A. B.C. D.【答案】A【解析】 函数的最大值为,最小值为,,,又 函数的周期,,得.可得函数的表达式为, 当时,函数有最大值,,得,可得,结合,取得, 函数的表达式是.故选:.3.(2019·河南高三月考(理))函数的部分图象如图所示,且,,则函数的一个单调递减区间是( )A. B. C. D.【答案】D【解析】由图知,周期满足,所以,又,所以,则,因为,所以,即,所以,所以.因为,所以由,得,取得.故选:D.考点二 伸缩平移【例2】(1)(2020·阜新市第二高级中学高一期末)为了得到函数的图象,可将的图象( )A.向右平移个单位 B.向右平移个单位C.向左平移个单位 D.向左平移个单位(2)(2020·湖南娄星·娄底一中高一期末)将函数的图象向左平移个单位长度后得到曲线,再将上所有点的横坐标伸长到原来的2倍得到曲线,则的解析式为( )A. B.C. D.【答案】(1)A(2)A【解析】(1)由题意得:向右平移个单位即可得到的图象故选:A.(2)将函数的图像向左平移个单位长度后得到曲线,则的解析式为,再将上所有点的横坐标伸长到原来的2倍得到曲线,则的解析式为,故选:A 【一隅三反】1.(2020·山东聊城·高一期末)为了得到函数的图象,可作如下变换( )A.将y=cosx的图象上所有点向左平移个单位长度,然后将所得图象上所有点的横坐标变为原来的,纵坐标不变而得到B.将y=cosx的图象上所有点向右平移个单位长度,然后将所得图象上所有点的横坐变为原来的2倍,纵坐标不变而得到C.将y=cosx的图象上所有点的横坐标变为原来的,纵坐标不变,然后将所得图象上所有点向左平移个单位长度而得到D.将y=cosx的图象上所有点的横坐标变为原来的,纵坐标不变,然后将所得图象上所有点向左平移个单位长度而得到【答案】A【解析】为得到的图象,可将的图象上所有点向左平移个单位长度,然后将所得图象上所有点的横坐标变为原来的,纵坐标不变而得到;也可以将y=cosx的图象上所有点的横坐标变为原来的,纵坐标不变,然后将所得图象上所有点向左平移个单位长度而得到.故选:.2.(2020·应城市第一高级中学高一月考)已知函数的最小正周期为,将该函数的图象向左平移个单位后,得到的图象对应的函数为偶函数,则的图象( )A.关于点对称 B.关于直线对称C.关于点对称 D.关于直线对称【答案】A【解析】由题意,平移得函数式为,其为偶函数,∴,由于,∴.,,.∴是对称中心.故选:A.3.(2020·广东高一期末)将函数y=sin(2x﹣)的图象向右平移单位长度后,得到的图象的函数解析式为( )A.y=sin(2x﹣) B.y=﹣sin(2x﹣)C.y=cos2x D.y=﹣cos2x【答案】D【解析】将函数y=sin(2x﹣)的图象向右平移单位长度后,得到的图象的函数解析式为:.故选:D.4.(2020·临高县临高中学高一期末)将函数的图像向左平移个单位后,得到函数的图像,则下列结论正确的是( )A. B.最小正周期为C.的图象关于对称 D.在区间上单调递增【答案】BCD【解析】将函数的图象向左平移个单位后,得到函数的图象,对A,函数,故A错误; 对B,最小正周期为,故B正确;对C,当,求得为最小值,故的图象关于直线对称,故C正确;在区间上,单调递增,故D正确,故选:BCD.考点三 综合运用【例3】(2020·湖南益阳·高一期末)已知函数的部分图象如图所示.(1)求函数的解析式;(2)将函数的图象向左平移个单位,再将图象上各点的横坐标伸长到原来的2倍(纵坐标不变)得到函数的图象,求函数在区间上的值域.【答案】(1);(2).【解析】(1)由图可知,,∴,∴,∵,∴,∴∴(2)易知当时,∴,∴在区间上的值域为.【一隅三反】1.(2020·湖南益阳·期中)函数的图象如图所示,先将函数图象上所有点的横坐标变为原来的6倍,纵坐标不变,再将所得函数的图象向左平移个单位长度,得到函数的图象,下列结论正确的是( )A.函数是奇函数 B.函数在区间上是增函数C.函数图象关于对称 D.函数图象关于直线对称【答案】D【解析】由图得函数的周期,所以.因为函数的图象过点,所以,所以,所以.因为,所以,所以.先将函数的图象上所有点的横坐标变为原来的6倍,纵坐标不变,得到的图象,再将所得函数的图象向左平移个单位长度,得到.对于A选项,因为函数为偶函数,故A错误;对于B选项,令,则,而,故B错误;对于C选项,令,则,所以函数的对称中心为,故C错误;对于D选项,令,则,所以函数的对称轴为,当时,有,即D正确.故选:D.2.(2019·呼和浩特开来中学)已知函数.(1)求的值及f(x)的对称轴;(2)将的图象向左平移个单位得到函数的图象,求的单调递增区间.【答案】(1),; (2)。【解析】(1)由函数,则,令,解得,即函数的对称轴的方程为(2)由(1)可知函数的图象向左平移个单位得到函数的图象,可得的图象,令,解得,所以函数的单调递增区间为.3.(2019·湖北)已知函数.(1)求的值;(2)将函数的图像向左平移后得到函数,若时,不等式恒成立,求实数的取值范围.【答案】(1). (2) 【解析】(1)(2)当时, 即又恒成立 ,解得:实数的取值范围为:
相关学案
这是一份【同步学案】高中数学人教A版(2019)必修第一册--5.6 函数y=Asin(ωx+φ) 学案(Word版含答案),共37页。学案主要包含了考点梳理,题型归纳,双基达标,高分突破,答案详解等内容,欢迎下载使用。
这是一份数学必修 第一册5.6 函数 y=Asin( ωx + φ)学案及答案,共10页。
这是一份2021学年5.6 函数 y=Asin( ωx + φ)学案,共9页。

