资料中包含下列文件,点击文件名可预览资料内容
还剩6页未读,
继续阅读
所属成套资源:人教版高中数学必修一 精讲精练 (2份,原卷版+解析版)
成套系列资料,整套一键下载
人教版高中数学必修一 精讲精练第五章 三角函数 章末测试(基础)(2份,原卷版+解析版)
展开这是一份人教版高中数学必修一 精讲精练第五章 三角函数 章末测试(基础)(2份,原卷版+解析版),文件包含人教版高中数学必修一精讲精练第五章三角函数章末测试基础原卷版docx、人教版高中数学必修一精讲精练第五章三角函数章末测试基础解析版docx等2份试卷配套教学资源,其中试卷共24页, 欢迎下载使用。
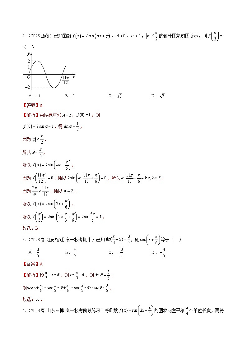
第五章 三角函数 章末测试(基础)单选题(每题5分,每题只有一个选项为正确答案,8题共40分)1.(2023北京)( )A. B. C. D.【答案】C【解析】.故选:C.2.(2023新疆)下列命题:①钝角是第二象限的角;②小于的角是锐角;③第一象限的角一定不是负角;④第二象限的角一定大于第一象限的角;⑤手表时针走过小时,时针转过的角度为;⑥若,则是第四象限角.其中正确的命题的个数是( )A. B. C. D.【答案】A【解析】①因为大于小于的角为钝角,所以钝角的终边在第二象限,钝角是第二象限的角对;②小于的角包含负角,负角不是锐角,所以小于的角是锐角错;③是第一象限角,所以第一象限角一定不是负角错;④是第二象限角,是第一象限角,,所以第二象限角一定大于第一象限角错;⑤因为时针顺时针旋转,所以针转过的角为负角,,⑤错;⑥,且,即,所以是第四象限角错.故正确的命题只有①,故选:A.3.(2022·天津)已知,则( )A.3 B. C. D.【答案】B【解析】因为,故可得:.原式.故选:B.4.(2023西藏)已知函数,,,的部分图象如图所示,则( )A. B.1 C. D.【答案】B【解析】由图象可知,,则,得,因为,所以,所以,因为,所以,所以,因为,所以,所以,所以,故选:B5.(2023春·江苏宿迁·高一校考期中)已知,则等于( )A. B. C. D.【答案】A【解析】设,则,则,则,故选:.6.(2023春·山东淄博·高一校考阶段练习)将函数的图象向左平移个单位长度,再将得到的图象上所有点的横坐标变为原来的2倍,纵坐标不变,最后得到函数,则( )A. B.C. D.【答案】A【解析】将函数的图象向左平移个单位长度后,得到的图象的解析式为,再将横坐标变为原来的倍,纵坐标不变,得到,故选:A7.(2022秋·河南周口 )函数的部分图象如图所示,将函数的图象向左平移个单位长度后得到的图象,则下列说法正确的是( )A.函数为奇函数B.函数的最小正周期为C.函数的图象的对称轴为直线D.函数的单调递增区间为【答案】D【解析】 由图象可知,,∴,则.将点的坐标代入中,整理得,∴,即;,∴,∴.∵将函数的图象向左平移个单位长度后得到的图象,∴.,∴既不是奇函数也不是偶函数,故A错误;∴的最小正周期,故B不正确.令,解得,则函数图像的对称轴为直线.故C错误;由,可得,∴函数的单调递增区间为.故D正确;故选:D. 8.(2023春·陕西西安 )已知函数,将的图象上的所有点的横坐标缩短到原来的,纵坐标保持不变;再把所得图象向上平移个单位长度,得到函数的图象,若,则的值可能为( )A. B. C. D.【答案】C【解析】函数,将函数的图象上的所有点的横坐标缩短到原来的倍,得的图象;再把所得图象向上平移个单位,得函数的图象,所以函数的值域为.若,则且,均为函数的最大值,由,解得;其中、是三角函数最高点的横坐标,的值为函数的最小正周期的整数倍,且.故选:C.二、多选题(每题至少有两个选项为正确答案,少选且正确得2分,每题5分。4题共20分)9.(2023秋·四川绵阳 )已知函数,将函数的图象向左平移个单位长度,然后纵坐标不变,横坐标伸长为原来的2倍,得到函数的图象,则下列描述中正确的是( ).A.函数的图象关于点成中心对称B.函数的最小正周期为2C.函数的单调增区间为,D.函数的图象没有对称轴【答案】ABD【解析】将函数的图象向左平移个单位长度可得函数,然后纵坐标不变,横坐标伸长为原来的2倍,得到函数,令解得,当时,所以函数的图象关于点成中心对称,A正确;函数的最小正周期为,B正确;令解得,所以函数的单调增区间为,,C错误;正切函数不是轴对称图形,D正确,故选:ABD.10.(2022秋·广东佛山 )函数的图象如图所示,则( )A.B.C.对任意的都有D.在区间上的零点之和为【答案】AB【解析】由题图可知函数的最小正周期为,则,所以,,把代入得,则,得,,,则AB选项均正确;,当时,,不满足对任意的都有,C错误;,,则共有个零点,不妨设为、、、,且,则,,两式相加,整理得,故的所有零点之和为,D错误,故选:AB.11.(2023春·辽宁抚顺·高一校联考期中)已知某扇形的圆心角为,半径为5,则( )A.该扇形的弧长为 B.该扇形的弧长为C.该扇形的面积为 D.该扇形的面积为【答案】AD【解析】由题意得该扇形的弧长为,面积为,故A,D正确,B,C错误,故选:AD12.(2023秋·山东菏泽 )小夏同学在学习了《任意角和弧度制》后,对家里的扇形瓷器盘(图1)产生了浓厚的兴趣,并临摹出该瓷器盘的大致形状,如图2所示,在扇形中,,,则( )A. B.弧长C.扇形的周长为 D.扇形的面积为【答案】BC【解析】,所以A错;弧长,所以B对;扇形的周长为,所以C对;面积为,所以D错;故选:BC三、填空题(每题5分,4题共20分)13.(2023秋·上海静安)设为第二象限角,若,则 .【答案】/【解析】为第二象限角,则,,若,则有,解得,所以.故答案为:.14.(2023秋·广西百色 )函数在上恰有个零点,则的取值范围是 .【答案】【解析】,当时,,在上恰有个零点,,解得:,即的取值范围为.故答案为:.15.(2023秋·四川眉山 )设函数,有下列结论:①的图象关于点中心对称; ②的图象关于直线对称;③在上单调递减; ④在上最小值为,其中所有正确的结论是 .【答案】②③【解析】,当时,,则的图象关于点中心对称,故①错误;当时,,则的图象关于直线对称,故②正确;由,得,当即时,函数单调递减,则当时,函数单调递减,故③正确;当时,,可知函数在上单调递增,∴的最小值为,故④错误.故答案为:②③.16.(2023春·四川达州·高一四川省万源中学校考阶段练习)将函数的图象上每个点的横坐标扩大为原来的两倍(纵坐标不变),再向左移动个单位得到函数的图象,若,且,则= .【答案】【解析】将函数的图象上每个点的横坐标扩大为原来的两倍(纵坐标不变),得到,再向左移动个单位,可得:,因为,则,且直线为的对称轴,又因为,则,可得,所以.故答案为:.四、解答题(17题10分,其余每题12分,6题共70分)17.(2023春·广东佛山·高一佛山市三水区三水中学校考阶段练习)已知.(1)若角的终边过点,求;(2)若,分别求和的值.【答案】(1)(2)3;【解析】(1),若角的终边过点,则,则;(2)若,可得,所以,所以,.18.(2022·高一课时练习)已知下列三个条件:①函数为奇函数;②当时,;③是函数的一个零点.从这三个条件中任选一个填在下面的横线处,并解答下列问题.已知函数,______.(1)求函数的解析式;(2)求函数在上的单调递增区间.【答案】(1)条件选择见解析,(2),【解析】(1)选择条件①.∵为奇函数,∴,解得,.∵,∴,∴;选条件②.,∴,∴,或,,∵,∴,∴选条件③.(1)∵是函数的一个零点,∴,∴,.∵,∴,∴.(2)由,,得,,令,得,令,得,∴函数在上的单调递增区间为,.19.(2022秋·河南郑州·高一校考期末)已知函数(其中),若点是函数图象的一个对称中心.(1)求的解析式,并求距轴最近的一条对称轴的方程;(2)先列表,再作出函数在区间上的图象.【答案】(1),函数的图象距轴最近的一条对称轴的方程为;(2)答案见解析.【解析】1)解:, 点是函数图象的一个对称中心,则,,,,,则,,故,由得,令,得函数图象距轴最近的一条对称轴方程为.(2)解:由(1)知,,当时,,列表如下:则函数在区间上的图象如图所示. 20.(2023春·四川绵阳·高一绵阳南山中学实验学校校考阶段练习)海水受日月的引力,在一定的时候发生涨落的现象叫潮.一般地,早潮叫潮,晚潮叫汐.在通常情况下,船在涨潮时驶进航道,靠近码头;卸货后,在落潮时返回海洋.下面是某港口在某季节每天的时间与水深关系表:经长期观测,这个港口的水深与时间的关系,可近似用函数来描述.(1)根据以上数据,求出函数的表达式;(2)一条货船的吃水深度(船底与水面的距离)为米,安全条例规定至少要有米的安全间隙(船底与洋底的距离),该船在一天内何时能进入港口?【答案】(1)(2)该船可以在或进入港口【解析】(1),,,;的最小正周期,;,,解得:,又,,.(2)由题意知:,即,,,解得:,,或,该船可以在或进入港口.21.(2023春·山西晋城·高一晋城市第一中学校校考阶段练习)已知函数.(1)已知,求的值;(2)当时,不等式恒成立,求实数的取值范围.【答案】(1);(2).【解析】(1),,.(2)当时,,可得,由,不等式可化为,有.令,,则,若不等式恒成立,则等价于,解得:.故实数的取值范围为. 22.(2022春·甘肃临夏·高一校考期中)已知函数.(1)求的最小正周期和的单调递减区间;(2)当时,求函数的最小值及取得最小值时x的值.【答案】(1)π;;(2)当时,函数取得最小值,最小值为.【解析】(1),所以,函数的最小正周期为.由,可得,函数的对称中心为;解不等式,解得.因此,函数的单调递减区间为;(2)当时,,当时,即当时,函数取得最小值,最小值为. 时刻水深(米)
相关资料
更多

