高中数学人教A版 (2019)必修 第一册5.5 三角恒等变换说课ppt课件
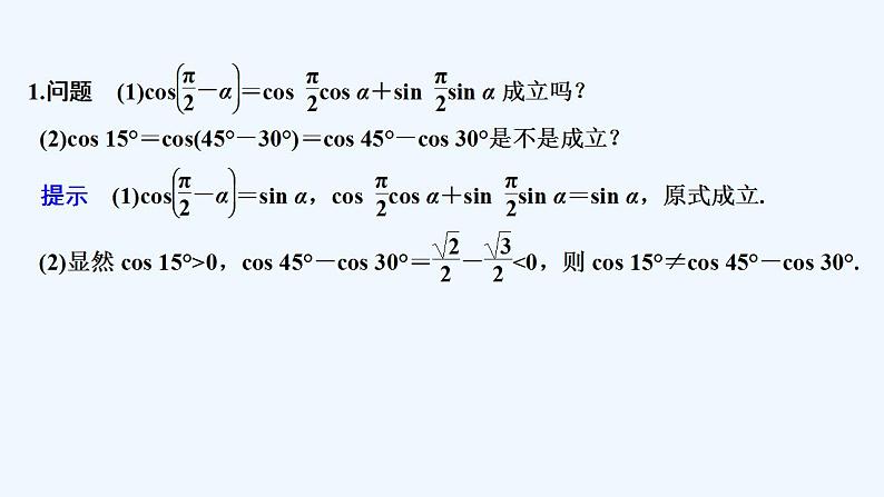
展开1.通过探究,了解两角差的余弦公式的推导过程.2.熟记两角差的余弦公式的形式及符号特征,并能利用该公式进行求值、计算.
在熟知两角差的余弦公式意义的基础上,重点提升学生的数学运算、逻辑推理的素养.
问题导学预习教材必备知识探究
互动合作研析题型关键能力提升
拓展延伸分层精练核心素养达成
WEN TI DAO XUE YU XI JIAO CAI BI BEI ZHI SHI TAN JIU
问题导学预习教材 必备知识探究
提示 cs(α-β)=cs αcs β+sin αsin β.
2.思考 如图,单位圆与x轴正半轴交于点A(1,0),以x轴非负半轴为始边作角α,β,α-β的终边分别与单位圆交于点P1(cs α,sin α),A1(cs β,sin β),P(cs(α-β),sin(α-β)).易得AP=A1P1.你能据此得到cs(α-β)与单角α,β的三角函数关系吗?
3.填空 (1)任意角α,β都有cs(α-β)=_______________________________.(2)任意角α,β的正弦、余弦与其差角α-β的余弦之间的关系,称为______的余弦公式,简记作C(α-β).
cs αcs β+sin αsin β
4.思考 有人认为cs(α-β)=cs α-cs β,你认为正确吗?
5.做一做 (1)(多选)下列结论正确的是( )A.存在这样的α和β值,使得cs(α-β)=cs αcs β-sin αsin βB.不存在α和β值,使得cs(α-β)=cs αcs β-sin αsin βC.对任意的α和β,都有cs(α-β)=cs αcs β+sin αsin βD.不存在这样的α和β值,使得cs(α-β)≠cs αcs β+sin αsin β解析 若sin α或sin β有一个为0,即α=kπ(k∈Z)或β=kπ(k∈Z),则cs(α-β)=cs αcs β,故A,C,D正确,B不正确.
(2)cs 54°cs 24°+cs 36°sin 24°=________.
HU DONG HE ZUO YAN XI TI XING GUAN JIAN MENG LI TI SHENG
互动合作研析题型 关键能力提升
例1 (1)cs(-15°)的值是( )
题型一 两角差的余弦公式的简单应用
解析 cs(-15°)=cs(30°-45°)
(2)cs(α-35°)cs(α+25°)+sin(α-35°)sin(α+25°)=________.解析 原式=cs[(α-35°)-(α+25°)]=cs(-35°-25°)=cs(-60°)=cs 60°
1.把非特殊角转化为特殊角的差,正用公式直接求解.2.在转化过程中,充分利用诱导公式,构造两角差的余弦公式的右边形式,然后逆用公式求值.
训练1 (1)化简cs θcs(π+θ)+sin θsin(π+θ)的值为( )A.1 B.-1C.0 D.cs θ解析 原式=cs[θ-(θ+π)]=cs(-π)=cs π=-1.
解析 原式=cs 83°cs 23°+sin 83°sin 23°
题型二 两角差的余弦公式的综合应用
∴cs β=cs[α-(α-β)]=cs αcs (α-β)+sin αsin(α-β)
已知三角函数值求角的解题步骤(1)界定角的范围,根据条件确定所求角的范围.(2)求所求角的某种三角函数值.为防止增解最好选取在范围内单调的三角函数.(3)结合三角函数值及角的范围求角.提醒 由三角函数值求角时,易忽视角的范围,而得到错误答案.
∴cs(α-β)=cs αcs β+sin αsin β
1.记住两角差的余弦公式的特征,既可以正用,也可以逆用.2.在利用两角差的余弦公式求值时,不可机械地套用公式,而要从题目条件出发,将要求的角分解成题中已知角的差.3.“给值求角”问题,实际上也可转化为“给值求值”问题,求一个角的值,可分以下三步进行:(1)求角的某一三角函数值;(2)确定角所在的范围(找区间);(3)确定角的值.确定用所求角的哪种三角函数值,要根据具体题目而定.
TUO ZHAN YAN SHEN FEN CENG JING LIAN HE XING SU YANG DA CHENG
拓展延伸分层精练 核心素养达成
1.化简-sin(x+y)sin(x-y)-cs(x+y)·cs(x-y)的结果为( )A.sin 2x B.cs 2xC.-cs 2x D.-cs 2y解析 原式=-cs[(x+y)-(x-y)]=-cs 2y,故选D.
6.sin 162°sin 78°-cs 18°cs 102°=________.
解析 原式=sin 18°sin 78°+cs 18°cs 78°
∴cs 2β=cs[(α+β)-(α-β)]=cs(α+β)cs(α-β)+sin(α+β)sin(α-β)
10.如图,在平面直角坐标系中,锐角α和钝角β的终边分别与单位圆交于A,B两点.
(2)在(1)的条件下,求cs(β-α)的值.解 ∵β为钝角,
∴cs(β-α)=cs βcs α+sin βsin α
11.已知sin α+sin β+sin γ=0和cs α+cs β+cs γ=0,则cs(α-β)的值是( )
解析 由sin α+sin β=-sin γ,cs α+cs β=-cs γ,得sin2α+sin2β+2sin αsin β=sin2γ,①cs2α+cs2β+2cs αcs β=cs2γ,②由①+②得2+2(cs αcs β+sin αsin β)=1,
于是cs β=cs[(α+β)-α]=cs(α+β)cs α+sin(α+β)sin α
(1)求cs(α-β)的值;
cs β=cs[α-(α-β)]=cs αcs(α-β)+sin αsin(α-β)=0.
14.《周髀算经》中给出了弦图,所谓弦图是由四个全等的直角三角形和中间一个小正方形拼成一个大的正方形.若图中直角三角形两锐角分别为α,β,且小正方形与大正方形面积之比为9∶25,则cs(α-β)的值为( )
解析 设大正方形的边长为1.因为小正方形与大正方形面积之比为9∶25,
所以cs α=sin β,sin α=cs β.由①×②, 得
高中数学人教A版 (2019)必修 第一册5.5 三角恒等变换图片课件ppt: 这是一份高中数学人教A版 (2019)必修 第一册<a href="/sx/tb_c4000284_t3/?tag_id=26" target="_blank">5.5 三角恒等变换图片课件ppt</a>,共16页。PPT课件主要包含了Cα-β等内容,欢迎下载使用。
高中数学人教A版 (2019)必修 第一册5.5 三角恒等变换课堂教学课件ppt: 这是一份高中数学人教A版 (2019)必修 第一册5.5 三角恒等变换课堂教学课件ppt,共19页。PPT课件主要包含了新知初探·课前预习,答案B,题型探究·课堂解透,答案D等内容,欢迎下载使用。
人教A版 (2019)必修 第一册5.3 诱导公式备课ppt课件: 这是一份人教A版 (2019)必修 第一册5.3 诱导公式备课ppt课件,文件包含第二课时两角和与差的正弦余弦公式pptx、第二课时两角和与差的正弦余弦公式DOCX等2份课件配套教学资源,其中PPT共47页, 欢迎下载使用。

