资料中包含下列文件,点击文件名可预览资料内容
还剩13页未读,
继续阅读
成套系列资料,整套一键下载
- 高中数学人教A版(2019)必修一培优练习5-14三角函数的应用(重难点题型检测)(Word版附解析) 试卷 0 次下载
- 高中数学人教A版(2019)必修一培优练习5-15三角函数的图象与性质的综合应用大题专项训练(30道)(Word版附解析) 试卷 0 次下载
- 高中数学人教A版(2019)必修一培优练习5-17三角函数全章综合测试卷(提高篇)(Word版附解析) 试卷 0 次下载
- 高中数学人教A版(2019)必修一培优练习综合测试卷:必修一全册(基础篇)(Word版附解析) 试卷 1 次下载
- 高中数学人教A版(2019)必修一培优练习综合测试卷:必修一全册(提高篇)(Word版附解析) 试卷 0 次下载
高中数学人教A版(2019)必修一培优练习5-16三角函数全章综合测试卷(基础篇)(Word版附解析)
展开
这是一份高中数学人教A版(2019)必修一培优练习5-16三角函数全章综合测试卷(基础篇)(Word版附解析),文件包含高中数学培优讲义练习人教A版2019必修一专题516三角函数全章综合测试卷基础篇Word版含解析docx、高中数学培优讲义练习人教A版2019必修一专题516三角函数全章综合测试卷基础篇学生版docx等2份试卷配套教学资源,其中试卷共23页, 欢迎下载使用。
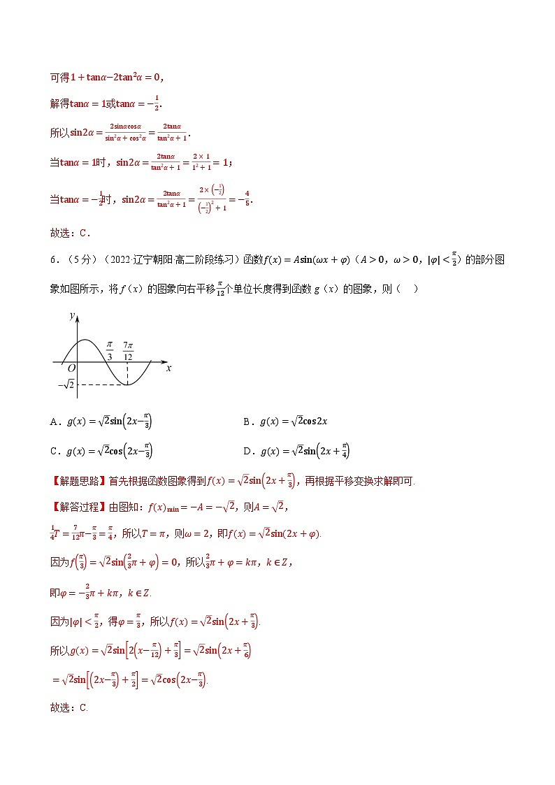
第五章 三角函数全章综合测试卷(基础篇)【人教A版2019】考试时间:90分钟;满分:150分姓名:___________班级:___________考号:___________考卷信息:本卷试题共22题,单选8题,多选4题,填空4题,解答6题,满分150分,限时90分钟,本卷题型针对性较高,覆盖面广,选题有深度,可衡量学生掌握本章内容的具体情况!一.选择题(共8小题,满分40分,每小题5分)1.(5分)(2022·江苏·高一阶段练习)与﹣460°角终边相同的角可以表示为( )A.k⋅360°+260°,k∈Z B.k⋅360°+100°,k∈ZC.k⋅360°+460°,k∈Z D.k⋅360°−260°,k∈Z2.(5分)(2022·安徽省高一开学考试)给出下列四个命题:①-75°是第四象限角;②小于90∘的角是锐角;③第二象限角比第一象限角大;④一条弦的长等于半径,这条弦所对的圆心角等于1弧度.其中正确的命题有( )A.1个 B.2个 C.3个 D.4个3.(5分)(2022·山东·高三期中)已知θ为第三象限角,sinθ−cosθ=−15,则cosθ1−2sin2θsinθ+cosθ=( )A.−425 B.−325 C.325 D.4254.(5分)(2022·江西九江·高三阶段练习(理))已知fx=cosπ−xsinπ+xsin2π−x−1,则f2023π6=( )A.3 B.−3 C.33 D.−335.(5分)(2022·全国·高三阶段练习(理))已知sinα−π4⋅cosπ+α=2cos2α,则sin2α的值为( )A.1或45 B.-1或−45C.1或−45 D.-1或456.(5分)(2022·辽宁朝阳·高二阶段练习)函数fx=Asinωx+φ(A>0,ω>0,φ<π2)的部分图象如图所示,将f(x)的图象向右平移π12个单位长度得到函数g(x)的图象,则( )A.gx=2sin2x−π3 B.gx=2cos2xC.gx=2cos2x−π3 D.gx=2sin2x+π47.(5分)(2022·广东广州·高三期中)水车在古代是进行灌溉引水的工具,是人类一项古老的发明,也是人类利用自然和改造自然的象征.如图是一个半径为R的水车,一个水斗从点A1,−3出发,沿圆周按逆时针方向匀速旋转,且旋转一周用时8秒.经过t秒后,水斗旋转到P点,设点P的坐标为x,y,其纵坐标满足y=ft=Rsinωt+φt≥0,ω>0,φ<π2,则ft的表达式为( )A.y=sinπ4t+π3 B.y=sinπ4t−π3C.y=2sinπ4t+π3 D.y=2sinπ4t−π38.(5分)(2022·江苏泰州·高三期中)已知函数f(x)=sin(ωx+φ)(ω>0,φ∈0,π2),直线x=π12和点−π6,0分别是f(x)图象相邻的对称轴和对称中心,则下列说法正确的是( )A.函数fx+π12为奇函数B.函数f(x)的图象关于点−π3,0对称C.函数f(x)在区间−π3,π4上为单调函数D.函数f(x)在区间[0,6π]上有12个零点二.多选题(共4小题,满分20分,每小题5分)9.(5分)(2021·山东·高一阶段练习)下列说法正确的有( )A.经过30分钟,钟表的分针转过−2π弧度B.若sinθ>0,cosθ<0,则θ为第二象限角C.若sinθ+cosθ>1,则θ为第一象限角D.第一象限角都是锐角,钝角都在第二象限10.(5分)(2022·湖南·高三阶段练习)已知α为第一象限角,β为第三象限角,且sinα+π6=1213,cosβ−π6=−45,则sinα+β的值可以为( )A.5665 B.−6365 C.1665 D.−336511.(5分)(2023·山东省高三阶段练习)已知函数f(x)=2sin2x−π4+1,下列选项中正确的是( )A.f(x)的最小值为−2B.f(x)在0,π4上单调递增C.f(x)的图象关于点π8,0中心对称D.f(x)在π4,π2上值域为2+1,312.(5分)(2022·全国·高一)如图,一圆形摩天轮的直径为100米,圆心O到水平地面的距离为60米,最上端的点记为Q,现在摩天轮开始逆时针方向匀速转动,30分钟转一圈,以摩天轮的中心为原点建立平面直角坐标系,则下列说法正确的是( )A.点Q距离水平地面的高度与时间的函数为ℎt=50sinπt15+π3+10B.点Q距离水平地面的高度与时间的函数的对称中心坐标为15k,60k∈ZC.经过10分钟点Q距离地面35米D.摩天轮从开始转动一圈,点Q距离水平地面的高度不超过85米的时间为20分钟三.填空题(共4小题,满分20分,每小题5分)13.(5分)(2022·上海市高一期末)与2023∘终边相同的最小正角是 .14.(5分)(2022·河南·洛阳市高三阶段练习(理))已知sin(π3−a)=13,则cos(5π6−a)= .15.(5分)(2022·全国·高三专题练习)函数fx=sinωx+φ的部分图像如图所示,则fx的最小正周期为 .16.(5分)(2022·上海·高三阶段练习)已知fx=sinxcosx,关于该函数有下面四个说法,①fx的最小正周期为π;②fx在−π4,π4上单调递增③当x∈−π6,π3时,fx的取值范围为−34,34④fx的图象可由gx=12sin2x+π4的图象向右平移π8个单位长度得到其中正确的是 (填写序号).四.解答题(共6小题,满分70分)17.(10分)(2023·全国·高三专题练习)已知角α=﹣920°.(1)把角α写成2kπ+β(0≤β<2π,k∈Z)的形式,并确定角α所在的象限;(2)若角γ与α的终边相同,且γ∈(﹣4π,﹣3π),求角γ.18.(12分)(2022·全国·高三专题练习)如图,以Ox为始边作角α与β(0<β<α<π),它们的终边分别与单位圆相交于点P、Q,已知点P的坐标为−55,255,求3sinα−2cosα2sinα+3cosα的值.19.(12分)(2021·山西·高一阶段练习)已知tanα,tanβ是方程3x2+5x−7=0的两根,求下列各式的值.(1)tanα+β(2)sinα+βcosα−β20.(12分)(2022·广东·高三阶段练习)设函数fx=2cosx2−π3.(1)求fx的最小正周期和单调增区间;(2)当x∈0,2π时,求fx的最大值和最小值.21.(12分)(2022·福建省高三期中)已知函数fx=Asinωx+φA>0,ω>0,φ<π的部分图象如图所示.(1)求fx的解析式及对称中心;(2)先将fx的图象横坐标不变,纵坐标缩短到原来的12倍,得到函数gx图象,再将gx图象右平移π12个单位后得到ℎx的图象,求函数y=ℎx在x∈π12,3π4上的单调减区间.22.(12分)(2022·全国·高一课时练习)筒车是我国古代发明的一种水利工具.如图筒车的半径为4m,轴心O距离水面2m,筒车上均匀分布了12个盛水筒.已知该筒车按逆时针匀速旋转,2分钟转动一圈,且当筒车上的某个盛水筒P从水中浮现时(图中点P0)开始计算时间.(1)将点P距离水面的距离z(单位:m.在水面下时z为负数)表示为时间t(单位:分钟)的函数;(2)已知盛水筒Q与P相邻,Q位于P的逆时针方向一侧.若盛水筒P和Q在水面上方,且距离水面的高度相等,求t的值.
第五章 三角函数全章综合测试卷(基础篇)【人教A版2019】考试时间:90分钟;满分:150分姓名:___________班级:___________考号:___________考卷信息:本卷试题共22题,单选8题,多选4题,填空4题,解答6题,满分150分,限时90分钟,本卷题型针对性较高,覆盖面广,选题有深度,可衡量学生掌握本章内容的具体情况!一.选择题(共8小题,满分40分,每小题5分)1.(5分)(2022·江苏·高一阶段练习)与﹣460°角终边相同的角可以表示为( )A.k⋅360°+260°,k∈Z B.k⋅360°+100°,k∈ZC.k⋅360°+460°,k∈Z D.k⋅360°−260°,k∈Z2.(5分)(2022·安徽省高一开学考试)给出下列四个命题:①-75°是第四象限角;②小于90∘的角是锐角;③第二象限角比第一象限角大;④一条弦的长等于半径,这条弦所对的圆心角等于1弧度.其中正确的命题有( )A.1个 B.2个 C.3个 D.4个3.(5分)(2022·山东·高三期中)已知θ为第三象限角,sinθ−cosθ=−15,则cosθ1−2sin2θsinθ+cosθ=( )A.−425 B.−325 C.325 D.4254.(5分)(2022·江西九江·高三阶段练习(理))已知fx=cosπ−xsinπ+xsin2π−x−1,则f2023π6=( )A.3 B.−3 C.33 D.−335.(5分)(2022·全国·高三阶段练习(理))已知sinα−π4⋅cosπ+α=2cos2α,则sin2α的值为( )A.1或45 B.-1或−45C.1或−45 D.-1或456.(5分)(2022·辽宁朝阳·高二阶段练习)函数fx=Asinωx+φ(A>0,ω>0,φ<π2)的部分图象如图所示,将f(x)的图象向右平移π12个单位长度得到函数g(x)的图象,则( )A.gx=2sin2x−π3 B.gx=2cos2xC.gx=2cos2x−π3 D.gx=2sin2x+π47.(5分)(2022·广东广州·高三期中)水车在古代是进行灌溉引水的工具,是人类一项古老的发明,也是人类利用自然和改造自然的象征.如图是一个半径为R的水车,一个水斗从点A1,−3出发,沿圆周按逆时针方向匀速旋转,且旋转一周用时8秒.经过t秒后,水斗旋转到P点,设点P的坐标为x,y,其纵坐标满足y=ft=Rsinωt+φt≥0,ω>0,φ<π2,则ft的表达式为( )A.y=sinπ4t+π3 B.y=sinπ4t−π3C.y=2sinπ4t+π3 D.y=2sinπ4t−π38.(5分)(2022·江苏泰州·高三期中)已知函数f(x)=sin(ωx+φ)(ω>0,φ∈0,π2),直线x=π12和点−π6,0分别是f(x)图象相邻的对称轴和对称中心,则下列说法正确的是( )A.函数fx+π12为奇函数B.函数f(x)的图象关于点−π3,0对称C.函数f(x)在区间−π3,π4上为单调函数D.函数f(x)在区间[0,6π]上有12个零点二.多选题(共4小题,满分20分,每小题5分)9.(5分)(2021·山东·高一阶段练习)下列说法正确的有( )A.经过30分钟,钟表的分针转过−2π弧度B.若sinθ>0,cosθ<0,则θ为第二象限角C.若sinθ+cosθ>1,则θ为第一象限角D.第一象限角都是锐角,钝角都在第二象限10.(5分)(2022·湖南·高三阶段练习)已知α为第一象限角,β为第三象限角,且sinα+π6=1213,cosβ−π6=−45,则sinα+β的值可以为( )A.5665 B.−6365 C.1665 D.−336511.(5分)(2023·山东省高三阶段练习)已知函数f(x)=2sin2x−π4+1,下列选项中正确的是( )A.f(x)的最小值为−2B.f(x)在0,π4上单调递增C.f(x)的图象关于点π8,0中心对称D.f(x)在π4,π2上值域为2+1,312.(5分)(2022·全国·高一)如图,一圆形摩天轮的直径为100米,圆心O到水平地面的距离为60米,最上端的点记为Q,现在摩天轮开始逆时针方向匀速转动,30分钟转一圈,以摩天轮的中心为原点建立平面直角坐标系,则下列说法正确的是( )A.点Q距离水平地面的高度与时间的函数为ℎt=50sinπt15+π3+10B.点Q距离水平地面的高度与时间的函数的对称中心坐标为15k,60k∈ZC.经过10分钟点Q距离地面35米D.摩天轮从开始转动一圈,点Q距离水平地面的高度不超过85米的时间为20分钟三.填空题(共4小题,满分20分,每小题5分)13.(5分)(2022·上海市高一期末)与2023∘终边相同的最小正角是 .14.(5分)(2022·河南·洛阳市高三阶段练习(理))已知sin(π3−a)=13,则cos(5π6−a)= .15.(5分)(2022·全国·高三专题练习)函数fx=sinωx+φ的部分图像如图所示,则fx的最小正周期为 .16.(5分)(2022·上海·高三阶段练习)已知fx=sinxcosx,关于该函数有下面四个说法,①fx的最小正周期为π;②fx在−π4,π4上单调递增③当x∈−π6,π3时,fx的取值范围为−34,34④fx的图象可由gx=12sin2x+π4的图象向右平移π8个单位长度得到其中正确的是 (填写序号).四.解答题(共6小题,满分70分)17.(10分)(2023·全国·高三专题练习)已知角α=﹣920°.(1)把角α写成2kπ+β(0≤β<2π,k∈Z)的形式,并确定角α所在的象限;(2)若角γ与α的终边相同,且γ∈(﹣4π,﹣3π),求角γ.18.(12分)(2022·全国·高三专题练习)如图,以Ox为始边作角α与β(0<β<α<π),它们的终边分别与单位圆相交于点P、Q,已知点P的坐标为−55,255,求3sinα−2cosα2sinα+3cosα的值.19.(12分)(2021·山西·高一阶段练习)已知tanα,tanβ是方程3x2+5x−7=0的两根,求下列各式的值.(1)tanα+β(2)sinα+βcosα−β20.(12分)(2022·广东·高三阶段练习)设函数fx=2cosx2−π3.(1)求fx的最小正周期和单调增区间;(2)当x∈0,2π时,求fx的最大值和最小值.21.(12分)(2022·福建省高三期中)已知函数fx=Asinωx+φA>0,ω>0,φ<π的部分图象如图所示.(1)求fx的解析式及对称中心;(2)先将fx的图象横坐标不变,纵坐标缩短到原来的12倍,得到函数gx图象,再将gx图象右平移π12个单位后得到ℎx的图象,求函数y=ℎx在x∈π12,3π4上的单调减区间.22.(12分)(2022·全国·高一课时练习)筒车是我国古代发明的一种水利工具.如图筒车的半径为4m,轴心O距离水面2m,筒车上均匀分布了12个盛水筒.已知该筒车按逆时针匀速旋转,2分钟转动一圈,且当筒车上的某个盛水筒P从水中浮现时(图中点P0)开始计算时间.(1)将点P距离水面的距离z(单位:m.在水面下时z为负数)表示为时间t(单位:分钟)的函数;(2)已知盛水筒Q与P相邻,Q位于P的逆时针方向一侧.若盛水筒P和Q在水面上方,且距离水面的高度相等,求t的值.
相关资料
更多

