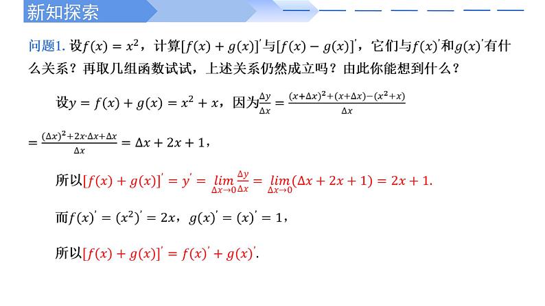
数学选择性必修 第二册5.2 导数的运算多媒体教学ppt课件
展开方法技巧:(1)应用基本初等函数的导数公式和导数运算法则可迅速解决一些简单的求导问题,要理解透彻函数求导法则的结构特点,准确熟记公式,还要注意挖掘知识的内在联系及其规律.(2)在求较复杂函数的导数时应首先利用代数恒等变换对已知函数解析式进行化简或变形,如把乘积的形式展开,公式形式变为和或差的形式,根式化成分数指数幂,然后再求导,使求导计算更加简化.
方法技巧: 利用导数值求解参数问题是高考的热点问题.它比较全面地考查了导数的应用,突出了导数的工具性作用.而熟练地掌握导数的运算法则以及常用函数的求导公式是解决此类问题的关键.
方法技巧: 关于函数的导数的应用及其解决方法1.应用:求在某点处的切线方程,已知切线的方程或斜率求切点,以及涉及切线问题的综合应用.2.方法:先求出函数的导数,若已知切点则求出切线斜率、切线方程;若切点未知,则先设出切点,用切点表示切线斜率,再根据条件求切点坐标.总之,切点在解决此类问题时起着至关重要的作用.
人教A版 (2019)选择性必修 第二册5.2 导数的运算完整版ppt课件: 这是一份人教A版 (2019)选择性必修 第二册<a href="/sx/tb_c4000346_t3/?tag_id=26" target="_blank">5.2 导数的运算完整版ppt课件</a>,共19页。PPT课件主要包含了学习目标,复习回顾,新课导入,新知探究,概念生成,导数的运算法则1,典例分析,导数的运算法则2,导数的运算法则3,导数运算法则汇总等内容,欢迎下载使用。
数学选择性必修 第二册5.2 导数的运算多媒体教学课件ppt: 这是一份数学选择性必修 第二册5.2 导数的运算多媒体教学课件ppt,共18页。PPT课件主要包含了学习目标,复习回顾,新课导入,概念生成,导数的运算法则1,典例分析,导数的运算法则2,导数的运算法则3,导数运算法则汇总,巩固练习等内容,欢迎下载使用。
数学选择性必修 第二册5.2 导数的运算背景图课件ppt: 这是一份数学选择性必修 第二册5.2 导数的运算背景图课件ppt,共25页。

