- 专题14.6 因式分解的应用(压轴题专项讲练)-2022-2023学年八年级数学上册从重点到压轴(人教版) 试卷 1 次下载
- 专题14.7 整式的乘法与因式分解(压轴题综合测试卷)-2022-2023学年八年级数学上册从重点到压轴(人教版) 试卷 0 次下载
- 专题15.2 分式方程(压轴题专项讲练)-2022-2023学年八年级数学上册从重点到压轴(人教版) 试卷 0 次下载
- 专题15.3 分式方程的应用(重点题专项讲练)-2022-2023学年八年级数学上册从重点到压轴(人教版) 试卷 0 次下载
- 专题15.4 分式(压轴题综合测试卷)-2022-2023学年八年级数学上册从重点到压轴(人教版) 试卷 0 次下载
专题15.1 分式的混合运算与化简求值(压轴题专项讲练)-2022-2023学年八年级数学上册从重点到压轴(人教版)
展开专题15.1 分式的混合运算与化简求值
【典例1】阅读下列解题过程:
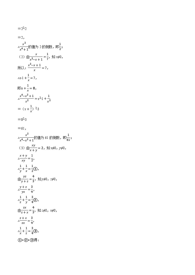
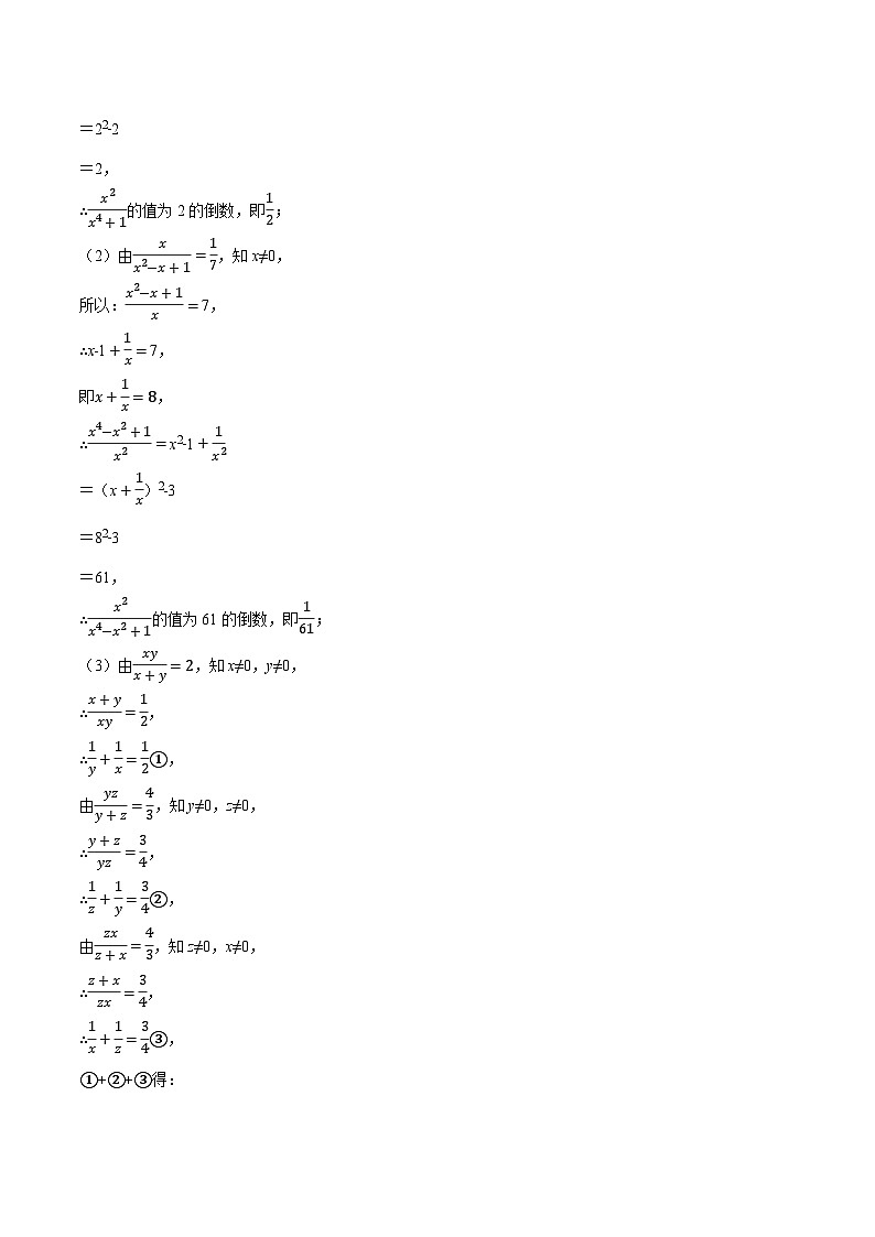
已知,求的值.
解:由,知x≠0,所以,即.
∴
∴的值为7的倒数,即.
以上解法中先将已知等式的两边“取倒数”,然后求出待求式子倒数的值,我们把此题的这种解法叫做“倒数法”,请你利用“倒数法”解决下面问题:
(1)已知,求的值.
(2)已知,求的值.
(3)已知,,,求的值.
【思路点拨】
(1)把已知等式变形求出x的值,再把所求的式子变形后进行计算即可;
(2)把已知等式变形求出x的值,再把所求的式子变形后进行计算即可;
(3)把已知三个等式变形后相加可以求出的值,再把所求的式子变形后进行计算即可.
【解题过程】
解:(1)由,知x≠0,
所以,
即,
∴x2
=(x)2﹣2
=22﹣2
=2,
∴的值为2的倒数,即;
(2)由,知x≠0,
所以:7,
∴x﹣17,
即,
∴x2﹣1
=(x)2﹣3
=82﹣3
=61,
∴的值为61的倒数,即;
(3)由,知x≠0,y≠0,
∴,
∴①,
由,知y≠0,z≠0,
∴,
∴②,
由,知z≠0,x≠0,
∴,
∴③,
①+②+③得:
2(),
∴1,
∴1,
∴的值为1的倒数,即1.
1.(2022•武安市一模)只把分式中的m,n同时扩大为原来的3倍后,分式的值也不会变,则此时a的值可以是下列中的( )
A.2 B.mn C. D.m2
2.(2022•桥西区一模)关于代数式M=(1)下列说法正确的是( )
A.当x=1时,M的值为0 B.当x=﹣1时.M的值为
C.当M=1时,x的值为0 D.当M=﹣1时,x的值为0
3.(2021秋•遵义期末)若a3,则的值是( )
A. B. C. D.
4.(2022•凤阳县一模)已知a,b,c满足a+c=b,且.则下列结论错误的是( )
A.若b>c>0,则a>0 B.若c=1,则a2=2
C.若a2﹣c2=2,则ac=2 D.若bc=1,则a=1
5.(2021秋•九龙坡区校级期末)已知,则的值为 .
6.(2021春•诸暨市校级月考)已知x+2y﹣3z=0,2x+3y+5z=0,则 .
7.(2021春•东坡区月考)已知,其中A、B是常数,则A+B= .
8.(2022春•隆昌市校级月考)已知三个数x,y,z满足,,,则的值为 .
9.(2021秋•虎林市校级期末)已知一列数a1,a2,a3,…,an,其中a1=﹣1,a2,a3,…,an,则a1+a2+a3+…+a2020= .
10.(2021秋•潍坊期中)(1)计算:;
(2)化简:.
11.(2022春•西峡县校级月考)已知实数a满足a2+4a﹣8=0,求的值.
12.(2021•聊城二模)先化简,再求值:1(),其中x是不等式1<3x+7<6的负整数解.
13.(2022•仁寿县模拟)已知:,,.求代数式a+b+c的值.
14.(2021秋•西山区期末)若x,y,z,设M=(x+1)(y+1)(z+1),N=(x﹣1)(y﹣1)(z﹣1).
(1)请你任意给出一组a,b,c的值,计算出M和N的值;
(2)猜想M和N的大小关系,并证明.
15.(2021春•石城县月考)已知a+b+c=0,且,求证:.
16.(2021秋•惠州期末)结合图,观察下列式子:
(x+p)(x+q)=x2+px+qx+pq
=x2+(p+q)x+pq
于是有:x2+(p+q)x+pq=(x+p)(x+q).
(1)填空:因式分解x2+5x+6=(x+ )(x+ );
(2)化简:;
(3)化简:.
17.(2021秋•仓山区校级期末)阅读理解
材料:为了研究分式与分母x的变化关系,小明制作了表格,并得到如下数据:
x | … | ﹣4 | ﹣3 | ﹣2 | ﹣1 | 0 | 1 | 2 | 3 | 4 | … |
| … | ﹣0.25 | ﹣0. | ﹣0.5 | ﹣1 | 无意义 | 1 | 0.5 | 0. | 0.25 | … |
从表格数据观察,当x>0时,随着x的增大,的值随之减小,并无限接近0;当x<0时,随着x的增大,的值也随之减小.
材料2:对于一个分子、分母都是多项式的分式,当分母的次数高于分子的次数时,我们把这个分式叫做真分式.当分母的次数不低于分子的次数时,我们把这个分式叫做假分式.有时候,需要把一个假分式化成整式和真分式的代数和,像这种恒等变形,称为将分式化为部分分式.如:.
根据上述材料完成下列问题:
(1)当x>0时,随着x的增大,1的值 (增大或减小);
当x<0时,随着x的增大,的值 (增大或减小);
(2)当x>1时,随着x的增大,的值无限接近一个数,请求出这个数;
(3)当0≤x≤2时,求代数式值的范围.
18.(2021秋•莆田期末)阅读下面材料,并解答相应的问题
欧拉分式
欧拉是18世纪瑞士著名的数学家、物理学家、天文学家.以欧拉命名的常数、公式、定理随处可见.在分式中,就有这样一个欧拉分式:
.
(1)请你对欧拉分式中,当n=2时的情况进行证明;
(2)请你利用欧拉分式解决下列问题:
①计算:;
②求的值.
19.(2021秋•通州区期末)定义:若分式M与分式N的差等于它们的积,即M﹣N=MN,则称分式N是分式M的“关联分式”.如与,因为,,所以是的“关联分式”.
(1)已知分式,则 的“关联分式”(填“是”或“不是”);
(2)小明在求分式的“关联分式”时,用了以下方法:
设的“关联分式”为N,则N,
∴,
∴N.
请你仿照小明的方法求分式的“关联分式”.
(3)①观察(1)(2)的结果,寻找规律,直接写出分式的“关联分式”: ;
②用发现的规律解决问题:
若是的“关联分式”,求实数m,n的值.
20.(2021秋•海淀区期末)在分式中,若M,N为整式,分母M的次数为a,分子N的次数为b(当N为常数时,b=0),则称分式为(a﹣b)次分式.例如,为三次分式.
(1)请写出一个只含有字母x的二次分式 ;
(2)已知A,B(其中m,n为常数).
①若m=0,n=﹣5,则A•B,A+B,A﹣B,A2中,化简后是二次分式的为 ;
②若A与B的和化简后是一次分式,且分母的次数为1,求2m+n的值.

