数学第五章 三角函数5.5 三角恒等变换获奖ppt课件
展开人教A版(2019)高中数学必修第一册
5.5.2 简单的三角恒等变换教学设计
课题名 | 5.5.2 简单的三角恒等变换 | |||||||||||||||||||||||||
教学目标 | 1.利用二倍角的变形公式推导半角的正弦、余弦、正切公式; 2.通过三角恒等变形将形如asin x+bcos x的函数转化为y=Asin(x+φ)的函数; 3.灵活利用公式,通过三角恒等变形,解决函数的最值、周期、单调性等问题。 | |||||||||||||||||||||||||
教学重点 | 通过三角恒等变形将形如asin x+bcos x的函数转化为y=Asin(x+φ)的函数 | |||||||||||||||||||||||||
教学难点 | 灵活利用公式,通过三角恒等变形,解决函数的最值、周期、单调性等问题 | |||||||||||||||||||||||||
教学准备 | 教师准备:幻灯片、黑板、投影 学生准备:笔、纸、课本 | |||||||||||||||||||||||||
教学过程 | 一、 新课引入 同学们知道电脑输入法中的“半角”和“全角”的区别吗?半角、全角主要是针对标点符号来说的,全角标点占两个字节,半角占一个字节,但不管是半角还是全角,汉字都要占两个字节.事实上,汉字字符规定了全角的英文字符、图形符号和特殊字符都是全角字符,而通常的英文字母、数字键、符号键都是半角字符. 【想一想】 任意角中是否也有“全角”与“半角”之分,二者有何数量关系? 【提示】是α的半角,α是2α的半角.
【探究】为丰富三角变换,我们曾由和角公式引出倍角公式,且“倍角是相对的”,那么倍角公式中的2α能否化为α,结果怎样? 【提示】能,结果是sin α=2sin cos ;cos α=2cos2-1=1-2sin2=cos2-sin2;tan α=. 二、讲授新课 1.半角公式: (1)sin2=⇒sin=± , (2)cos2=⇒cos=± , (3)tan2=⇒tan=± , 称之为半角公式,符号由所在象限决定. 1.理解半角的含义:角是角α的半角,角α是角2α的半角,角2α是角4α的半角. 2.确定半角的正弦、余弦、正切值正、负号的方法: ①若给出的角已确定其终边所在象限,则可根据下表确定符号. ②若给出角α的范围(即某一区间),可先求出的范围,然后再根据的范围确定符号. ③若给出的角的象限不确定,则需分类讨论.
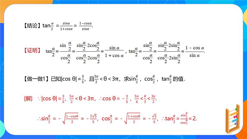
【结论】tan==. 【证明】tan===,tan===.
【做一做1】已知|cos θ|=,且<θ<3π,求sin ,cos,tan的值. 【解析】∵|cos θ|=,<θ<3π,∴cos θ=-,<<. ∴sin=- =-,cos=- =-,∴tan==2.
例1. 已知sin θ=,且<θ<3π.求cos 和tan 的值. 【解析】 ∵sin θ=,<θ<3π,∴cos θ=-=-. ∵cos θ=2cos2-1,∴cos2 =.又<<, ∴cos =- =- =-. tan =====2. 【类题通法】利用半角公式求值的思路 (1)看角:若已知三角函数式中的角是待求三角函数式中角的两倍,则求解时常常借助半角公式求解. (2)明范围:由于半角公式求值常涉及符号问题,因此求解时务必依据角的范围,求出相应半角的范围. (3)选公式:涉及半角公式的正切值时,常用tan==,其优点是计算时可避免因开方带来的求角的范围问题;涉及半角公式的正、余弦值时,常先利用sin2=,cos2=计算. (4)下结论:结合(2)求值. 【巩固练习1】已知α为钝角,β为锐角,且sin α=,sin β=,求cos 的值. 【解析】因为α为钝角,β为锐角,sin α=,sin β=, 所以cos α=-,cos β=,所以cos(α-β)=cos αcos β+sin αsin β=-×+×=,又因为<α<π,0<β<,所以0<α-β<π,所以0<<,所以cos = = =. 例2.已知函数. (1)求函数的单调减区间; (2)当时,求函数的值域. 【解析】(1) , 所以 令,解得, 故函数的减区间为. (2)当时,所以,所以, 故函数的值域为 【类题通法】研究形如f(x)=asinx+bcosx的函数性质,都要运用辅助角公式化为一个整体角的正弦函数或余弦函数的形式.因此辅助角公式是三角函数中应用较为广泛的一个重要公式,也是高考常考的考点之一.对一些特殊的系数a,b应熟练掌握,例如sinx±cosx=sin;sinx±cosx=2sin等. 【巩固练习2】已知函数. (1)求的最小正周期和图象的对称轴方程; (2)当时,求的最小值和最大值. 【解析】 , (1)最小正周期为,由,得出对称轴,; (2),令,则,, 即最小值为0,最大值为. 3.三角函数式的化简 例3. 化简: (180°<α<360°). 【解析】原式= ==.又∵180°<α<360°,∴90°<<180°,∴cos<0, ∴原式==cosα. 【类题通法】化简问题中的“3变” (1)变角:三角变换时通常先寻找式子中各角之间的联系,通过拆、凑等手段消除角之间的差异,合理选择联系它们的公式. (2)变名:观察三角函数种类的差异,尽量统一函数的名称,如统一为弦或统一为切. (3)变式:观察式子的结构形式的差异,选择适当的变形途径.如升幂、降幂、配方、开方等.
【巩固练习3】已知π<α<,化简:+. 【解析】原式=+, ∵π<α<,∴<<. ∴cos<0,sin>0. ∴原式=+=-+ =-cos. 三、课堂小结
四、达标检测 1.若cos α=,α∈(0,π),则cos的值为( ) A. B.- C.± D.± 2.函数的最小正周期为________. 3.化简的结果为________. 4.已知=,则sin x-cos x=________. 【答案】1.A 2. 3.sin 1+cos 1 4.
| |||||||||||||||||||||||||
布置作业 | 完成对应的课后练习 | |||||||||||||||||||||||||
板书设计 |
| |||||||||||||||||||||||||
教学反思 | 学生基本上能掌握本节课内容,不过还需要多加练习,特别要注意三角函数值的范围。 |
高中数学人教A版 (2019)必修 第一册第五章 三角函数5.5 三角恒等变换获奖ppt课件: 这是一份高中数学人教A版 (2019)必修 第一册<a href="/sx/tb_c4000284_t3/?tag_id=26" target="_blank">第五章 三角函数5.5 三角恒等变换获奖ppt课件</a>,共25页。PPT课件主要包含了学习目标,知识点半角公式,课堂小结等内容,欢迎下载使用。
人教A版 (2019)必修 第一册5.5 三角恒等变换教学ppt课件: 这是一份人教A版 (2019)必修 第一册<a href="/sx/tb_c4000284_t3/?tag_id=26" target="_blank">5.5 三角恒等变换教学ppt课件</a>,共47页。
数学必修 第一册5.5 三角恒等变换课文配套ppt课件: 这是一份数学必修 第一册5.5 三角恒等变换课文配套ppt课件,文件包含人教版九年级上册《数学》专辑参考答案pdf、人教版九年级上册《数学》期末专项复习质量评测卷一元二次方程pdf等2份试卷配套教学资源,其中试卷共10页, 欢迎下载使用。

