还剩16页未读,
继续阅读
专题4第一单元醇和酚同步练习
展开
这是一份专题4第一单元醇和酚同步练习,共19页。
专题4第一单元醇和酚同步练习
2022——2023学年高中化学苏教版(2019)选择性必修3
学校:___________姓名:___________班级:___________考号:___________
一、单选题
1.乙醇分子中的各种化学健如图所示,关于乙醇在各种反应中断裂键的说法不正确的是
A.和金属钠反应时键①断裂
B.与卤化氢反应时断裂②键
C.在铜催化共热下与O2反应时断裂①和②键
D.在空气中完全燃烧时断裂①②③④⑤键
2.下列反应能说明苯酚分子中由于羟基影响苯环使苯酚分子中苯环比苯活泼的是
A.苯酚与钠反应 B.苯酚与溴水反应
C.苯酚与NaOH反应 D.苯酚与氢气加成
3.下列关于醇类物质的物理性质的说法,不正确的是
A.乙醇是常用的有机溶剂,可用于萃取碘水中的碘
B.沸点:乙二醇>乙醇>丙烷
C.交警对驾驶员进行呼气酒精检测,利用了酒精易挥发的性质
D.甲醇、乙醇、丙醇均可与水以任意比例混溶,这是因为这些醇与水形成了氢键
4.已知酸性强弱顺序为,下列化学方程式书写正确的是
A.
B.
C.
D.
5.苯酚是常见的基础化工原料,苯酚选择性氧化制备对苯醌()是一个有重要工业应用价值的反应,对苯醌是合成有高附加值的化工产品对苯二酚()的中间体。苯酚在含硒催化剂(Secat。)作用下,被氧化成对苯醌的机理如下:
下列说法错误的是
A.苯酚中受苯环影响变活泼,可与溶液反应
B.此转化过程中所有有机物均可和溴水发生加成反应
C.可以用溶液检验苯酚是否被完全氧化
D.D与对苯二酚()互为同分异构体
6.苯中可能混有少量的苯酚,下列实验能证明苯中是否混有少量苯酚的是
①取样品,加入少量高锰酸钾酸性溶液,振荡,看酸性高锰酸钾溶液是否褪色,褪色则有苯酚,不褪色则无苯酚
②取样品,加入氢氧化钠溶液,振荡,观察样品是否分层
③取样品,加入过量的浓溴水,观察是否产生白色沉淀,若产生白色沉淀则有苯酚,没有白色沉淀则无苯酚
④取样品,滴加少量的FeCl3溶液,观察溶液是否显紫色,若显紫色则有苯酚,若不显紫色则无苯酚
A.仅③④ B.仅①③④ C.仅①④ D.全部
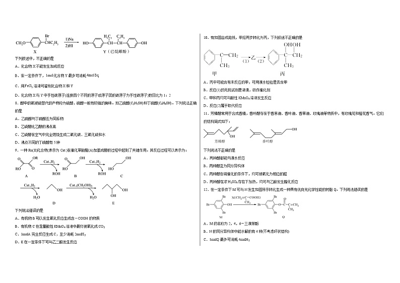
7.已烷雌酚的一种合成路线如下:
下列叙述中,不正确的是
A.化合物X不能发生加成反应
B.在一定条件下,化合物Y最多可消耗
C.用溶液可鉴别化合物X和Y
D.化合物X与Y中手性碳原子(连接四个不同的原子或原子团的碳原子为手性碳原子)数目比为1:2
8.醇中的氧被硫替代的产物称为硫醇,硫醇一般有较强的臭味。如乙硫醇(C2H5SH)和丁硫醇(C4H9SH)。下列说法正确的是
A.乙硫醇与丁硫醇互为同系物
B.乙硫醇比乙醇的沸点高
C.乙硫醇在空气中完全燃烧生成二氧化碳、三氧化硫和水
D.沸点不同的丁硫醇有5种
9.一种Ru(II)化合物(表示为Cat.)在催化草酸酯(A)加氢成醇的过程中起到了关键作用。其反应过程可以表示为:
下列说法错误的是
A.有机物B可以发生氧化反应生成含-COOH的物质
B.有机物C在足量酸性KMnO4溶液中最终被氧化成CO2
C.1molA完全反应生成C,至少消耗2molH2
D.E在一定条件下可与乙二酸发生反应
10.有如图合成路线,甲经两步转化为丙,下列叙述不正确的是
A.丙中可能含有未反应的甲,可用溴水检验是否含甲
B.反应(1)的无机试剂是液溴,铁作催化剂
C.甲和丙均可与酸性KMnO4溶液发生反应
D.反应(2)属于取代反应
11.芳樟醇常用于合成香精,香叶醇存在于香茅油、香叶油、香草油、玫瑰油等物质中,有玫瑰花和橙花香气。它们的结构简式如下:
下列说法不正确的是
A.两种醇都能与溴水反应
B.两种醇互为同分异构体
C.两种醇在铜催化的条件下,均可被氧化为相应的醛
D.两种醇在浓H2SO4存在下加热,均可与乙酸发生酯化反应
12.在一定条件下M可与N发生如图所示转化生成一种具有优良光化学性能的树脂Q。下列说法错误的是
A.M的名称为2,4,6-三溴苯酚
B.N的同分异构体中能水解的有4种(不考虑环状结构)
C.1molQ最多可消耗4molH2
D.Q中所有碳原子可能在同一平面
二、多选题
13.在工业上双酚A被用来合成聚碳酸酯()和环氧树脂等材料。双酚A的结构简式为:
下列关于双酚A的说法中,正确的是
A.该化合物属于芳香烃
B.该化合物遇溶液显紫色
C.双酚A不能使溴水褪色,但能使酸性溶液褪色
D.1双酚A与足量溴水反应,最多消耗
14.下列关于苯酚的说法中,不正确的是
A.纯净的苯酚是粉红色晶体
B.有特殊气味
C.易溶于乙醇、乙醚等有机溶剂
D.苯酚对皮肤有腐蚀性,若沾到皮肤上,可用浓溶液洗涤
15.CMU是一种荧光指示剂,可通过下列反应制备:
下列说法正确的是
A.1mol最多可与3mol反应
B.1mol间苯二酚最多可与3mol反应
C.可用溶液鉴别间苯二酚和
D.间苯二酚与苯酚互为同系物
三、实验题
16.溴乙烷是一种重要的有机合成原料,为无色液体,难溶于水,沸点,熔点,密度。某实验小组用下图所示装置制取溴苯和溴乙烷。
主要实验步骤如下:
①检查装置的气密性后,向装置A中加入一定量的苯和液溴。
②向B处锥形瓶中加入乙醇和浓的混合液至浸没导管口。
③将A装置中的纯铁丝小心向下插入混合液中。
④点燃B装置中的酒精灯,用小火缓缓对锥形瓶加热10min。回答下列问题:
(1)仪器a的名称_______。装置A中生成的有机产物结构简式为_______。
(2)已知B装置中主要反应的反应类型为取代反应,其化学方程式为_______。浓硫酸的作用是_______。
(3)C装置中U形管浸在冰水中的目的是_______。
(4)步骤④中不能用大火加热,理由是_______。
17.醇与氢卤酸反应是制备卤代烃的重要方法。已知:溴乙烷及1-溴丁烷均难溶于水且二者在氢氧化钠作用下会发生水解反应。实验室制备溴乙烷和1-溴丁烷的反应如下:
NaBr+H2SO4=HBr+NaHSO4 ①
R-OH+HBr→R-Br+H2O ②
可能存在的副反应有:醇在浓硫酸的存在下脱水生成烯烃或醚,Br-被浓硫酸氧化为Br2等。有关数据如表
乙醇
溴乙烷
正丁醇
1溴丁烷
密度/(g·cm-3)
0.789 3
1.460 4
0.809 8
1.275 8
沸点/℃
78.5
38.4
117.2
101.6
请回答下列问题:
(1)醇的水溶性_______(填“大于”“等于”或“小于”)相应的溴代烃。
(2)将1-溴丁烷粗产品置于分液漏斗中加水,振荡后静置,水在_______(填“上层”或“下层”)。
(3)制备操作中,加入的浓硫酸必须进行稀释,其目的是_______(填字母)。A.水是反应的催化剂 B.减少Br2的生成
C.减少HBr的挥发 D.减少副产物烯烃和醚的生成
(4)欲除去溴乙烷中的少量杂质Br2,下列物质中最适合的是_______(填字母)。
A.NaI溶液 B.KCl溶液 C.NaOH溶液 D.NaHSO3溶液
(5)在制备溴乙烷时,可采用边反应边蒸出产物的方法,但在制备1-溴丁烷时却不能边反应边蒸出产物,其原因是_______。
18.某实验小组用下列装置进行乙醇催化氧化的实验。
(1)实验过程中铜网出现红色和黑色交替的现象,请写出实验过程中发生反应的总化学方程式:___________;在不断鼓入空气的情况下,熄灭酒精灯,反应仍能继续进行,说明该反应是___________(填“吸热”或“放热”)反应。
(2)甲是热水浴,乙是冷水浴,两个水浴作用不相同,甲的作用是___________;乙的作用是___________。
(3)反应进行一段时间后,试管a中能收集到的有机物主要有___________、___________。
(4)若试管a中收集到的液体用蓝色石蕊试纸检验,试纸显红色,说明液体中还有___________。要除去该物质,可先在混合液中加入___________(填写字母),然后再通过蒸馏即可。
A.氯化钠溶液 B.苯 C.碳酸氢钠溶液 D.四氯化碳
四、有机推断题
19.松油醇是一种调香香精,它是α、β、γ三种同分异构体组成的混合物,可由有机物A经下列反应制得:
(1)α-松油醇完全燃烧时,消耗α-松油醇与氧气的物质的量之比为___________。
(2)A物质不能发生的反应或不具有的性质是___________(填序号)。
a.使酸性溶液褪色 b.能转化为卤代烃
c.能发生加成反应 d.能发生取代反应
(3)松油醇与羧酸反应转化为酯的反应条件是___________。
(4)写出生成松油醇的反应方程式:___________,该反应的反应类型是___________。
20.近年来,以大豆素(化合物C)为主要成分的大豆异黄酮及其衍生物,因其具有优良的生理活性而备受关注。大豆素的合成及其衍生化的一种工艺路线如下:
回答下列问题:
(1)A的化学名称为_______。
(2)反应生成E至少需要_______氢气。
(3)写出E中任意两种含氧官能团的名称_______。
(4)由E生成F的化学方程式为_______。
(5)由G生成H分两步进行:反应1)是在酸催化下水与环氧化合物的加成反应,则反应2)的反应类型为_______。
(6)化合物B的同分异构体中能同时满足下列条件的有_______(填标号)。
a.含苯环的醛、酮
b.不含过氧键()
c.核磁共振氢谱显示四组峰,且峰面积比为3∶2∶2∶1
A.2个 B.3个 C.4个 D.5个
(7)根据上述路线中的相关知识,以丙烯为主要原料用不超过三步的反应设计合成下图有机物,写出合成路线_______。
参考答案:
1.C
【详解】A.乙醇与钠反应生成乙醇钠,是羟基中的O—H键断裂,A项正确;
B.乙醇与卤化氢反应时生成卤代烃,断裂②化学键,B项正确,
C.乙醇催化氧化成乙醛时,断裂①和③化学键,C项错误;
D.乙醇完全燃烧时生成二氧化碳和水,化学键①②③④⑤全部断裂,D项正确;
故选C。
2.B
【详解】A.苯酚与钠发生置换反应,是由于苯环对羟基的影响,使羟基更活泼,A错误;
B.苯酚与溴水发生苯环上的取代反应,是由于羟基对苯环的影响,使苯环比苯更活泼,B正确;
C.苯酚与发生中和反应,是由于苯环对羟基的影响,使羟基更容易电离出氢离子,C错误;
D.苯酚与氢气加成,是苯环上的加成,不受羟基的影响,D错误;
故选B。
3.A
【详解】A.乙醇是常用的有机溶剂,但与水互溶,不可用于萃取碘水中的碘,A项错误;
B.相对分子量相近的醇和烷烃相比,由于醇分子间存在氢键,烷烃分子间是范德华力,所以醇的沸点高于烷烃,故沸点大小:乙醇>丙烷,乙二醇由两个羟基,更易形成氢键,故沸点:乙二醇>乙醇>丙烷,B项正确;
C.交警对驾驶员进行呼气酒精检测,利用了酒精易挥发,挥发后与强氧化剂反应,C项正确;
D.甲醇、乙醇、丙醇均可与水以任意比例混溶,这是因为这些醇分子与水分子形成了氢键,D项正确;
故答案选A。
4.D
【详解】根据“强酸制弱酸”的反应规律及、、的酸性强弱顺序知可发生反应:、,D项正确。
答案选D。
5.B
【详解】A.苯酚具有一定的酸性,可以和溶液反应生成苯酚钠和碳酸氢钠,A正确;
B.苯酚不能与溴水发生加成反应,B错误;
C.除苯酚外,反应过程中其他有机物均不含有酚羟基,不能和发生显色反应,因此可以用溶液检验苯酚是否被完全氧化,C正确;
D.有机物D的分子式为和对苯二酚互为同分异构体,D正确;
答案选B。
6.C
【详解】①苯酚能使酸性高锰酸钾溶液褪色,但是苯不能,所以取样品,加入少量高锰酸钾酸性溶液,振荡,看酸性高锰酸钾溶液是否褪色,褪色则有苯酚,不褪色则无苯酚,①正确;
②不管苯中是否有苯酚,加入NaOH溶液都会产生分层,因此无法鉴别,②错误;
③苯酚与溴水反应产生的三溴苯酚能溶于苯,因此不能鉴别,③错误;
④苯酚遇到氯化铁溶液显示紫色,但是苯不能,取样品,滴加少量的FeCl3溶液,观察溶液是否显紫色,若显紫色则有苯酚,若不显紫色则无苯酚,④正确;
综上分析,①④正确,答案选C。
7.A
【详解】A.X中含有苯环,所以能与发生加成反应,A项错误;
B.Y中含有酚羟基,酚羟基邻位氢原子可被取代,结合其结构简式可知,化合物Y最多可消耗,B项正确;
C.酚类与氯化铁溶液反应呈紫色,X中不含酚羟基,Y中含有酚羟基,所以可以用溶液鉴别X和Y,C项正确;
D.碳原子周围连有4个不同的原子或原子团,该碳为手性碳,X中手性碳原子数为1,Y中 手性碳原子数为2,D项正确;
故选A。
8.A
【详解】A.乙硫醇与丁硫醇结构相似,在分子组成上相差两个原子团,二者互为同系物,故A正确;
B.乙醇分子间可形成氢键,而乙硫醇不能,乙硫醇的沸点比乙醇的沸点低,故B错误;
C.丁硫醇含有碳、硫、氢元素,丁硫醇在空气中完全燃烧生成二氧化碳、二氧化硫和水,故C错误;
D.丁基有四种,沸点不同的丁硫醇有四种:、、、,故D错误。
故选A。
9.C
【详解】A.有机物B中含有结构,可以发生氧化反应生成含的物质,A正确;
B.有机物C是乙二醇,可以在酸性溶液中先被氧化成乙二酸,在足量溶液中,乙二酸继续被氧化生成,B正确;
C.根据图示中有机物A转化为有机物C的过程,可知1molA完全反应生成C,至少消耗4mol,C错误;
D.E中含有羟基,可与乙二酸发生酯化反应,D正确。
故选C。
10.B
【分析】甲与溴水发生加成反应,两个不饱和的碳原子上均增加一个溴原子,形成乙,乙发生水解反应,两个Br原子被—OH取代形成丙;
【详解】A.丙中可能含有未反应的甲,由于甲中含有碳碳双键,可以与溴发生加成反应使溴水褪色,因此可用溴水检验是否含甲,A正确;
B.反应(1)的无机试剂是溴水,若是液溴,铁作催化剂,则发生的是苯环上的取代反应,B错误;
C.甲含有碳碳双键,丙含有醇羟基,二者均可与酸性KMnO4溶液发生反应,C正确;
D.反应(2)是卤代烃的水解反应,水解反应属于取代反应,D正确;
综上,本题选B。
11.C
【详解】A.两种醇都含有碳碳双键,均能与溴水发生加成反应,故A正确;
B.两种物质的分子式相同,都为C10H18O,但结构式不同,互为同分异构体,故B正确;
C.芳樟醇中与羟基直接连接的碳上没有氢,不能发生催化氧化;香叶醇中与羟基直接连接的碳上有2个氢,能被催化氧化为醛,故C错误;
D.两种醇都含﹣OH,能与乙酸在浓硫酸、加热的条件下发生酯化反应,故D正确;
故选C。
12.B
【详解】A.按照命名原则,苯酚为母体,取代基为溴原子,该有机物为2,4,6-三溴苯酚,故A说法正确;
B.N的同分异构体能水解,说明含有酯基,同分异构体中应含有碳碳双键和酯基,符合结构简式为HCOOCH2CH=CH2、HCOOCH=CHCH3、HCOOC(CH3)=CH2、CH3COOCH=CH2、CH2=CHCOOCH3,有5种结构,故B说法错误;
C.Q中能与氢气发生加成反应的是苯环和碳碳双键,1molQ中含有1mol苯环和1mol碳碳双键,因此1molQ最多与4mol氢气发生加成反应,故C说法正确;
D.根据乙烯的空间结构为平面形,以及不共线三点确定一个平面,羰基上C原子杂化类型为sp2,因此Q中所有碳原子可能共面,故D说法正确;
答案为B。
13.BD
【详解】A.双酚A含有C、H、O三种元素,属于烃的衍生物,A错误;
B.双酚A含有酚羟基,遇到FeCl3溶液显紫色,B正确;
C.双酚A含有酚羟基,能与溴水发生取代反应,能使溴水褪色,C错误;
D.双酚A中酚羟基的邻位与溴水发生取代反应生成,1mol双酚A与足量的溴水反应,最多消耗4molBr2,D正确;
故答案为:BD。
14.AD
【详解】A.纯净的苯酚是无色晶体,易被空气中的氧气氧化为粉红色晶体,故A错误;
B.苯酚是无色晶体,具有特殊气味,故B正确;
C.苯酚难溶于冷水,温度较高时也可与水互溶,易溶于有机溶剂,故C正确;
D.由于氢氧化钠具有很强的腐蚀性,苯酚沾在手上不能使用NaOH溶液洗涤,应该使用酒精,故D错误;
故选AD。
15.AB
【详解】A.CMU分子中酚羟基的两个邻位氢原子可被溴原子取代,另外碳碳双键也可以与发生加成反应,故1molCMU最多可与3mol反应,A正确;
B.间苯二酚分子中两个酚羟基共有3个邻、对位氢原子可被溴原子取代,故1mol间苯二酚最多可与3mol反应,B正确;
C.间苯二酚和CMU均含有酚羟基,故不能用溶液鉴别,C错误;
D.间苯二酚分子中有两个酚羟基,与苯酚不互为同系物,D错误;
答案选AB。
16.(1) 圆底烧瓶
(2) 催化剂
(3)收集溴乙烷
(4)易发生副反应生成乙醚、乙烯等
【分析】A装置中铁与溴发生反应生成溴化铁,溴化铁作为催化剂催化溴与苯的反应,其中生成的溴化氢和挥发的溴单质通过导管a进入到装置B中与乙醇发生取代反应,由溴乙烷数据可知,在冰水浴中溴乙烷液化,故装置C为溴乙烷的收集装置,装置C底部用蒸馏水液封,作用是吸收生成的溴化氢;
【详解】(1)仪器a的名称是圆底烧瓶;装置A中铁与溴发生反应生成溴化铁,溴化铁作为催化剂催化溴与苯反应生成溴苯,生成的有机产物结构简式为;
(2)生成的溴化氢和挥发的溴单质通过导管a进入到装置B中与乙醇发生取代反应,反应方程式为;浓硫酸的作用是催化剂;
(3)C装置中U形管浸在冰水中的目的是收集溴乙烷;
(4)在温度较高的情况下浓H2SO4存在条件下发生副反应生成乙醚、乙烯等,故答案为:易发生副反应生成乙醚、乙烯等。
17.(1)大于
(2)上层
(3)BCD
(4)D
(5)1-溴丁烷与正丁醇的沸点相差较小,若边反应边蒸馏,会有较多的正丁醇被蒸出
【详解】(1)(1)醇羟基属于亲水基,能与水分子间形成氢键,因此醇的水溶性大于相应的溴代烃,故填大于;
(2)(2)1溴丁烷的密度大于水的密度,因此将1溴丁烷粗产品置于分液漏斗中加水,振荡后静置,水在上层,故填上层
(3)(3)A.水是产物,不是催化剂,故A错误;B.浓硫酸具有强氧化性,能将Br-氧化为Br2,稀释后能降低硫酸的氧化性,减少Br2的生成,故B正确;C.浓硫酸稀释时放热,温度升高,促使HBr挥发,因此浓硫酸稀释后能减少HBr的挥发,故C正确;D.醇在浓硫酸存在下脱水生成烯烃或醚,浓硫酸稀释后,可减少烯烃和醚的生成,故D正确,故填BCD;
(4)(4)A.I-可以被Br2氧化,生成的I2溶于溴乙烷中引入新杂质,故A错误;B.KCl不能除去Br2,故B错误;C.Br2能和NaOH反应,而溴乙烷在NaOH溶液中易水解,使溴乙烷的量减少,故C错误;D.Br2和NaHSO3溶液发生氧化还原反应,可以除去Br2,故D正确,故填D;
(5)(5)根据题干可知,乙醇和溴乙烷的沸点相差较大,可采用边反应边蒸出的方法,而1溴丁烷与正丁醇的沸点相差较小,若边反应边蒸馏,会有较多的正丁醇被蒸出,所以不能边反应边蒸出,故填1-溴丁烷与正丁醇的沸点相差较小,若边反应边蒸馏,会有较多的正丁醇被蒸出。
18. 放热 使乙醇汽化成乙醇蒸气 冷却产生的乙醛等气体 乙醛 乙醇 乙酸 C
【分析】实验室探究乙醇的催化氧化反应,可将甲进行水浴加热,能使甲中乙醇平稳气化形成乙醇蒸气,则进入铜网的气体为空气和乙醇的混合气体,在加热条件下,分别发生2Cu+O22CuO、CH3CH2CH2OH+CuOCH3CH2CHO+H2O,总反应为 2CH3CH2CH2OH+O22CH3CH2CHO+2H2O,可观察到铜网出现红色和黑色交替的现象,进入乙中的气体经冷却后,可在试管中得到乙醛、乙醇和水,而集气瓶中收集的气体主要为氮气,据此分析解题。
【详解】(1)铜与氧气反应生成黑色的氧化铜,氧化铜与乙醇发生反应生成铜、乙醛和水,该过程的总化学方程式为2CH3CH2CH2OH+O22CH3CH2CHO+2H2O;熄灭酒精灯,反应仍能继续进行,说明该反应是放热反应,放出的热量足以维持反应进行,故答案为:2CH3CH2CH2OH+O22CH3CH2CHO+2H2O;放热;
(2)甲和乙两个水浴作用不同,甲是热水浴,作用是使乙醇平稳汽化成乙醇蒸气,乙是冷水浴,作用是将乙醛冷却下来,故答案为:使乙醇汽化成乙醇蒸气;冷却产生的乙醛等气体;
(3)乙醇被氧化为乙醛,同时生成水,乙醇不能完全反应,所以a中冷却收集的有机物有:乙醛、乙醇,故答案为:乙醛;乙醇;
(4)若试管a中收集到的液体用蓝色石蕊试纸检验,试纸显红色,说明溶液呈酸性,则溶液中含有乙酸;乙酸具有酸的通性,4个选项中,只有碳酸氢钠可以和乙酸反应,生成乙酸钠、水和二氧化碳,然后再通过蒸馏即可,故答案为:乙酸;C。
19. 1∶14 a、c 浓硫酸、加热 +H218O 消去反应
【分析】A在浓硫酸存在并加热的条件下发生消去反应,因A分子中有两个羟基,而与羟基相连碳原子的邻位碳原子上均有氢原子,故有多种消去方式。则β-松油醇的结构简式为,γ-松油醇的结构简式为。
【详解】(1)松油醇有10个碳原子,不饱和度为2,可确定其分子式为,1mol完全燃烧时消耗O2的物质的量为:(10+-)mol=14mol。答案为:1∶14;
(2) a.A分子中羟基所连碳原子上没有氢原子,不能被酸性溶液氧化,不能使酸性溶液褪色,a符合题意;
b.A分子中含有羟基,能与HX发生取代反应,能转化为卤代烃,b不符合题意;
c.A分子中不含不饱和键,不能发生加成反应,C符合题意;
d.A分子内的羟基氢原子比较活泼,能发生取代反应,d不符合题意;
故选a、c。答案为:a、c;
(3)松油醇的结构简式为,与羧酸发生酯化反应时,需提供条件为浓硫酸、加热。答案为:浓硫酸、加热;
(4)A通过消去反应生成松油醇,发生反应的化学方程式为 +H218O。答案为: +H218O;消去反应。
【点睛】醇发生消去反应的条件是浓硫酸、加热,卤代烃发生消去反应的条件是NaOH醇溶液、加热,二个反应的条件易发生混淆。
20. 间苯二酚(或1,3-苯二酚) 2 酯基,醚键,羟基(任写两种) +H2O 取代反应 C
【分析】由合成路线图,可知,A(间苯二酚)和B()反应生成C(),与乙酸酐发生酯化反应,生成,与氢气发生加成反应生成,发生消去反应,生成F,F先氧化成环氧化合物G,G在酸催化下水与环氧化合物的加成反应,然后发生酯的水解生成H,据此分析解答。
【详解】(1)A为,化学名称为间苯二酚(或1,3-苯二酚),故答案为:间苯二酚(或1,3-苯二酚);
(2)D为 ,与氢气发生加成反应生成,碳碳双键及酮基都发生了加成反应,所以反应生成E至少需要2氢气,故答案为:2;
(3)E为,含有的含氧官能团的名称为酯基,醚键,羟基(任写两种),故答案为:酯基,醚键,羟基(任写两种);
(4)E为,发生消去反应,生成,化学方程式为 +H2O,故答案为: +H2O;
(5)由G生成H分两步进行:反应1)是在酸催化下水与环氧化合物的加成反应,则反应2)是将酯基水解生成羟基,反应类型为取代反应,故答案为:取代反应;
(6)化合物B为,同分异构体中能同时满足下列条件:.含苯环的醛、酮;b.不含过氧键();c.核磁共振氢谱显示四组峰,且峰面积比为3∶2∶2∶1,说明为醛或酮,而且含有甲基,根据要求可以写出:,,,,故有4种,答案为:C;
(7)以丙烯为主要原料用不超过三步的反应设计合成下图有机物,可以将丙烯在m-CPBA的作用下生成环氧化合物,环氧化合物在酸催化下水发生加成反应,然后再与乙酸酐发生酯化反应即可,故合成路线为: 。
专题4第一单元醇和酚同步练习
2022——2023学年高中化学苏教版(2019)选择性必修3
学校:___________姓名:___________班级:___________考号:___________
一、单选题
1.乙醇分子中的各种化学健如图所示,关于乙醇在各种反应中断裂键的说法不正确的是
A.和金属钠反应时键①断裂
B.与卤化氢反应时断裂②键
C.在铜催化共热下与O2反应时断裂①和②键
D.在空气中完全燃烧时断裂①②③④⑤键
2.下列反应能说明苯酚分子中由于羟基影响苯环使苯酚分子中苯环比苯活泼的是
A.苯酚与钠反应 B.苯酚与溴水反应
C.苯酚与NaOH反应 D.苯酚与氢气加成
3.下列关于醇类物质的物理性质的说法,不正确的是
A.乙醇是常用的有机溶剂,可用于萃取碘水中的碘
B.沸点:乙二醇>乙醇>丙烷
C.交警对驾驶员进行呼气酒精检测,利用了酒精易挥发的性质
D.甲醇、乙醇、丙醇均可与水以任意比例混溶,这是因为这些醇与水形成了氢键
4.已知酸性强弱顺序为,下列化学方程式书写正确的是
A.
B.
C.
D.
5.苯酚是常见的基础化工原料,苯酚选择性氧化制备对苯醌()是一个有重要工业应用价值的反应,对苯醌是合成有高附加值的化工产品对苯二酚()的中间体。苯酚在含硒催化剂(Secat。)作用下,被氧化成对苯醌的机理如下:
下列说法错误的是
A.苯酚中受苯环影响变活泼,可与溶液反应
B.此转化过程中所有有机物均可和溴水发生加成反应
C.可以用溶液检验苯酚是否被完全氧化
D.D与对苯二酚()互为同分异构体
6.苯中可能混有少量的苯酚,下列实验能证明苯中是否混有少量苯酚的是
①取样品,加入少量高锰酸钾酸性溶液,振荡,看酸性高锰酸钾溶液是否褪色,褪色则有苯酚,不褪色则无苯酚
②取样品,加入氢氧化钠溶液,振荡,观察样品是否分层
③取样品,加入过量的浓溴水,观察是否产生白色沉淀,若产生白色沉淀则有苯酚,没有白色沉淀则无苯酚
④取样品,滴加少量的FeCl3溶液,观察溶液是否显紫色,若显紫色则有苯酚,若不显紫色则无苯酚
A.仅③④ B.仅①③④ C.仅①④ D.全部
7.已烷雌酚的一种合成路线如下:
下列叙述中,不正确的是
A.化合物X不能发生加成反应
B.在一定条件下,化合物Y最多可消耗
C.用溶液可鉴别化合物X和Y
D.化合物X与Y中手性碳原子(连接四个不同的原子或原子团的碳原子为手性碳原子)数目比为1:2
8.醇中的氧被硫替代的产物称为硫醇,硫醇一般有较强的臭味。如乙硫醇(C2H5SH)和丁硫醇(C4H9SH)。下列说法正确的是
A.乙硫醇与丁硫醇互为同系物
B.乙硫醇比乙醇的沸点高
C.乙硫醇在空气中完全燃烧生成二氧化碳、三氧化硫和水
D.沸点不同的丁硫醇有5种
9.一种Ru(II)化合物(表示为Cat.)在催化草酸酯(A)加氢成醇的过程中起到了关键作用。其反应过程可以表示为:
下列说法错误的是
A.有机物B可以发生氧化反应生成含-COOH的物质
B.有机物C在足量酸性KMnO4溶液中最终被氧化成CO2
C.1molA完全反应生成C,至少消耗2molH2
D.E在一定条件下可与乙二酸发生反应
10.有如图合成路线,甲经两步转化为丙,下列叙述不正确的是
A.丙中可能含有未反应的甲,可用溴水检验是否含甲
B.反应(1)的无机试剂是液溴,铁作催化剂
C.甲和丙均可与酸性KMnO4溶液发生反应
D.反应(2)属于取代反应
11.芳樟醇常用于合成香精,香叶醇存在于香茅油、香叶油、香草油、玫瑰油等物质中,有玫瑰花和橙花香气。它们的结构简式如下:
下列说法不正确的是
A.两种醇都能与溴水反应
B.两种醇互为同分异构体
C.两种醇在铜催化的条件下,均可被氧化为相应的醛
D.两种醇在浓H2SO4存在下加热,均可与乙酸发生酯化反应
12.在一定条件下M可与N发生如图所示转化生成一种具有优良光化学性能的树脂Q。下列说法错误的是
A.M的名称为2,4,6-三溴苯酚
B.N的同分异构体中能水解的有4种(不考虑环状结构)
C.1molQ最多可消耗4molH2
D.Q中所有碳原子可能在同一平面
二、多选题
13.在工业上双酚A被用来合成聚碳酸酯()和环氧树脂等材料。双酚A的结构简式为:
下列关于双酚A的说法中,正确的是
A.该化合物属于芳香烃
B.该化合物遇溶液显紫色
C.双酚A不能使溴水褪色,但能使酸性溶液褪色
D.1双酚A与足量溴水反应,最多消耗
14.下列关于苯酚的说法中,不正确的是
A.纯净的苯酚是粉红色晶体
B.有特殊气味
C.易溶于乙醇、乙醚等有机溶剂
D.苯酚对皮肤有腐蚀性,若沾到皮肤上,可用浓溶液洗涤
15.CMU是一种荧光指示剂,可通过下列反应制备:
下列说法正确的是
A.1mol最多可与3mol反应
B.1mol间苯二酚最多可与3mol反应
C.可用溶液鉴别间苯二酚和
D.间苯二酚与苯酚互为同系物
三、实验题
16.溴乙烷是一种重要的有机合成原料,为无色液体,难溶于水,沸点,熔点,密度。某实验小组用下图所示装置制取溴苯和溴乙烷。
主要实验步骤如下:
①检查装置的气密性后,向装置A中加入一定量的苯和液溴。
②向B处锥形瓶中加入乙醇和浓的混合液至浸没导管口。
③将A装置中的纯铁丝小心向下插入混合液中。
④点燃B装置中的酒精灯,用小火缓缓对锥形瓶加热10min。回答下列问题:
(1)仪器a的名称_______。装置A中生成的有机产物结构简式为_______。
(2)已知B装置中主要反应的反应类型为取代反应,其化学方程式为_______。浓硫酸的作用是_______。
(3)C装置中U形管浸在冰水中的目的是_______。
(4)步骤④中不能用大火加热,理由是_______。
17.醇与氢卤酸反应是制备卤代烃的重要方法。已知:溴乙烷及1-溴丁烷均难溶于水且二者在氢氧化钠作用下会发生水解反应。实验室制备溴乙烷和1-溴丁烷的反应如下:
NaBr+H2SO4=HBr+NaHSO4 ①
R-OH+HBr→R-Br+H2O ②
可能存在的副反应有:醇在浓硫酸的存在下脱水生成烯烃或醚,Br-被浓硫酸氧化为Br2等。有关数据如表
乙醇
溴乙烷
正丁醇
1溴丁烷
密度/(g·cm-3)
0.789 3
1.460 4
0.809 8
1.275 8
沸点/℃
78.5
38.4
117.2
101.6
请回答下列问题:
(1)醇的水溶性_______(填“大于”“等于”或“小于”)相应的溴代烃。
(2)将1-溴丁烷粗产品置于分液漏斗中加水,振荡后静置,水在_______(填“上层”或“下层”)。
(3)制备操作中,加入的浓硫酸必须进行稀释,其目的是_______(填字母)。A.水是反应的催化剂 B.减少Br2的生成
C.减少HBr的挥发 D.减少副产物烯烃和醚的生成
(4)欲除去溴乙烷中的少量杂质Br2,下列物质中最适合的是_______(填字母)。
A.NaI溶液 B.KCl溶液 C.NaOH溶液 D.NaHSO3溶液
(5)在制备溴乙烷时,可采用边反应边蒸出产物的方法,但在制备1-溴丁烷时却不能边反应边蒸出产物,其原因是_______。
18.某实验小组用下列装置进行乙醇催化氧化的实验。
(1)实验过程中铜网出现红色和黑色交替的现象,请写出实验过程中发生反应的总化学方程式:___________;在不断鼓入空气的情况下,熄灭酒精灯,反应仍能继续进行,说明该反应是___________(填“吸热”或“放热”)反应。
(2)甲是热水浴,乙是冷水浴,两个水浴作用不相同,甲的作用是___________;乙的作用是___________。
(3)反应进行一段时间后,试管a中能收集到的有机物主要有___________、___________。
(4)若试管a中收集到的液体用蓝色石蕊试纸检验,试纸显红色,说明液体中还有___________。要除去该物质,可先在混合液中加入___________(填写字母),然后再通过蒸馏即可。
A.氯化钠溶液 B.苯 C.碳酸氢钠溶液 D.四氯化碳
四、有机推断题
19.松油醇是一种调香香精,它是α、β、γ三种同分异构体组成的混合物,可由有机物A经下列反应制得:
(1)α-松油醇完全燃烧时,消耗α-松油醇与氧气的物质的量之比为___________。
(2)A物质不能发生的反应或不具有的性质是___________(填序号)。
a.使酸性溶液褪色 b.能转化为卤代烃
c.能发生加成反应 d.能发生取代反应
(3)松油醇与羧酸反应转化为酯的反应条件是___________。
(4)写出生成松油醇的反应方程式:___________,该反应的反应类型是___________。
20.近年来,以大豆素(化合物C)为主要成分的大豆异黄酮及其衍生物,因其具有优良的生理活性而备受关注。大豆素的合成及其衍生化的一种工艺路线如下:
回答下列问题:
(1)A的化学名称为_______。
(2)反应生成E至少需要_______氢气。
(3)写出E中任意两种含氧官能团的名称_______。
(4)由E生成F的化学方程式为_______。
(5)由G生成H分两步进行:反应1)是在酸催化下水与环氧化合物的加成反应,则反应2)的反应类型为_______。
(6)化合物B的同分异构体中能同时满足下列条件的有_______(填标号)。
a.含苯环的醛、酮
b.不含过氧键()
c.核磁共振氢谱显示四组峰,且峰面积比为3∶2∶2∶1
A.2个 B.3个 C.4个 D.5个
(7)根据上述路线中的相关知识,以丙烯为主要原料用不超过三步的反应设计合成下图有机物,写出合成路线_______。
参考答案:
1.C
【详解】A.乙醇与钠反应生成乙醇钠,是羟基中的O—H键断裂,A项正确;
B.乙醇与卤化氢反应时生成卤代烃,断裂②化学键,B项正确,
C.乙醇催化氧化成乙醛时,断裂①和③化学键,C项错误;
D.乙醇完全燃烧时生成二氧化碳和水,化学键①②③④⑤全部断裂,D项正确;
故选C。
2.B
【详解】A.苯酚与钠发生置换反应,是由于苯环对羟基的影响,使羟基更活泼,A错误;
B.苯酚与溴水发生苯环上的取代反应,是由于羟基对苯环的影响,使苯环比苯更活泼,B正确;
C.苯酚与发生中和反应,是由于苯环对羟基的影响,使羟基更容易电离出氢离子,C错误;
D.苯酚与氢气加成,是苯环上的加成,不受羟基的影响,D错误;
故选B。
3.A
【详解】A.乙醇是常用的有机溶剂,但与水互溶,不可用于萃取碘水中的碘,A项错误;
B.相对分子量相近的醇和烷烃相比,由于醇分子间存在氢键,烷烃分子间是范德华力,所以醇的沸点高于烷烃,故沸点大小:乙醇>丙烷,乙二醇由两个羟基,更易形成氢键,故沸点:乙二醇>乙醇>丙烷,B项正确;
C.交警对驾驶员进行呼气酒精检测,利用了酒精易挥发,挥发后与强氧化剂反应,C项正确;
D.甲醇、乙醇、丙醇均可与水以任意比例混溶,这是因为这些醇分子与水分子形成了氢键,D项正确;
故答案选A。
4.D
【详解】根据“强酸制弱酸”的反应规律及、、的酸性强弱顺序知可发生反应:、,D项正确。
答案选D。
5.B
【详解】A.苯酚具有一定的酸性,可以和溶液反应生成苯酚钠和碳酸氢钠,A正确;
B.苯酚不能与溴水发生加成反应,B错误;
C.除苯酚外,反应过程中其他有机物均不含有酚羟基,不能和发生显色反应,因此可以用溶液检验苯酚是否被完全氧化,C正确;
D.有机物D的分子式为和对苯二酚互为同分异构体,D正确;
答案选B。
6.C
【详解】①苯酚能使酸性高锰酸钾溶液褪色,但是苯不能,所以取样品,加入少量高锰酸钾酸性溶液,振荡,看酸性高锰酸钾溶液是否褪色,褪色则有苯酚,不褪色则无苯酚,①正确;
②不管苯中是否有苯酚,加入NaOH溶液都会产生分层,因此无法鉴别,②错误;
③苯酚与溴水反应产生的三溴苯酚能溶于苯,因此不能鉴别,③错误;
④苯酚遇到氯化铁溶液显示紫色,但是苯不能,取样品,滴加少量的FeCl3溶液,观察溶液是否显紫色,若显紫色则有苯酚,若不显紫色则无苯酚,④正确;
综上分析,①④正确,答案选C。
7.A
【详解】A.X中含有苯环,所以能与发生加成反应,A项错误;
B.Y中含有酚羟基,酚羟基邻位氢原子可被取代,结合其结构简式可知,化合物Y最多可消耗,B项正确;
C.酚类与氯化铁溶液反应呈紫色,X中不含酚羟基,Y中含有酚羟基,所以可以用溶液鉴别X和Y,C项正确;
D.碳原子周围连有4个不同的原子或原子团,该碳为手性碳,X中手性碳原子数为1,Y中 手性碳原子数为2,D项正确;
故选A。
8.A
【详解】A.乙硫醇与丁硫醇结构相似,在分子组成上相差两个原子团,二者互为同系物,故A正确;
B.乙醇分子间可形成氢键,而乙硫醇不能,乙硫醇的沸点比乙醇的沸点低,故B错误;
C.丁硫醇含有碳、硫、氢元素,丁硫醇在空气中完全燃烧生成二氧化碳、二氧化硫和水,故C错误;
D.丁基有四种,沸点不同的丁硫醇有四种:、、、,故D错误。
故选A。
9.C
【详解】A.有机物B中含有结构,可以发生氧化反应生成含的物质,A正确;
B.有机物C是乙二醇,可以在酸性溶液中先被氧化成乙二酸,在足量溶液中,乙二酸继续被氧化生成,B正确;
C.根据图示中有机物A转化为有机物C的过程,可知1molA完全反应生成C,至少消耗4mol,C错误;
D.E中含有羟基,可与乙二酸发生酯化反应,D正确。
故选C。
10.B
【分析】甲与溴水发生加成反应,两个不饱和的碳原子上均增加一个溴原子,形成乙,乙发生水解反应,两个Br原子被—OH取代形成丙;
【详解】A.丙中可能含有未反应的甲,由于甲中含有碳碳双键,可以与溴发生加成反应使溴水褪色,因此可用溴水检验是否含甲,A正确;
B.反应(1)的无机试剂是溴水,若是液溴,铁作催化剂,则发生的是苯环上的取代反应,B错误;
C.甲含有碳碳双键,丙含有醇羟基,二者均可与酸性KMnO4溶液发生反应,C正确;
D.反应(2)是卤代烃的水解反应,水解反应属于取代反应,D正确;
综上,本题选B。
11.C
【详解】A.两种醇都含有碳碳双键,均能与溴水发生加成反应,故A正确;
B.两种物质的分子式相同,都为C10H18O,但结构式不同,互为同分异构体,故B正确;
C.芳樟醇中与羟基直接连接的碳上没有氢,不能发生催化氧化;香叶醇中与羟基直接连接的碳上有2个氢,能被催化氧化为醛,故C错误;
D.两种醇都含﹣OH,能与乙酸在浓硫酸、加热的条件下发生酯化反应,故D正确;
故选C。
12.B
【详解】A.按照命名原则,苯酚为母体,取代基为溴原子,该有机物为2,4,6-三溴苯酚,故A说法正确;
B.N的同分异构体能水解,说明含有酯基,同分异构体中应含有碳碳双键和酯基,符合结构简式为HCOOCH2CH=CH2、HCOOCH=CHCH3、HCOOC(CH3)=CH2、CH3COOCH=CH2、CH2=CHCOOCH3,有5种结构,故B说法错误;
C.Q中能与氢气发生加成反应的是苯环和碳碳双键,1molQ中含有1mol苯环和1mol碳碳双键,因此1molQ最多与4mol氢气发生加成反应,故C说法正确;
D.根据乙烯的空间结构为平面形,以及不共线三点确定一个平面,羰基上C原子杂化类型为sp2,因此Q中所有碳原子可能共面,故D说法正确;
答案为B。
13.BD
【详解】A.双酚A含有C、H、O三种元素,属于烃的衍生物,A错误;
B.双酚A含有酚羟基,遇到FeCl3溶液显紫色,B正确;
C.双酚A含有酚羟基,能与溴水发生取代反应,能使溴水褪色,C错误;
D.双酚A中酚羟基的邻位与溴水发生取代反应生成,1mol双酚A与足量的溴水反应,最多消耗4molBr2,D正确;
故答案为:BD。
14.AD
【详解】A.纯净的苯酚是无色晶体,易被空气中的氧气氧化为粉红色晶体,故A错误;
B.苯酚是无色晶体,具有特殊气味,故B正确;
C.苯酚难溶于冷水,温度较高时也可与水互溶,易溶于有机溶剂,故C正确;
D.由于氢氧化钠具有很强的腐蚀性,苯酚沾在手上不能使用NaOH溶液洗涤,应该使用酒精,故D错误;
故选AD。
15.AB
【详解】A.CMU分子中酚羟基的两个邻位氢原子可被溴原子取代,另外碳碳双键也可以与发生加成反应,故1molCMU最多可与3mol反应,A正确;
B.间苯二酚分子中两个酚羟基共有3个邻、对位氢原子可被溴原子取代,故1mol间苯二酚最多可与3mol反应,B正确;
C.间苯二酚和CMU均含有酚羟基,故不能用溶液鉴别,C错误;
D.间苯二酚分子中有两个酚羟基,与苯酚不互为同系物,D错误;
答案选AB。
16.(1) 圆底烧瓶
(2) 催化剂
(3)收集溴乙烷
(4)易发生副反应生成乙醚、乙烯等
【分析】A装置中铁与溴发生反应生成溴化铁,溴化铁作为催化剂催化溴与苯的反应,其中生成的溴化氢和挥发的溴单质通过导管a进入到装置B中与乙醇发生取代反应,由溴乙烷数据可知,在冰水浴中溴乙烷液化,故装置C为溴乙烷的收集装置,装置C底部用蒸馏水液封,作用是吸收生成的溴化氢;
【详解】(1)仪器a的名称是圆底烧瓶;装置A中铁与溴发生反应生成溴化铁,溴化铁作为催化剂催化溴与苯反应生成溴苯,生成的有机产物结构简式为;
(2)生成的溴化氢和挥发的溴单质通过导管a进入到装置B中与乙醇发生取代反应,反应方程式为;浓硫酸的作用是催化剂;
(3)C装置中U形管浸在冰水中的目的是收集溴乙烷;
(4)在温度较高的情况下浓H2SO4存在条件下发生副反应生成乙醚、乙烯等,故答案为:易发生副反应生成乙醚、乙烯等。
17.(1)大于
(2)上层
(3)BCD
(4)D
(5)1-溴丁烷与正丁醇的沸点相差较小,若边反应边蒸馏,会有较多的正丁醇被蒸出
【详解】(1)(1)醇羟基属于亲水基,能与水分子间形成氢键,因此醇的水溶性大于相应的溴代烃,故填大于;
(2)(2)1溴丁烷的密度大于水的密度,因此将1溴丁烷粗产品置于分液漏斗中加水,振荡后静置,水在上层,故填上层
(3)(3)A.水是产物,不是催化剂,故A错误;B.浓硫酸具有强氧化性,能将Br-氧化为Br2,稀释后能降低硫酸的氧化性,减少Br2的生成,故B正确;C.浓硫酸稀释时放热,温度升高,促使HBr挥发,因此浓硫酸稀释后能减少HBr的挥发,故C正确;D.醇在浓硫酸存在下脱水生成烯烃或醚,浓硫酸稀释后,可减少烯烃和醚的生成,故D正确,故填BCD;
(4)(4)A.I-可以被Br2氧化,生成的I2溶于溴乙烷中引入新杂质,故A错误;B.KCl不能除去Br2,故B错误;C.Br2能和NaOH反应,而溴乙烷在NaOH溶液中易水解,使溴乙烷的量减少,故C错误;D.Br2和NaHSO3溶液发生氧化还原反应,可以除去Br2,故D正确,故填D;
(5)(5)根据题干可知,乙醇和溴乙烷的沸点相差较大,可采用边反应边蒸出的方法,而1溴丁烷与正丁醇的沸点相差较小,若边反应边蒸馏,会有较多的正丁醇被蒸出,所以不能边反应边蒸出,故填1-溴丁烷与正丁醇的沸点相差较小,若边反应边蒸馏,会有较多的正丁醇被蒸出。
18. 放热 使乙醇汽化成乙醇蒸气 冷却产生的乙醛等气体 乙醛 乙醇 乙酸 C
【分析】实验室探究乙醇的催化氧化反应,可将甲进行水浴加热,能使甲中乙醇平稳气化形成乙醇蒸气,则进入铜网的气体为空气和乙醇的混合气体,在加热条件下,分别发生2Cu+O22CuO、CH3CH2CH2OH+CuOCH3CH2CHO+H2O,总反应为 2CH3CH2CH2OH+O22CH3CH2CHO+2H2O,可观察到铜网出现红色和黑色交替的现象,进入乙中的气体经冷却后,可在试管中得到乙醛、乙醇和水,而集气瓶中收集的气体主要为氮气,据此分析解题。
【详解】(1)铜与氧气反应生成黑色的氧化铜,氧化铜与乙醇发生反应生成铜、乙醛和水,该过程的总化学方程式为2CH3CH2CH2OH+O22CH3CH2CHO+2H2O;熄灭酒精灯,反应仍能继续进行,说明该反应是放热反应,放出的热量足以维持反应进行,故答案为:2CH3CH2CH2OH+O22CH3CH2CHO+2H2O;放热;
(2)甲和乙两个水浴作用不同,甲是热水浴,作用是使乙醇平稳汽化成乙醇蒸气,乙是冷水浴,作用是将乙醛冷却下来,故答案为:使乙醇汽化成乙醇蒸气;冷却产生的乙醛等气体;
(3)乙醇被氧化为乙醛,同时生成水,乙醇不能完全反应,所以a中冷却收集的有机物有:乙醛、乙醇,故答案为:乙醛;乙醇;
(4)若试管a中收集到的液体用蓝色石蕊试纸检验,试纸显红色,说明溶液呈酸性,则溶液中含有乙酸;乙酸具有酸的通性,4个选项中,只有碳酸氢钠可以和乙酸反应,生成乙酸钠、水和二氧化碳,然后再通过蒸馏即可,故答案为:乙酸;C。
19. 1∶14 a、c 浓硫酸、加热 +H218O 消去反应
【分析】A在浓硫酸存在并加热的条件下发生消去反应,因A分子中有两个羟基,而与羟基相连碳原子的邻位碳原子上均有氢原子,故有多种消去方式。则β-松油醇的结构简式为,γ-松油醇的结构简式为。
【详解】(1)松油醇有10个碳原子,不饱和度为2,可确定其分子式为,1mol完全燃烧时消耗O2的物质的量为:(10+-)mol=14mol。答案为:1∶14;
(2) a.A分子中羟基所连碳原子上没有氢原子,不能被酸性溶液氧化,不能使酸性溶液褪色,a符合题意;
b.A分子中含有羟基,能与HX发生取代反应,能转化为卤代烃,b不符合题意;
c.A分子中不含不饱和键,不能发生加成反应,C符合题意;
d.A分子内的羟基氢原子比较活泼,能发生取代反应,d不符合题意;
故选a、c。答案为:a、c;
(3)松油醇的结构简式为,与羧酸发生酯化反应时,需提供条件为浓硫酸、加热。答案为:浓硫酸、加热;
(4)A通过消去反应生成松油醇,发生反应的化学方程式为 +H218O。答案为: +H218O;消去反应。
【点睛】醇发生消去反应的条件是浓硫酸、加热,卤代烃发生消去反应的条件是NaOH醇溶液、加热,二个反应的条件易发生混淆。
20. 间苯二酚(或1,3-苯二酚) 2 酯基,醚键,羟基(任写两种) +H2O 取代反应 C
【分析】由合成路线图,可知,A(间苯二酚)和B()反应生成C(),与乙酸酐发生酯化反应,生成,与氢气发生加成反应生成,发生消去反应,生成F,F先氧化成环氧化合物G,G在酸催化下水与环氧化合物的加成反应,然后发生酯的水解生成H,据此分析解答。
【详解】(1)A为,化学名称为间苯二酚(或1,3-苯二酚),故答案为:间苯二酚(或1,3-苯二酚);
(2)D为 ,与氢气发生加成反应生成,碳碳双键及酮基都发生了加成反应,所以反应生成E至少需要2氢气,故答案为:2;
(3)E为,含有的含氧官能团的名称为酯基,醚键,羟基(任写两种),故答案为:酯基,醚键,羟基(任写两种);
(4)E为,发生消去反应,生成,化学方程式为 +H2O,故答案为: +H2O;
(5)由G生成H分两步进行:反应1)是在酸催化下水与环氧化合物的加成反应,则反应2)是将酯基水解生成羟基,反应类型为取代反应,故答案为:取代反应;
(6)化合物B为,同分异构体中能同时满足下列条件:.含苯环的醛、酮;b.不含过氧键();c.核磁共振氢谱显示四组峰,且峰面积比为3∶2∶2∶1,说明为醛或酮,而且含有甲基,根据要求可以写出:,,,,故有4种,答案为:C;
(7)以丙烯为主要原料用不超过三步的反应设计合成下图有机物,可以将丙烯在m-CPBA的作用下生成环氧化合物,环氧化合物在酸催化下水发生加成反应,然后再与乙酸酐发生酯化反应即可,故合成路线为: 。
相关资料
更多

